Элективный курс по математике "Абсолютная величина"
Основное содержание курса
Абсолютная величина числа. Основные свойства (1ч).
Определение абсолютной величины числа или модуля. Аналитическая запись определения. Геометрический смысл. Основные свойства. Историческая справка.
Основная цель - систематизировать и обобщить знания обучающихся по теме "Абсолютная величина", полученные ими в 6 и 8 классах; рассмотреть геометрический смысл абсолютной величины и основные свойства; дать историческую справку о введении термина "модуль" и "знак модуля"; рассмотреть примеры, решение которых основано на определении модуля.
Решение уравнений с модулями (3ч).
Решение линейных, квадратных уравнений с модулями, а также уравнений, содержащих абсолютную величину, с параметрами.
Основная цель - геометрическая интерпретация выражения
и использование ее для решения уравнений вида
; рассмотреть решение линейных уравнений, основанных на определении модуля; решение квадратных уравнений, содержащих знак абсолютной величины,
а также графическое решение уравнений, содержащих абсолютную величину, с параметрами.
Решение неравенств с модулями (3ч).
Решение линейных, квадратных неравенств с модулями, а также неравенств, содержащих абсолютную величину, с параметрами.
Основная цель - выработать умения решать линейные неравенства с модулем различными способами (используя геометрический смысл, возведение неравенства в квадрат, с помощью двойного неравенства); квадратные неравенства, содержащие знак абсолютной величины, используя схематический набросок графика квадратной функции, а также метод интервалов; дать представление о решении неравенств, содержащих абсолютную величину, с параметрами.
Метод интервалов (2ч).
Решение уравнений и неравенств, содержащих абсолютную величину, методом интервалов.
Основная цель - научить школьников решать уравнения и неравенства, содержащие абсолютную величину, методом интервалов; сформулировать теорему, на которой основано отыскание интервалов знакопостоянства; нахождение нулей модуля.
Неравенства вида
,
, решаемые посредством равносильных
переходов (2ч).
Решение неравенства вида
посредством равносильных переходов к совокупности неравенств
, а неравенства
- к системе неравенств
.
Основная цель - закрепить понятие равносильности, известное учащимся из 8 класса; сформулировать (а в "сильном" классе доказать) свойство равносильного перехода от неравенства
к совокупности
и от неравенства
к системе
.
Применение свойств абсолютной величины при решении уравнений и неравенств (1ч).
Решение уравнений и неравенств (линейных, квадратных, степени выше второй), а также систем уравнений и неравенств с помощью свойств абсолютной величины.
Основная цель - повторить при необходимости основные свойства модуля; научить обучающихся решать уравнения и неравенства (линейные, квадратные, степени выше второй), а также систем уравнений и неравенств с помощью свойств абсолютной величины; показать графические приемы при записи ответа; расширить класс уравнений с модулем (рассмотреть уравнение с двумя переменными).
Решение уравнений и неравенств с модулем на координатной прямой (1ч).
Решение линейных уравнений и неравенств с модулем на координатной прямой.
Основная цель - повторить формулу расстояния между двумя точками А(х1) и В(х2) координатной прямой; научить обучающихся решению уравнений и неравенств с модулем на координатной прямой.
Модуль и преобразование корней (1ч).
Применение понятия модуля при оперировании арифметическими корнями. Преобразование иррациональных выражений, при решении которых используется модуль.
Основная цель - выработать умение выполнять преобразования выражений, содержащих квадратный корень, при которых используется модуль.
Модуль и иррациональные уравнения (2ч).
Решение иррациональных уравнений с использованием метода выделения полного квадрата или введения новой переменной.
Основная цель - повторить известное обучающимся из 8 класса определение иррациональных уравнений; показать на примерах решение иррациональных уравнений, связанных с необходимостью использования модуля.
Учебно-тематический план
| № п/п | Тема | Количество часов | Форма проведения занятий | Форма контроля | Наименование образовательного продукта |
| 1 | Абсолютная величина числа. Основные свойства. | 1 | лекция | - | - |
|
2
3 4 |
Решение уравнений с модулями:
-линейных; -квадратных; -с параметрами. |
1
1 1 |
практикум
практикум изучение нового материала |
решение контрольных заданий
решение контрольных заданий проверка рабочих тетрадей |
- |
|
5
6 7 |
Решение неравенств с модулями:
-линейных; -квадратных; -с параметрами. |
1
1 1 |
практикум
семинар изучение нового материала |
проверка домашнего задания
ответы на вопросы проверка рабочих тетрадей |
- |
|
8
9 |
Метод интервалов. |
1
1 |
комбинированный урок
урок-соревнование |
ответы на вопросы
урок взаимопроверки |
- |
|
10
11 |
Решение неравенств вида |
1
1 |
изучение нового материала
закрепление изученного материала |
проверка конспектов
математический диктант |
- |
| 12 | Применение свойств абсолютной величины при решении уравнений и неравенств. | 1 | обобщение и систематизация знаний | устный опрос | - |
| 13 | Решение уравнений и неравенств с модулем на координатной прямой. | 1 | обобщение и систематизация знаний | самостоятельная работа | - |
| 14 | Модуль и преобразование корней. | 1 | практикум | работа в группах | - |
|
15
16 |
Модуль и иррациональные уравнения. |
1
1 |
проверка и коррекция ЗУН
консультация |
домашняя контрольная работа
ответы на вопросы |
- |
| 17 | Зачет. | 1 | контрольная или тестовая работа | - | составление опорного конспекта |
Список литературы для учителя
- Голубев В.И. Абсолютная величина числа в конкурсных экзаменах по математике (по материалам ведущих ВУЗов страны).- Львов: Квантор, 1991.
- Голубев В. Эффективные методы решения задач по теме "Абсолютная величина".- М.: Чистые пруды, 2006.
- Данкова И.Н., Бондаренко Т.Е., Емелина Л.Л., Плетнева О.К. Предпрофильная подготовка учащихся 9 классов по математике.- М.: 5 за знания, 2006.
- Рурукин А.Н. Пособие для интенсивной подготовки к экзамену по математике "Выпускной, вступительный, ЕГЭ на 5+".- М.: ВАКО, 2006.
- Смыкалова Е.В. Математика (модули, параметры, многочлены), предпрофильная подготовка, 8-9 кл.- Санкт-Петербург: СМИО-Пресс, 2006.
Список литературы для обучающихся
- Гусев В.А., Мордкович А.Г. Математика. Справочные материалы.- М.: Просвещение, 1988.
- Дорофеев Г.В., Потапов М.К., Розов Н.Х. Пособие по Математике для поступающих в ВУЗы.- М.: Наука, 1973.
- Зорин В.В. Пособие по математике для поступающих в ВУЗы.- М.: Высшая школа,1974.
- Ивлев Б.М., Абрамов А.М., Дудницын Ю.П., Шварцбурд С.И. Задачи повышенной сложности по алгебре и началам анализа.- М.: Просвещение, 1990.
- Калнин Р.А. Алгебра и элементарные функции, издательство "Наука", главная редакция физико-математической литературы.- М.: Наука, 1975.
- Круликовский Н.Н. Математические задачи для абтуриентов.- Томск: изд. Томского Университета, 1973.
- Нестеренко Ю.В., Олехник С.Н., Потапов М.К. Задачи вступительных экзаменов по математике.- М.: Наука, 1986.
- Шарыгин И.Ф. Математика для школьников старших классов, Москва, "Дрофа", 1995.
Методические материалы
Занятие №1: Определение абсолютной величины числа (модуля числа), его геометрический смысл и основные свойства.
Абсолютной величиной (или модулем) действительного числа а называется само это число, если оно неотрицательное, и это число, взятое с противоположным знаком, если оно отрицательное.
Модуль числа а обозначается так:
. Устанавливая связь между модулем числа и самим числом, получим аналитическую запись
определения:
= 
Модулем числа называется также расстояние от начала отсчета до точки, изображающей это число на координатной прямой. В этом состоит геометрический смысл модуля. Т.о. используются термины
"модуль", "абсолютная величина" или "абсолютное значение" числа. В соответствии с приведенным определением
= 5,
= 3,
=0. Модуль числа может быть определен и как наибольшее из чисел а и -
а.
Историческая справка: термин "модуль" (от лат.modulus - мера) ввел английский математик Р. Котес (1682-1716), а знак модуля немецкий математик К.Вейерштрасс (1815-1897), в 1841 г.
Основные свойства модуля:
- Модуль любого действительного числа а есть неотрицательное число:

0. - Каждое действительное число а не больше своего модуля и не меньше числа, противоположного модулю, т.е. -

а
. - Если число a
0 и для числа х справедливо одно из неравенств х
а или х
-а, то модуль числа х удовлетворяет неравенству 
а. Каждое число х, удовлетворяющее неравенству 
а, удовлетворяет одному из неравенств х
а или
х
-а. - Если число а>0 и число х удовлетворяет неравенству -а
х
а, то модуль числа х удовлетворяет неравенству 
а. Если 
а, то справедливо неравенство:-а
х
а. - Модуль суммы двух или более слагаемых не больше суммы модулей этих чисел:


+
, - Модуль разности двух чисел не меньше разности модулей этих чисел


-
. - Модуль произведения двух или более множителей равен произведению модулей этих чисел:
=
. - Модуль частного двух чисел равен частному модулей этих чисел:
=
:
. - Модуль степени какого-либо числа равен степени модуля этого числа:
n=
причем если п=2к - четное число, то
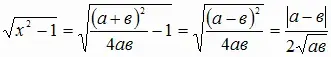
2к=а2к. - Модуль разности двух чисел равен расстоянию между точками числовой прямой, изображающими эти числа:
=p(а,в). Из этого
свойства следует важное равенство:
=
. В частности,
=
. - Сумма модулей чисел равна нулю тогда и только тогда, когда каждое число равно нулю.
- Модуль разности модулей двух чисел не больше модуля разности этих чисел:
.
Квадратный корень квадрата числа равен модулю этого числа:
=
.
Рассмотрим примеры, решение которых основано на определении модуля.
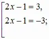
№ 1. Решить уравнение
=4.
По определению модуля; х=4 или х =-4.
№ 2. Решить уравнение:
=3.
Уравнение равносильно совокупности двух уравнений:
Откуда: х1 =2 и х 2=-1.
№ 3. Решить уравнение:
=-2.
По свойству 1: модуль любого действительного числа есть число неотрицательное, делаем вывод, что решения нет.
№ 4. Решить уравнение:
=х-5.
По этому же свойству 1: х-5
0, х
5.
№ 5. Решить уравнение:
+х=0.
=- х, х
0.
№ 6. Решить уравнение:
=х+2.
В отличие от предыдущего примера в правой части данного уравнения содержится выражение с переменной. Поэтому уравнение имеет решение при условии, что х +2
0,т.е. х
-2. Тогда имеем:
2х+1= х +2 или
2х+1 = - х - 2.
Т.о. при х
-2, имеем:
х = 1,
х = - 1.
Упражнения для самостоятельной работы:
Решить уравнения:
=х-3,
=х+2,
=
,
-2=3,- 2
=3х+1,
+х=9,- х+
=11,
+ х+2=6,- х-4-
=-2,
-
=3,
+х+3=
,
-
=6х-1,
+3х=
-18,
+
+3х=2.
Занятие №2. Решение линейных уравнений с модулями.
При решении линейных уравнений используется или геометрический смысл модуля числа или раскрытие знака модуля. Рассмотрим на примере: решить уравнение
+
= 7.
а) Используем геометрический смысл модуля числа. Запишем уравнение в виде:
+
=7. Тогда d=х-5 - расстояние от точки х до точки 5 на числовой прямой, f =х-(-2) - расстояние от точки х до точки (-2) .По условию задачи сумма этих
расстояний d+f=7. Нанесем точки 5 и -2 на числовую прямую. Легко проверить, что для любого числа из отрезка [-2;5] сумма расстояний d+f равна длине отрезка АВ, т.е. 7. Так же легко
установить, что для точек х<2 или х>5 сумма расстояний d+f>7. Поэтому решением уравнения является интервал
.
б) Раскроем знак модуля. Для этого нанесем точки -2 и 5 на числовую прямую. Эти точки разбивают ее на три интервала. Рассмотрим знаки модулей в каждом из промежутков.
В интервале 1 (х<-2) получаем: -(х-5)-(х+2)=7 или -х+5-х-2=7 или -2х+3=7, откуда получаем: х=-2. Но эта точка в рассматриваемый промежуток не входит. Поэтому х=-2 не является решением.
В интервале 2: х![]()
получаем: -(х-5)+(х+2)=7 или 7=7. Так
как получилось верное равенство, то любая точка из этого промежутка является решением данного уравнения.
В интервале 3 (х>5) получаем: (х-5)+(х+2)=7 или 2х-3=7, откуда х=5. Точка х=5 в рассматриваемый промежуток не входит и не является решением уравнения.
Итак, решение данного уравнения: -2
х
5.
Упражнения для самостоятельной работы:
Решить уравнения:
№1. х=
+
,
№2.
+
+
=2,
№3.
+
-
=2х+4,
№4.
+
+
=11,
№5.
-2
=0.
Занятие №3. Решение квадратных уравнений с модулем.
Рассмотрим решение квадратных уравнений с модулями на примерах:
№1. Решить уравнение
х2 -6
+8=0.
Введем замену
=у, тогда при у
0 уравнение
принимает вид:
y2-6у+8=0, откуда у1=2 и у2=4. а х=2 или -2; 4 или -4.
№2. Решить уравнение:
+
= 0.
Уравнение равносильно системе:
Откуда х=1.
№3. Решить уравнение:
= 2х - 1.
Уравнение имеет решение при условии, что 2х-1
0, а равенство возможно при условии: значения выражений х2+х-1 и
2х-1 одинаковы либо противоположны. Т.о. имеем: х
0,5. Составим уравнения: х2+х-1=2х-1 или
х2+х-1=-(2х-1); решая которые, получим
Ответ:
.
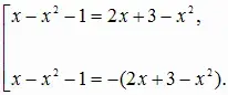
№4. Найти корни уравнения:
.
Представим данное уравнение в виде:
= х 2 - 1, откуда:
х2 - 1
,
х - 1 = х2 - 1,
или х - 1 = - (х2 - 1).
х2 - 1
при х
- 1 и х
1.Решая уравнения, получим из первого: х=0 и х=1, из второго: х=-2 и х=1.
Ответ: х=1; х=-2.
№5. Найти целые корни уравнения:
=
.
Используя определение модуля, прходим к выводу, что равенство возможно, если значения выражений х-х2-1 и 2х+3-х2 равны или противоположны, т.е. данное уравнение равносильно совокупности двух уравнений:

Решая совокупность, получим корни данного уравнения: х=-4;-0,5;2. Целые среди них: -4 и 2.
№6. Решить уравнение:
=2х2-3х+1.
Обозначим выражение 3х-1-2х2 буквой а. Тогда данное уравнение примет вид:
=-а. Исходя из
аналитической записи определения модуля, можно сделать вывод, что данное уравнение равносильно неравенству: 3х-1-2х2
0, решая которое, получим ответ: х
0,5 и х
1.
Упражнения для самостоятельной работы.
Решить уравнение:
№1.
=х2+ х-20.
№2.
+ 3х -5=0,
№3.
=(х-1)(х+1),
№4. х2-6
+5=0,
№5. х2+8
=9,
№6.
=х2 -6х+6,
№7. х
=-8.
Занятие №4. Решение уравнений, содержащих абсолютную величину, с параметрами.
Рассмотрим пример: решить уравнение с параметром
3-х=
.
Построим графики функций у=3-х и у=
. График у=3-х фиксирован и от параметра не зависит. График
у=
получается из графика фукции у=
, зависит от
параметра а. Поэтому рассмотрим 3 случая:
Этот случай, как видно из рисунка, будет при а<3. Графики этих функций пересекаются в единственной точке В. Рассмотрим треугольник АВС, в котором угол А равен углу В и равен 450, проведем в этом треугольнике высоту ВД. Т.к. треугольник АВС - равнобедренный, то ВД также и медиана этого треугольника. Поэтому абсцисса точки Д х =(а + 3)/2.
Этот случай имеет место при а=3. Тогда графики функций совпадают по отрезку АВ и абсцисса любой точки этого луча является решением данного уравнения, т.е. х<3.
В этом случае а>3. Видно, что графики функций не пересекаются, т.е. не имеют общих точек. Поэтому уравнение решения не имеет.
Упражнения для самостоятельной работы:
Решите уравнения:
№1.
=а,
№2. а
=3,
№3. (а-2)
=а-2,
№4. а2х2+а
=0.
Занятие №5. Решение линейных неравенств с модулями.
Неравенства, содержащие переменную под знаком модуля, решают различными способами; рассмотрим достаточно простой пример:
№1.Решить неравенство:
>4.
Первый способ: Имеем:
>4,
>4,
>2.
Геометрически выражение
означает расстояние на координатной прямой между точками х и 2,5. Значит, нам нужно найти все
такие точки х, которые удалены от точки 2,5 более чем на 2, - это точки из промежутков х<0,5 и х>4,5.
Второй способ: Поскольку обе части заданного неравенства неотрицательны, то возведем обе части этого неравенства в квадрат:
2>42 .
(2х-5)2>42,
(2х-5)2-16>0,
(2х-5-4)(2х-5+4)>0,
2(х-4,5) 2(х-0,5)>0,
(х-4,5)(х-0,5)>0.
Применив метод интервалов, получим: х<0,5 и х>4,5.
Третий способ: Выражение 2х-5 может быть неотрицательным или отрицательным. Т.е. имеем совокупность двух систем:

Откуда: х<0,5 и х>4,5.
Рассмотрим еще несколько примеров.
Пример №2.Решить неравенство:
<3.
Данное неравенство равносильно совокупности двух систем:

Из первой системы получаем 2
х<5, из второй -1<х<2. Объединяя эти два решения, получаем: -1<х<5.
Пример №3. Решить неравенство: 3![]()
х+3.
Данное неравенство равносильно двойному неравенству -х-3
3х-3
х+3 или системе

Имеем: 0
х
3.
Упражнения для самостоятельной работы:
Решить неравенства:
№1.
<3х+1,
№2.
+
>2,
№3. -
>
-2.
Занятие № 6. Решение квадратных неравенств с модулями.
Рассмотрим пример №1. Решите неравенство:
+х-2<0.
Данное неравенство можно решить методом интервалов. Рассмотрим иное решение, основанное на следующем утверждении: при любом значении а неравенство
равносильно системе неравенств:
, а неравенство
равносильно совокупности неравенств
.
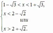
Поэтому наше неравенство равносильно системе неравенств:
решая которые, получим:

Запишем ответ: (1-
;2-
).
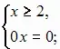
Пример №2. Найти целые решения неравенства: ![]()
2х-х2 . Задача
сводится к решению совокупности двух систем неравенств:

Решим первую систему: из первого неравенства имеем: х
1; х
2.
из второго: 2х2-5х+2
0, или 0,5
х
2.
Отметив найденные решения первого и второго неравенств первой системы на координатной прямой, находим пересечение решений.
Т.о. 0,5
х
1 и х=2. Это решение первой
системы.
Решим вторую систему: из первого неравенства имеем: 1<х<2, из второго: -(х2 -3х+2)
2х-х2, или - х2+3х-2-2х+ х2
0, или х
2.
Отметив найденные решения первого и второго неравенств второй системы на координатной прямой, получим: 1<х<2. Это решение второй системы.
Объединив найденные решения систем неравенств 0,5
x
1; х=2;
1<x<2, получаем: 0,5
x
2 и т.о. целыми решениями
будут х=1 и х=2.
Упражнения для самостоятельной работы:
Решите неравенства:
№1.
<6,
№2.
<х,
№3.
<3х-3,
№4. х2-3
+2>0,
№5. х2-х<3
,
№6. х2-6х+7-
<0,
№7. 3
+х2-7>0,
№8.
>
.
Занятие № 7. Решение неравенств, содержащих абсолютную величину, с параметрами.
Пример. При каких значениях а верно неравенство: ах2+4
+а+3<0?
При х
0 имеем ах2+4х+а+3<0. Старший коэффициент а должен быть отрицательным, дискриминант -
меньше нуля.
а<0, Д=16-4а(а+3)<0; 16-4а2-12а<0; а2+3а-4>0; а<-4 и а>1;
абсцисса вершины параболы х0=-в/2а=- 4/2а=-2/а
0, откуда а<-4.
При х<0 имеем ах2-4х+а+3<0. Рассуждая аналогично, получим: а<-4.
Ответ: при а<-4 данное неравенство выполняется при всех действительных значениях х.
Упражнения для самостоятельной работы:
Решите неравенства с параметрами:
№1.
>-а,
№2. (х-а)
<0,
№3. Существуют ли такие значения а, при которых неравенство ах2>2
+5 не имеет решений?
Занятия №8 - 9. Метод интервалов решения уравнений и неравенств, содержащих модуль.
Рассмотрим метод интервалов на примере решения уравнения
-
+3
-2
=х+2.
Чтобы решить данное неравенство, необходимо раскрыть модули. Для этого выделим интервалы, на каждом из которых выражения, стоящие под знаком модуля, принимают только положительные или отрицательные значения. Отыскание таких интервалов основано на теореме: если на интервале (а; в) функция f непрерывна и не обращается в нуль, то она на этом интервале сохраняет постоянный знак.
Чтобы выделить интервалы знакопостоянства, найдем точки, в которых выражения, записанные под модулем, обращаются в нуль:
х+1=0, х=-1; х=0; х-1=0, х=1; х-2=0, х=2.
Полученные точки разобьют прямую на искомые интервалы. Определим знаки выражений
х+1, х, х-1, х-2 на этих интервалах:
Учитывая знаки, раскроем модули. В результате получим совокупность систем, равносильную данному уравнению:





Последняя совокупность приводится к виду:





Решение совокупности систем и данного уравнения: -2; х
2.
Использованный прием называется методом интервалов. Он применяется и при решении неравенств.
Решить неравенство:
+х-2<0.
1) Найдем нули выражения: х2-3х.
х1=0, х2=3.
2) Разобьем координатную прямую на интервалы и установим знак выражения х2-3х на каждом интервале:
3) Раскроем модуль:

Решение первой системы:
, решение второй
. Решение данного
неравенства:
.
Упражнения для самостоятельной работы:
№1![]()
№2![]()
№3![]()
Занятие №10 - 11. Решение неравенств вида
,
посредством равносильных переходов.
Рассмотрим неравенства вида
и
. Примем без доказательства
следующую теорему: при любом значении а неравенство
равносильно системе неравенств
а неравенство
равносильно совокупности неравенств 
Рассмотрим пример: решить неравенство:
>х+2.
Пользуясь сформулированной теоремой, перейдем к совокупности неравенств:




Система
и неравенство 0х>2 не имеют решений. Следовательно, решением совокупности (и данного неравенства) является
х
.
Упражнения для самостоятельной работы:
№1.
<6,
№2.
1,
№3.
>х+3,
№4.
<х+3.
Занятие № 12. Применение свойств абсолютной величины при решении уравнений и неравенств.
При решении некоторых заданий находят применение свойства модуля. (При необходимости повторить их, см. занятие № 1).
Проиллюстрируем применение свойств модуля при решении следующих примеров.
Пример №1: решить уравнение:
=1.
Заметим, что
=1, значит,
. Следовательно, по свойству 5:
(х3-1)(2-х3)
0, решением которого является числовой отрезок ![]()
Пример №2. Решите систему уравнений: 
Заметим, что
Следовательно, по свойству 5 ху
0, т.е. х и
у принимают значения одного знака. Тогда данная система равносильна совокупности систем:
или 
Решением первой системы является любая пара неотрицательных чисел, сумма которых равна 1. Например, (0,5; 0,5), (1/6; 5/6).Решением второй системы является пара неположительных чисел, сумма которых равна - 1. Например, (0,8;-0,2).
Пример №3.Запишите при помощи знака модуля, что по крайней мере одно из чисел а, в, с, d отлично от нуля.
Ответ: ![]()
Пример №4. Дано:
<1,
<10,
<10.
Докажите неравенство:
<20.
Доказательство:
10=20.
Упражнения для самостоятельной работы:
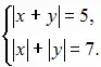
№1. Решите систему: 
№2. При каких значениях х справедливы равенства:
а)
,
б)![]()
№3. Найдите числа х и у такие, что
=0;
№4. Найдите наименьшее значение суммы:
а) ![]()
б) ![]()
№5. Решите уравнение: ![]()
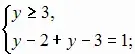
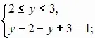
Занятие № 13. Решение уравнений и неравенств с модулями на координатной прямой.
При изучении расстояния между двумя точками А(х1) и В(х2) координатной прямой выводится формула, согласно которой АВ=
. Используя эту формулу, можно решать уравнения и неравенства вида
=в,
,
<в,
,
, а также уравнения и неравенства, к ним приводимые.
Рассмотрим примеры.
№1. Решите уравнение:
=1.
Переводя запись данного уравнения на "язык расстояний", получим предложение "расстояние от точки с координатой х до точки с координатой 3 равно 1". Следовательно, решение уравнения сводится к отысканию точек, удаленных от точки с координатой 3 на расстояние 1.
Корнями уравнения являются числа 2 и 4.
№2.
= 3.
Приводя данное уравнение к виду
=1,5, используем формулу расстояния:
Ответ: - 2; 1.
№3.
.
Запишем данное уравнение в виде:
. Исходя из геометрических представлений, нетрудно понять, что корнем последнего уравнения
является координата точки, равноудаленной от точек с координатами 1 и - 2, т.е. число - 0,5.
Упражнения для самостоятельной работы:
Решите уравнения и неравенства:
№1.
=0,4;
№2.
=0,7;
№3.
<0,5;
№4.
<7;
№5.![]()
№6. ![]()
№7. ![]()
№8. ![]()
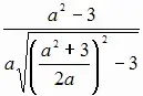
Занятие №14. Модуль и преобразование корней.
Понятие модуля находит применение при оперировании арифметическими корнями. Так как арифметический квадратный корень из числа может принимать лишь неотрицательные значения, то при записи этих значений используется модуль. Так, например,
![]()
![]()
В общем случае справедливо тождество: ![]()
Приведем примеры заданий на преобразование иррациональных выражений, при решении которых используется модуль.
№1. Упростить выражение:
![]()

при в>0, в
0 получим:
![]()

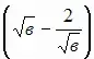
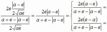
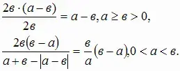
№2. Вычислите значение выражения:
А=
при х=0,5
, где а>0, в>0.
1) Преобразуем выражение для х:
х=0,5
=
.
2) Вычислим значение корня:
.
3) Вычислим значение знаменателя:
.
4) Вычислим значение выражения А:
А=

Упражнения для самостоятельной работы:
Упростить:
№1. 
№2.
;
№3.
;
№4. 
Занятие № 15-16. Модуль и иррациональные уравнения.
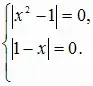
Ситуация, связанная с необходимостью использования модуля, может возникнуть и при решении иррациональных уравнений.
Решите уравнение:
+
=1.
Обозначим
через у, где у
0.
Тогда х+1=у2; х+5=у2+4; х+10=у2+9.
Данное уравнение примет вид:
или
, решая которое методом интервалов получим
совокупность:

или 

Т.о., 2
у
3, т.е. 2![]()
3, откуда х принадлежат отрезку [3;8].
Упражнения для самостоятельной работы:
При решении уравнений, приведенных ниже для самостоятельной работы, также используйте модуль.
№1. х2-5
-6=0,
№2.
=10,
№3. ![]()
В качестве домашнего задания обучающимся можно предложить домашнюю контрольную работу. Приведем примерный вариант такой работы:
№1. Решите уравнение:
а)
=2(3-х);
б) ![]()
№2. Решите неравенство:
а) ![]()
б) ![]()
№3. Упростить выражение:
а) 
б) 
№4. Решите уравнение:
а) ![]()
б) ![]()
№5. Решите систему уравнений:

Занятие №17. Зачет.
Зачетное мероприятие возможно в виде контрольной или тестовой работы, возможны также и другие, даже комбинированные, формы диагностики. В качестве зачетных предлагаются задания из разделов "Задания для самостоятельной работы" или подобные им. Большая подборка таких заданий в учебном пособии для учащихся 8-9 классов Е.В.Смыкаловой "Модули, параметры, многочлены", издательство "СМИО Пресс", г. Санкт - Петербург, 2006.
Для определения рейтинга данного элективного курса возможно проведение анкетирования (см. приложение).