Урок-практикум по геометрии в 11-м классе
Тема: Решение задач на нахождение объема пирамиды
Цели:
продолжить работу по формированию навыков использования теоретического материала при решении практических задач, развивать творческое мышление учащихся
Оборудование: медиатека, диск «Виртуальная школа Кирилла и Мефодия. Уроки геометрии. 10 класс».
Учебник: Е. В. Потоскуев, Л. И. Звавич «Геометрия 11 класс»
Ход урока.
1. Целевая установка.
Сегодня на уроке нам надо обобщить теоретические сведения о нахождении объема пирамиды и продемонстрировать применение их в решении задач.
2. Начнем урок с традиционной разминки: решения планиметрических задач из раздела «Планиметрия» Единого Государственного Экзамена. У компьютеров двое учащихся проходят тестовый контроль по решению задач по теме: «Пирамида».
Задача №1.

Ответ: 16
Запишем домашнее задание: ЕГЭ 2008 В10: Основание прямой треугольной призмы
- правильный треугольник АВС, сторона которого равна
. На ребре
отмечена точка P так, что
тангенс угла между плоскостями AВС и ACP, если
расстояние между прямыми BC и
равно 16.


2) Определи, где находится высота пирамиды, если две соседние грани ее перпендикулярны плоскости основания: а) высотой служит общее боковое ребро этих граней; б) высотой служит отрезок, попадающий в центр окружности, вписанной в основание пирамиды.
Ответ: а)
3. Проверка домашнего задания. Урок 19, слайд 6,7.
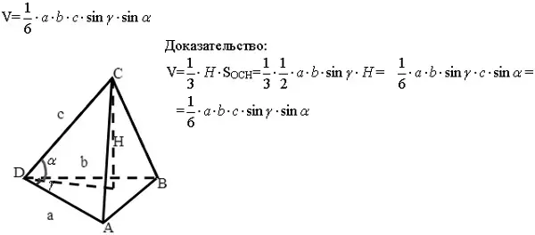
Задача: Доказать, что объем треугольной пирамиды равен 1/6 произведения трех ребер, выходящих из одной вершины, на синус угла между двумя из этих ребер на синус угла между третьим ребром и плоскостью грани, образованной первыми двумя ребрами.
4. Тренировочные упражнения.
Вспомним формулы для нахождения объема треугольной пирамиды:

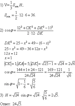
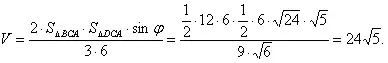
№1 Решим задачу на нахождение объема пирамиды.
Урок №18, слайд 13,14,15.

Решение.

Как можно было еще решить эту задачу иначе (с использованием какой формулы?).

С компьютером работает один учащийся.
Попробуем в Интернете найти сайты с задачами на нахождение объёма пирамиды.
Задачи (из книги Корешковой Т.А. и др. Типовые тестовые задачи. Единый государственный экзамен).
Задача №2.С4. В правильной треугольной пирамиде SABC точки К, N принадлежат ребру SA, точка M - ребру SB, а точка L принадлежит ребру SC, причем AK=KN = NS, SM:MB=1:3; SL:LS=2:1. Найти отношение
объёма пирамид KLMN к объёму пирамиды SABC.

Решение.
1)
![]()
![]()
Высотой пирамиды MKNL является перпендикуляр, опущенный из точки M на плоскость ASC
. Высотой пирамиды BSAC является перпендикуляр из точки B на
плоскость ASC
.Эти высоты будут параллельны. Из подобия треугольников последует, что ![]()

Ответ: 1:18.
Смотрим результаты поиска в Интернете.
Задача №3. Площади граней ABC и ADC тетраэдра ABCD равно P и Q, двугранный угол между ними
. Найти площадь треугольника, по которому биссекторная
плоскость указанного угла пересекает заданный тетраэдр.

Решение.

Итог урока.
Домашнее задание: ЕГЭ В10 (2008 г.), Сканави М. И. 11.161, 11.202.