Открытый урок "Решение уравнений, содержащих знак модуля"
Тема: Решение уравнений содержащих знак модуля.
Цель урока: отработать приемы решения уравнений, содержащих знак модуля; выработать умение решать любые уравнения содержащих знак модуля.
ХОД УРОКА
1. Организационная часть
2. Из повторения
а) Опр.: «Модулем числа а называется расстояние от начала отчета до точки изображающей это число на координатной прямой».
Модулем называют также абсолютную величину, т.е. |5| = 5; | - 3| = 3; |0| = 0.
б) Основные свойства модуля:
1) |а| > 0
2) | - а| = |а|
3) а < |а|
4) |х| < а, (если а > 0)
равносильно неравенству - а < х < а
5) |х| > а (если а > 0) равносильно двум неравенствам х < - а и х > а

3. Объяснение материала
Рассмотрим примеры решения уравнений, содержащих знак модуля.
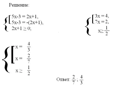
Пример 1:
Решить уравнение: |5х - 3| = 2х + 1

Решить это уравнение можно используя аналитическую запись определения модуля числа а, т.е.
|
|а| = |
{ | а, | если а > 0 |
| 0, | если а = 0 | ||
| - а, | если а < 0 |
Выделим виды уравнений с модулем:
I. Решим уравнение вида:
|f (х)| = |q (х)|
т.к. |а| = |b|, если а = ± b, то
|f (х)| = |q (х)| <=> f (х) = ± q (х) <=>
f2 (х) - q2 (х) = 0.
Например,
|х - 2| = |2х - 1|
х - 2 = 2х - 1 или х - 2 = - (2х - 1)
- х = 1 х - 2 = - 2х + 1
х = - 1 х = 1
Ответ: - 1; 1.
Решить самостоятельно:
1-й уровень:
| а) |х3 + х + 1| = 1
х3 + х + 1 = 1 - х3 - х - 1 = 1 |
х3 + х = 0,
х3 + х + 2 = 0, |
х (х2 + 1) = 0, х = 0
х = - 1. |
Ответ: - 1; 0.
2-й уровень:
| б) |х2 - х - 2| = |2х2 - х - 1|
х2 - х - 2 = 2х2 - х - 1 х2 + 1 = 0 корней нет |
или х2 - х - 2 = - (2х2 - х - 1)
х2 - х - 2 = - 2х2 + х + 1 3х2 - 2х - 3 = 0 D = 4 + 36 = 40 |

II. Решение уравнений вида:
|f (х)| = q (х)
Можно указать два приема решения таких уравнений:
1) |f (х)| = q (х) имеет корни, если
|
q (х) > 0, т.е. |f (х)| = q (х) |
<=> |
{ | f (х) = ±q (х) |
| q (х) > 0 |
Поэтому достаточно решить два уравнения f (х) = q (х), f (х) = - q (х) и для найденных значений х проверить справедливость неравенства q (х) ? 0.
2) Т.к. |f (х)| = f (х), если f (х) > 0
|f (х)| = - f (х), если f (х) < 0, то уравнение |f (х)| = q (х) равносильно каждой из следующих систем:
| { | f (х) > 0 |
или |
{ | f (х) < 0 |
| f (х) = q (х) | f (х) = - q (х) |
Решив каждое уравнение необходимо проверить выполнения неравенства.
Например:
|х3 + 3х3 + х| = - х + х3
х3 + 3х2 + х = - х + х3 и х3 + 3х2 + х = х - х3
3х2 + 2х = 0 2х3 + 3х2 = 0
х (3х + 2) = 0 х2 (2х + 3) = 0
| х = 0 или х = |
х = 0 или х = |
Проверим выполнения неравенства
х3 - х > 0
Ответ: х =
; 0.
III. Решение уравнений вида: |f1 (х)| + |f2 (х)| + … + |fn (х)| = q (х)
Эти уравнения основаны в решении на определения, т.е. |а| = а, если а > 0
|а| = - а, если а < 0
fn (х) могут быть многочленами, дробно-рациональными функциями и т.д.
Для каждой функции находят область определения, ее нули, точки разрыва. Нули и точки разрыва разбивают общую область на промежутки, в каждом из которых каждая из функций fn (х) сохраняет
постоянный знак. Затем, используя определение модуля для каждой из найденных областей, получим уравнение, подлежащее решению.
Например:
|х + 1| - |х - 1| = 2
х = - 1 х = 1

| - х - 1 + х - 1 = 2
- 2 = 2 нет корней |
х + 1 + х - 1 = 2
2х = 2 х = 1 является корнем |
х + 1 - х + 1 = 2
2 = 2 х Є (1; + |
Ответ: [1; +
).
Решить самостоятельно:
1-й уровень:
2|х - 2| - 3 |х + 4| = 1
х = 2 х = - 4

| 2(2 - х) + 3(х + 4) = 1
4 - 2х + 3х + 12 = 1 х = - 15 является корнем |
2(2 - х) - 3(х + 4) = 1
4х - 2х - 3х - 12 = 1 х = - 1,8 является корнем |
2х - 4 - 3х - 12 = 1
- х = 15 + 2 х = - 17 не является корнем |
Ответ: - 15; - 1,8.
2-й уровень:
|х2 - х| + |х - 2| = х2 - 2
х (х - 1) = 0 х - 2 = 0
х = 0, х = 1 х = 2

| х2 - х - х + 2 = х2 - 2
- 2х = - 4 х = 2 нет решений |
- х2 + х - х + 2 = х2 - 2
2х2 = 4 х2 = 2 х1,2 = нет решений |
х2 - х - х + 2 = х2 - 2
- 2х = - 4 х = 2 является решением |
х2 - х + х - 2 = х2 - 2
- 2 = - 2 х Є (2; + |
Ответ: [2; +
).
IV. Домашнее задание.
Решить уравнения:
а) |3х - 5| = 2х + 1
б) |3х - 8| - |3х - 2| = 6
в) |2х + 7| - 2 |3х - 1| = 4х + 1