Урок в 1-м классе по теме: "Закрепление изученного материала. Состав чисел. Сложение и вычитание в пределах 10"
Цели:
- Закрепить знания состава чисел в пределах 10, умения выполнять вычитание и сложение на основе состава чисел, составлять и решать задачи по рисунку.
- Развивать навыки устного счета, логическое мышление, соединяя игровую и обучающую формы деятельности.
- Воспитывать любовь к математике, интерес к изучаемому предмету.
Оборудование:
- Рисунок самолета.
- Сюжетные рисунки времен года.
- Веера с числами 1-10.
- "Светофоры".
- Двусторонние цветы для составления задач.
- Снежинки и домики для повторения состава чисел.
- Магнитофон.
Ход урока.
1. Организационный момент
Ученик:
Гулять сегодня некогда:
Мы заняты другим.
Пришли сегодня гости к нам,
И мы вас удивим.
Наш веселый первый класс
Вам покажет все сейчас:
То, чего достигли мы,
Находясь, весь год в пути.
Учитель:
Внимание! Проверь, дружок,
Готов ли ты начать урок?
Все ль на месте, все ль в порядке:
Книга, ручка и тетрадка?
И цветные карандаши
Ты на парту положи,
И линейку не забудь:
В математику держим путь!
А сейчас, ребята, поудобнее садитесь,
Не шумите, не вертитесь
И внимательно считайте,
А спрошу вас - отвечайте.
Вам условие понятно?
Дети: Да!
Учитель:
Это слышать мне приятно.
Путешествие зовет
Первоклашек на урок.
А куда пойдут ребята?
В необычную страну,
Очень нужную страну,
Очень важную страну -
Математику.
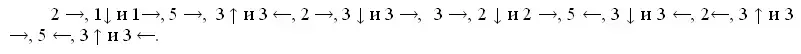
2. Графический диктант
А на чем мы сегодня отправимся путешествовать, вы узнаете, когда выполните графический диктант.


3. Нумерация чисел
Но пульт управления нашего самолета вышел из строя: запали некоторые кнопки. Помогите его исправить.
1, 2, *, 4, *, 6, 7, *, 9, *.
- Как расположены числа? (В порядке увеличения)
4. Решение примеров
Наше путешествие сказочное, необычное.
Куда мы отправимся в полет, вы узнаете, когда решите примеры. Откройте свои бортовые журналы - тетради. Проверьте свою посадку. Самостоятельно расположите примеры в 2 столбика.
|
1 + 5 - е |
7 - 3 - а |
9 - 8 - д |
|
10 - 1 - р |
6 + 2 - е |
6 - 4 - о |
|
4 + 6 - в |
9 - 9 - а |
8 - 5 - г |
|
9 - 4 - н |
2 + 5 - м |
Дополнительные вопросы для детей, которые раньше справились с работой.
На какие 2 группы можно разбить все примеры?
Как называются числа при вычитании?
Как называются числа при сложении?
Прочтите примеры разными способами.
Проверка:
Прочитайте примеры в порядке уменьшения ответов и получите название нашего маршрута. (Времена года).
В какое время года мы отправимся, вы узнаете, отгадав загадку.
Кто, угадай-ка,
Седая хозяйка:
Тряхнет перинки,
Над миром пушинки? (Зима)
(Открывается рисунок "Зима")
5. Работа над составом чисел
О каких пушинках идет речь в загадке?
На ваши парты тоже опустились снежинки, но они необычные. Сформулируйте задание с ними. (Вспомнить состав числа)

Проверка:
3 ученика работают у доски. Проверить их работу, по их снежинкам проверить свою работу.
6. Устный счет
Поиграем в снежки. Чтобы увернуться от снежка, надо дать правильный ответ с помощью числового веера.
Найти сумму чисел 4 и 6.
10 уменьшить на 8.
Найти разность чисел 8 и 5.
Первое слагаемое 2, второе - 7. Найти сумму.
К какому числу надо прибавить 5, чтобы получить 8.
Уменьшаемое 9, вычитаемое - 7. Найти разность.
Из какого числа надо вычесть 5, чтобы осталось столько же.
10 минус 6 и плюс 3.
2 плюс 6 и минус 5.
7. Физминутка
Она приходит с ласкою
И со своею сказкою.
Волшебной палочкой
Взмахнет,
В лесу подснежник
Расцветет. (Весна)
(Открыть рисунок "Весна")
Какие приметы весны вы знаете?
Рисование в воздухе (пальчиковая гимнастика): солнышко, лучики, капель.
Дыхательная гимнастика: Сильный ветер, легкий ветерок.
Игра с мячом: Дополни до 10, 9, 8, 7.
8. Работа по учебнику
Работа по вариантам: с. 37, № 5.
1 вариант - 1и 2 столбик.
2 вариант - 3 и 4 столбик.
Проверка:
Записать еще по 1 примеру в каждый столбик.
9. Музыкальная физминутка.
(Слушание фрагментов из альбома Чайковского "Времена года")
Что представили, когда слушали музыку?
10. Работа с задачами
Оно за весною к нам в гости идет,
С собою приносит немало забот.
Горячие долгие дарит деньки,
Чтоб зрели скорей на полях колоски.
Велит нам обильный собрать урожай.
Румяный, душистый испечь каравай. (Лето)
(Открыть рисунок "Лето")
На доске расположены 9 двусторонних цветков (Повторить состав числа 9).
1. Составить задачу на сложение.
2. Составить задачу на вычитание.
3.Составить задачу, в которой надо спросить "На сколько больше".
Дополнительное задание:
1. На полянке прыгали 5 кузнечиков и 2 лягушки. Сколько девочек собирали цветы?
2. В парке росло 4 красных цветка и белые розы. Сколько всего цветов было в саду?
3. Около фонтана гуляли девочки и мальчики. Девочек было больше, чем мальчиков. Сколько было мальчиков?
4. На цветок сели 3 бабочки и 4 шмеля. Смогут ли они не поссориться?
5. Как можно поставить вопрос к последней задаче, чтобы ее можно было решить?
11. Закрепление изученного материала. Работа с геометрическим материалом
Прошла по лугам, по лесам, по полям.
Припасы она заготовила нам.
Упрятала их в погреба, в закрома.
Сказала: "За мною нагрянет зима". (Осень)
Наступила осень. Пришла пора строить дома, чтобы легче перенести суровую зиму. Заполните домики нужными числами.

Проверка: в форме взаимопроверки.
Из каких геометрических фигур построены эти дома?
12. Итоги урока
Подошло к концу наше путешествие по временам года.
Кому из вас показалось, что оно прошло очень быстро?
Кому на уроке было трудно?
Что больше всего запомнилось?