Урок-игра "Математическое путешествие" по теме "Обыкновенные дроби", 5-й класс
Игры на уроках математики усиливают внимание учащихся к учебному материалу при изучении сложного или объемного материала, способствуют созданию познавательного мотива, активизации их мыслительной деятельности, повышают работоспособность, чувство ответственности за результаты деятельности коллектива и самого ученика, и являются средством стимулирования учащихся к математической деятельности.
Предлагаем урок-игру “Математическое путешествие” при повторении темы “Обыкновенные дроби”. Участники игры – команда “Числитель”, команда “Знаменатель”. Команды пройдут 8 станций, в которых надо проявить все свои знания по изученной теме. За каждый успешно и быстро пройденный команды получают баллы. Чья команда за время игры наберёт больше всех баллов – та и будет победителем всей игры. Каждое задание на доске выполнят один из участников команды, в результате также приносит баллы в копилку команды.
Оборудование: задания; рисунки к заданию; удочка с магнитом на конце и рыбки с задачами; два ребуса; карточки лото.
Наше математическое путешествие по теме “Обыкновенные дроби” начинается со станции “Теоретическая”. Вперед.
Станция “Теоретическая”
Командам поочередно задаются вопросы (всего 5 вопросов каждой). Если ответ команды соперника не полный, то другая команда может дополнить его. Команда, которая полно ответит на вопрос, получает 1 балл, команда, ответившая неполно или допустила ошибки – 0,5 балла.
- Что показывает знаменатель дроби?
- Что показывает числитель дроби?
- Какая из двух дробей с равными знаменателями больше?
- Какая дробь называется правильной?
- Какая дробь называется неправильной?
- В каких случаях дробь меньше 1?
- В каких случаях дробь больше 1?
- В каких случаях дробь равна 1?
- Сформулируйте правило сложения дробей с равными знаменателями?
- Сформулируйте правило вычитания дробей с равными знаменателями?
Станция “Рыболовная”
Готовится удочка и рыбки, на которых записаны задачи. Команды по очереди вылавливает по одной рыбке. Каждый из учащихся команды решает в тетради, а потом вместе обсуждают решение и оформляют на доске. Каждой команде дается три попытки, за быстрое и правильное решение задачи команда получает 1 балл, если есть недочеты – 0,5 балла.
- Картофель занимает
участка, а помидор
участка. Какую часть участка
занимают помидоры и картофель? Сформулируйте еще вопрос и решите
свою задачу. - За два дня засеяли
поля. В первый день засеяли
поля. Какую часть поля
засеяли во второй день? - Мама принесла апельсины. Оля получила
и Женя
части всех апельсинов.
Сформулируйте вопросы и ответьте на них. - Миша поймал рыбу массой
кг, а Коля – массой
кг. Чья рыба больше и на
сколько больше? - На платье для первой куклы было израсходовано
м ткани, а на
платье для второй куклы
м ткани. Сформулируйте вопросы и ответьте на
них. - За первый час было расчищено
всей дороги, а за второй час
всей
дороги. Сформулируйте вопросы и ответьте на них.
Станция “Ребусная”
Каждой команде выдается задание, решив которое они расшифруют ребус. За правильное и быстрое решение ребуса команда получает 1 балла, другая – 0,5 балла.
Для I команды: Изобразите на числовом луче, приняв за
единичный отрезок 10 клеток, точки соответствующие дробям:
Т(
);
О(0); Т(
); К(
); С(
); О(
); А(
). Расположите дроби на числовом луче и вы расшифруете слово.
(Ответ: ОСТАТОК)
Для II команды: Изобразите на числовом луче, приняв за
единичный отрезок 9 клеток, точки соответствующие дробям:
Т(
);
Е(
);
Р(
);
О(
);
К(
);
З(
);
О(
).Расположите дроби на числовом луче и вы расшифруете слово.
(Ответ: ОТРЕЗОК)
Станция “Угадай-ка”
Готовятся карты игрового поля. Каждое поле содержит девять клеток с примерами. Каждой клетке соответствует карточка с ответом. На этой же карточке записывается слово или слова. При правильном наложении карточек на клетки игрового поля учащиеся получают фразу. Команда быстрее и правильнее выполнившая задание получает 3 балла, другая команда – 2 балла. (Ответы: I команды – две равные дроби обозначают одно и то же дробное число; II команды – на координатном луче равные дроби соответствуют одной и той же точке)
|
Для I команды |
Для II команды
|
Станция “Художественная”
Командам выдается задание. Необходимо внимательно прочитать задание и приступить к его выполнению. Вам на выполнение отведено 5 – 6 минут. Команда, которая первая выполнит правильно задание и изобразит рисунок, получает 3 балла, а вторая команда – 2 балла.
- Выполните действия.
- Сравните результаты с указанными на рисунке ответами.
- Соедините ответы карандашом в той последовательности, в которой
они были получены и у вас получится рисунок.
Для I команды (рис. 1)
1)
2)
3)
4)
![]()
5)
6)
7)
8)
![]()

Для II команды (рис. 2)
1)
2)
3)
4)
![]()
5)
6)
7)
8)
![]()

Станция “Расчетная”
Капитаны команд вытягивают по очереди по одной задачи, которые решает вся команда (в рабочей тетради). Время для решения и оформление записи одной задачи на доске 3 минуты. Команда, первой справившаяся с задачей, получает 1 балл за быстроту и за правильное решение еще 1 балл, затем тянет вторую. Команда, решившая вторая, получает 0,5 балла.
- В 2008 году 366 дней. В феврале – 29 дней, а в сентябре 30 день. Какую часть года составляет февраль, а какую – сентябрь?
- Коля и Ира разделили апельсин пополам, каждому досталось 6 долек, однако к ним присоединились Таня и Вася. Коля и Ира отделил от своей доли апельсина половину и уступил ее ребятам. Какая часть апельсина досталась каждому из ребят?
- Канистра заполнена на
бензином.
бензина из канистры перелили в бак
машины. Какая часть бензина осталась в канистре? - На стройку отправили
т песка, а на другую – на
т больше. Сколько песка
отправили на обе стройки?
Станция “Практическая”
Капитаны команд вытягивают по очереди задание, которое выполняет вся команда (в рабочей тетради). Команда, оформившая правильно и быстрее задание на доске получает 2 балла, тянет второе. Если допущены незначительные ошибки, команда получает 0,5 балла. Победителем этого этапа будет самая быстрая команда, которая решит правильно два задания и наберет большее количество баллов.
- Начертите числовой луч, приняв за единичный отрезок 12 клеток.
Отметьте точки, соответствующие дробям:
;
;
;
;
;
. Расположите эти дроби в порядке
убывания. - Начертите числовой луч, приняв за единичный отрезок 8 клеток.
Отметьте точки, соответствующие дробям:
;
;
;
;
;
. Расположите эти дроби в порядке
возрастания. - Начертите числовой луч, приняв за единичный отрезок 4 см.
Отметьте точки, соответствующие дробям:
;
;
;
;
. Какая дробь больше всех? - Начертите числовой луч, приняв за единичный отрезок 7 клеток.
Отметьте точки, соответствующие дробям:
;
;
;
;
.
Станция “Финишная”
Для того чтобы заработать последние баллы и изменить сумму баллов, необходимо выполнить следующее задание. Учащимся выдаются конверты, в которых находятся карточки с заданиями и ответами, однако карточек с ответами больше, чем с заданиями. Выиграет команда, которая быстрее и верно выполнит все действия, и получит 2 балла, другая команда – 1 балл.
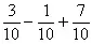
Для I команды
- Вычислите
, и найдите карточку с правильным ответом. - Вычислите
и найдите карточку с правильным ответом. - Сравните
и 1. - Из оставшихся карточек, выберите те, на которых написана неправильная дробь.
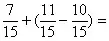
Для II команды
- Вычислите
и найдите карточку с правильным ответом. - Вычислите
и найдите карточку с правильным ответом. - Сравните
и
. - Из оставшихся карточек, выберите те, на которых написана дробь меньше 1.
Учитель подводит итоги урока-игры и определяет команду победителей, выставляет отметки с комментированием.