Как запомнить и воспроизвести информацию

12.02.2008

При работе с классом часто возникает проблема, как научить детей запоминать нужную информацию и главное вовремя её воспроизвести.

Прочитав книгу «Революция в обучении» Драйтена Гордена и Вос Джаннетт, в переводе Екатерины Сигаевой и Владимира Чупина я сделала для себя несколько важных открытий и хотела бы поделится с коллегами.

Но вначале дам определения некоторым словам, которые редко (на мой взгляд) встречаются в педагогической лексики.

ПОСТЕР (от англ. poster - объявление, плакат, афиша)

1) однолистный или многолистный красочный рекламный плакат большого формата. Иногда длина П. доходит до нескольких метров;
2) рекламная средство в виде объявления, афиши, плаката; часто вкладывается в периодические издания.

ПАТТЕРНЫ - в последнее время сложилась традиция употребления вместо термина "теория" термина "паттерн", близкого по содержательным и смысловым характеристикам к понятию КОНЦЕПЦИЯ. (англ. pattern от лат. patronus - модель, образец для подражания, шаблон, стиль, узор, выкройка) и трактуемого как коннатативного к концептам "прозрение", "базовая интуиция", "умозрительное видение", что в любом случае подчеркивает два аспекта: 1) "моментальность" "схватывания"; 2) его "целостность".

Ассоциация - в психологии - закономерная связь между отдельными событиями, фактами, предметами или явлениями, отраженными в сознании и закрепленными в памяти.

Используйте «карты памяти» вместо «линейных» записей

Нет смысла запоминать важную информацию, не имея возможности вспомнить её, когда потребуется. В этом случае традиционные школьные методы оказываются неэффективными. Десятки тысяч учащихся по всему миру заняты составлением конспектов. Они записывают слова строка за строкой. Мозг не хранит информацию в виде аккуратных строк или столбцов. Мозг хранит информацию в своих древоподобных нейронах. Для хранения информации он использует паттерны (образцы, шаблоны) и ассоциации. Следовательно, чем больше при запоминании информации вы будете пользоваться принципами работы своего мозга, тем проще и быстрее сможете учиться. Поэтому не делайте обычных записей, — составляйте «карты памяти». Рисуйте их в виде ветвящейся кроны дерева, в цвете, используйте иллюстрации, символы, паттерны и ассоциации. Карты памяти были изобретены Тони Бьюзеном.

Главные идеи просты:

  • Представьте, что клетки вашего мозга похожи на деревья, каждое из которых хранит на своих ветвях взаимосвязанную информацию.
  • Теперь постарайтесь расположить основные идеи любой от дельной темы на листе бумаги в подобном древовидном формате.
  • Начните с центральной темы предпочтительно, чтобы вы изобразили ее в виде символа в центре страницы, затем нарисуйте отходящие от нее ветви.
  • Старайтесь использовать для обозначения каждого пункта только одно слово и/или символ, по одной важной теме для каждой ветви.
  • Размещайте взаимосвязанные пункты на одной и той же основной ветви, чтобы каждый из них ответвлялся в сторону как отдельная веточка.
  • Используйте разноцветные карандаши или маркеры для отдельных тем.
  • Нарисуйте столько картинок и символов, сколько можете.
  • Заканчивая отдельную ветвь, обведите ее цветной рамкой.
  • Регулярно дополняйте карты. Легче начать с общих идей и детализировать карты памяти при получении новой информации по данному предмету.
  • Простые методы восстановления выученной информации

    Поскольку мозг хранит информацию в паттернах и ассоциациях, и карты памяти хранят ее в таком же виде, для вспоминания выученного материала имеет смысл использовать те же самые методы.

    Здесь уместно будет рассказать еще кое-что о мозге. Мозг обладает как «краткосрочной», так и «долгосрочной» памятью. И в этом смысле нам очень повезло. Например, вы подходите к перекрестку, когда светофор переключается на красный сигнал, и останавливаетесь. Через некоторое время загорается зеленый свет, и вы переходите улицу. Ваша долгосрочная память хранит правила дорожного движения, а краткосрочной памяти нет необходимости запоминать эти правила каждый из тех тысяч раз, когда вы останавливаетесь на переходе, при красном сигнале светофора.

    Как же мозг хранит и восстанавливает информацию, которая необходима для долгосрочного применения? Частично благодаря паттернам и ассоциациям. Создание «карт памяти» — лишь один из возможных методов. Другой заключается в использовании всех центров вашего интеллекта, включая те, которые связаны с рифмой, ритмом, повторением и музыкой. Нет необходимости в течение долгих часов заниматься скучной зубрежкой. Когда вы прочитаете текст, отметьте ключевые фразы и подзаголовки, а также составьте карту памяти основных идей, после чего предлагаем вам сделать две вещи:

  • Бегло просмотрите все ключевые идеи, которые отметили.
  • Пересмотрите свою карту памяти.
  • Это поможет вам объединить основные уроки с помощью паттернов и ассоциаций. Если вы впервые создаете «карты памяти», тогда почти наверняка будет трудно обозначать каждый ключевой момент только одним словом. Тем не менее, постарайтесь. Это очень важно. Затем вечером, перед отходом ко сну, включите расслабляющую музыку, еще раз взгляните на свою карту памяти. Подумайте об основных уроках, которые вы вынесли из прочитанного и постарайтесь представить их зрительно. Придумайте ассоциации, потому что состояние дремоты, как раз перед сном, является существенной частью процесса обучения.

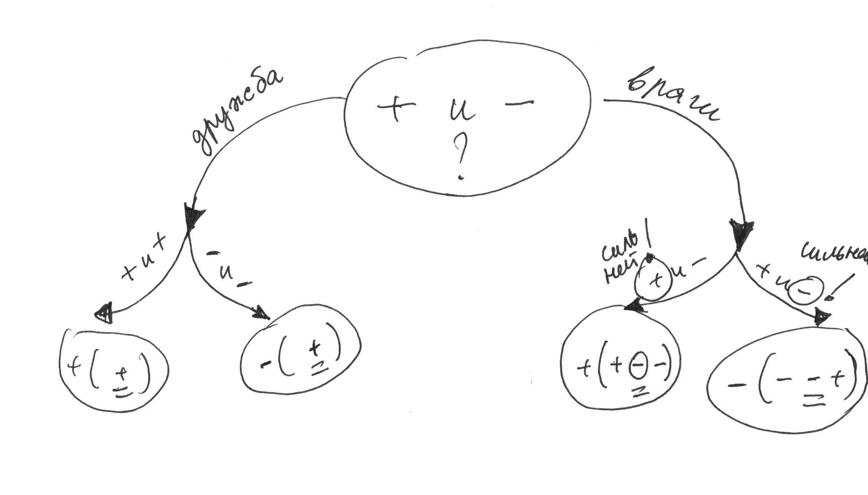
    Вот примеры карт памяти, созданных учащимися для запоминания математической информации:

    Рисунок 1
    Рисунок 2
    Рисунок 3


    a_id: 505761