Открытый урок по физике в 9-м классе на тему "Импульс тела. Закон сохранения импульса тела"
Цели:
- Образовательно - развивающие:
-сформировать представление об импульсе тела, законе сохранения импульса и импульсе силы;
- продолжить совершенствование навыков решения задач с учетом теоретических знаний;
- раскрыть сущность закона сохранения импульса, обозначить границы применимости.
- Воспитательные:
- показать объективность проявления закона сохранения импульса, учёт и использование его на практике.
Ход урока
- Актуализация знаний.
Приложение 1. (cм. презентацию)
1.Какой раздел физики называется механикой?
2.В чём заключается основная задача механики?
3.Как формулируется второй закон Ньютона?
4.О чём гласит третий закон Ньютона?
5.В каком случае основную задачу механики можно решить с помощью законов Ньютона?
Учитель: А как быть, если не известны значения сил, действующих на тело? Как тогда решается основная задача механики?
- Демонстрационный эксперимент:
а) столкновение на столе двух шаров;
б) на неподвижную тележку, стоящую на столе, бросаем брусок.
Учитель: Как описать взаимодействия тел в этих опытах?
Тела изменяют свою скорость под воздействием силы, действующей со стороны другого тела.
Давайте найдём взаимосвязь между действующей на тело силой, временем её действия и изменением скорости тела.
- Учитель работает на доске, учащиеся в тетрадях.
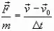
Пусть на тело массой m, которое покоится, действует сила
, тогда по второму закону Ньютона:
,по определению:
,так как левые части равенств одинаковые, следовательно:
,
(данная формула устанавливает взаимосвязь между действующей на тело силой, временем её действия и изменением скорости тела.) Обозначим:
-
импульс тела, а
- изменение импульса тела.
Таким образом, мы получили ответ на поставленный вопрос. Не зная значений сил, действующих на тело, многие задачи в механике, можно решить, прибегая к величинам, характеризующим механическое движение, и способным сохранятся при определённых условиях. Одной из таких физических величин является импульс тела.
Итак, тема нашего урока: "Импульс тела. Закон сохранения импульса"
Приложение 2.
Слово "импульс" в переводе с латинского означает "толчок". Понятие импульса первым ввёл французский философ-математик Декарт (однако, называл эту величину количеством движения.)
Приложение 3.
Импульсом тела называется - физическая величина, равная произведению массы тела на скорость его движения. Импульс тела - векторная величина. ![]()
это импульс тела массой 1кг, движущегося со скоростью
.
;
.
›0,
›0
‹0,
‹0
- Учитель: ребята ответьте на вопросы:
Любое ли тело может обладать импульсом?
Может ли импульс тела быть равным нулю? (учащиеся отвечают на вопросы)
Приложение 4.
Импульсом силы называется произведение силы на время её действия:
.
Изменение импульса тела равно импульсу силы:
.
Рассмотрим взаимодействие тел на примере шариков, подвешенных на нитях. Импульс левого и правого шариков изменяется, а импульс системы шариков не меняется (на сколько уменьшится импульс левого шара, настолько увеличится импульс правого, а импульс системы шариков не меняется см. Рисунок 1).
Рисунок 1.

Если два, или несколько тел взаимодействуют только между собой, без воздействия внешних сил, то они образуют замкнутую систему.
Исходя из выше сказанного, можно сформулировать закон сохранения импульса:
векторная сумма импульсов тел, составляющих замкнутую систему, не меняется с течением времени при любых движениях и взаимодействиях этих тел.
- Получим математическую запись закона сохранения импульса.
Рисунок 2.

Пусть замкнутая система состоит из двух тел массами m1 и m2, которые до столкновения имеют скорости
и
(см. Рисунок 2),а после столкновения -
и
.![]()
Система будет замкнутая, так как силы тяжести уравновешены силами упругости поверхности, а силы сопротивления малы. Во время столкновения возникают силы
.
По второму закону Ньютона каждую из этих сил можно заменить произведением массы на ускорение, полученное каждым из тел при взаимодействии:
![]()
Ускорения тел определяются равенствами:
и
;
подставим формулы (2) и (3) в (1),получим:
;
сократим обе части уравнения (4) на t:![]()
или
(5).Сгруппируем члены уравнения(5) следующим образом:
(6).В правой части равенства стоит сумма импульсов обоих тел до столкновения, а в левой - сумма импульсов тех же тел после
взаимодействия. Импульс каждого тела изменился, сумма же осталась неизменной. Учитывая, что
, запишем уравнение (6) ввиде:
(7).
Таким образом, геометрическая сумма импульсов тел, составляющих замкнутую систему, остаётся постоянной при любых движениях и взаимодействиях тел системы.
- Границы применимости ЗСИ: выполняется в замкнутой системе.
Примеры замкнутых систем:
- ружьё и пуля в его стволе;
- пушка и снаряд;
- оболочка ракеты и топливо в ней;
- Солнце и планеты;
- Земля и её спутники;
- лодка и человек и т.д.
Для лучшего усвоения материала на уроке можно использовать видеофильмы из электронных учебников (видеофильм "Пушка и снаряд", видеофильм "Отдача").
Учитель предлагает учащимся применить полученные знания при решении качественных задач.
- Качественные задачи.
1. Может ли человек, стоящий на идеальной гладкой горизонтальной (ледяной) поверхности, сдвинутся с места, не упираясь острыми предметами в лёд?
2. Россказни барона Мюнхгаузен гласят о том, что ему удалось вытащить себя из болота за свои собственные волосы. Мог ли он это сделать?
- Решение задач. (Приложение 5).
Задача 1. Из ружья массой 5 кг вылетает пуля массой 5 г со скоростью 600 м\с. Найти скорость отдачи ружья.
Учитель на доске последовательно излагает ход решения задачи на применение закона сохранения импульса.
Задача 2.(учащиеся решают самостоятельно по образцу).
На неподвижную тележку массой 100 кг прыгает человек массой 50 кг со скоростью 6
С какой скоростью начнёт двигаться тележка с человеком?
Ответ ко второй задаче 2 м\с (Приложение 7)
- Домашнее задание.§§ 21,22, упр.21(2).
- Итог урока.
- Обобщение и систематизация. (Приложение 8)
1.Что называется импульсом тела?
2.Что можно сказать о направлении векторов импульса и скорости движущегося тела?
3.Что означает утверждение о том, что несколько тел образуют замкнутую систему?
4.Какую систему называют замкнутой?
5.Сформулируйте закон сохранения импульса.
- Рефлексия.
- Ребята, у каждого из вас на столе лежат жетончики красного, зеленого, желтого цвета. Кто хорошо понял тему поднимите жетончики зелёного цвета, кто частично понял - жёлтого цвета, кто плохо понял - красного цвета.