Использование свойства монотонности функции при решении уравнений
Цели:
- научить учащихся использовать монотонность функции, при решении уравнений;
- научить умению анализировать, творчески подходить к поставленной задаче;
- воспитывать культуру и оперативность мышления, познавательный интерес к математике;
- помочь учащимся подготовиться к ЕГЭ.
Задачи:
- систематизировать теоретические знания учащихся;
- научить применять эти знания при решении практических задач;
- помочь в подготовке к ЕГЭ.
Оборудование: карточки с заданиями для каждого ученика.
ХОД УРОКА
Организационный момент: сообщить тему урока, сформулировать цели урока.
I. Устно.
Проводится фронтальный опрос учащихся:
- Какие функции называются возрастающими (убывающими)?
- Какие функции называются монотонными?
- Какие свойства монотонных функций вы знаете?
Ответы учащихся:
Свойство 1. Если y=g(x) - монотонно возрастает на промежутке I и y=f(x) - монотонно возрастает на промежутке I, то y=g(x)+f(x) - монотонно возрастает на промежутке I.
Свойство 2. Если y=f(x) возрастает (убывает) на промежутке I, то уравнение f(x)=a имеет на I не более одного корня.
Свойство 3. Если y=f(x) возрастает на I, а y=g(x) убывает на I, то уравнение f(x)=g(x), имеет не более одного корня.
- Определите промежутки возрастания (убывания) следующей функции:
II. Решение уравнений
( Этот этап урока проходит в форме беседы учителя с учениками. Ученики, основываясь на прошлом опыте решения уравнений, предлагают свои решения. Учитель показывает им более рациональные способы решения этих уравнений)
Пример 1. Решите уравнение: x5+x3+2x-4=0.
Решение: Функция f(x)=x5+x3+2x-4 возрастает как сумма трех возрастающих функций y=x5, y=x3 и y=2x-4 на R.
Тогда уравнение f(x)=0 имеет не более одного корня. Испытывая делители свободного члена, находим, что x=1.
Ответ: 1.
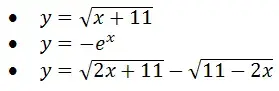
Пример 2. Решите уравнение
.
Решение: Функция
- возрастает на своей области определения, как сумма двух возрастающих функций
и
. Следовательно, уравнение f(x)=2 имеет не больше одного корня на
[-1,45; 26]. Непосредственно проверкой убеждаемся что f(1)=0. Уравнение решено: мы нашли корень и доказали, что других корней нет.
Ответ: 1.
Учащимся предлагается решить это уравнение дома с помощью возведения в квадрат лавой и правой частей уравнения, и убедится что решение будет очень громоздким.
Пример 3. Решите уравнение log2(x+2)=1-x.
Решение: Функция y=log2(x+2) - возрастает на (-2; +
).
Функция y=1-x убывает на R. Тогда уравнение log2(x+2)=1-x имеет единственное решение при x
(-2;
+
).
Непосредственно проверкой убедимся, что x=0 является корнем этого уравнения.
Ответ: 0.
Каким еще способом можно решить это уравнение? (графически)
Пример 4. Определите число корней уравнения
.
Решение: Рассмотрим функцию
эта функция возрастает на области определения
, тогда
, т.е. f(x)
4, где
x
D(f). Значит множеством значений функции f(x) является промежуток [+4;+
).
Т.е. при a
4 уравнение имеет единственное решение, при a<4 решений нет.
Ответ: a
4- единственное решение;
a<4 - решений нет.
III. Самостоятельная работа (10 - 15 минут)
I. Вариант:
- Решить уравнение x5+3x=4.
Ответ: 1.
- Решить уравнение
.
Ответ: 2.
- Решить уравнение log2x=3-x.
Ответ: 2.
II. Вариант:
- Решить уравнение x5+7x=-8.
Ответ: -1.
- Решить уравнение
.
Ответ: -30.
- Решить уравнение
.
Ответ: 5.
IV. К доске приглашаются ученики из обоих вариантов и показывают решение уравнений
V. Подведение итогов урока и выставление оценок
VI. Задание на дом
- Определить число корней уравнения
. - Решить уравнение x5+2x3+3=54.
Литература:
[1] В.В. Локоть. Применение свойств функций, преобразование неравенств // АРКТИ, Москва 2007 г.
[2] Ю.Н. Макарычев. Дополнительные главы к школьному учебнику 9 класс // Просвещение, 1998 г.
[3] И.Я. Виленкин. Алгебра и математический анализ 10 // Просвещение, 1998 г.
[4] Е.Д. Кулакин. 3000 конкурсных задач по математике // Москва 2002 г.
