О применении теоремы Виета при решении квадратных уравнений
В восьмом классе, учащиеся знакомятся с квадратными уравнениями и способами их решения. При этом, как показывает опыт, большинство учащихся при решении полных квадратных уравнений применяют только один способ - формулу корней квадратного уравнения. Для учеников, хорошо владеющих навыками устного счета, этот способ явно нерационален. Решать квадратные уравнения учащимся приходится часто и в старших классах, а там тратить время на расчет дискриминанта просто жалко. На мой взгляд, при изучении квадратных уравнений, следует уделить больше времени и внимания применению теоремы Виета (по программе А.Г. Мордковича Алгебра-8, на изучение темы "Теорема Виета. Разложение квадратного трехчлена на линейные множители" запланировано только два часа).
В большинстве учебников алгебры эта теорема формулируется для приведенного квадратного уравнения и гласит, что если уравнение
имеет корни
и
, то для них выполняются равенства
,
. Затем формулируется утверждение, обратное к теореме Виета, и
предлагается ряд примеров для отработки этой темы.
Возьмем конкретные примеры и проследим на них логику решения с помощью теоремы Виета.
Пример 1. Решить уравнение
.
Решение.
Допустим, это уравнение имеет корни, а именно,
и
. Тогда по
теореме Виета одновременно должны выполняться равенства 
Обратим внимание, что произведение корней - положительное число. А значит, корни уравнения одного знака. А так как сумма корней также является положительным числом, делаем вывод, что оба корня
уравнения - положительные. Вернемся снова к произведению корней. Допустим, что корни уравнения - целые положительные числа. Тогда получить верное первое равенство можно только двумя способами (с
точностью до порядка множителей):
или
. Проверим для предложенных
пар чисел выполнимость второго утверждения теоремы Виета:
. Таким образом, числа 2 и 3 удовлетворяют обоим равенствам, а значит, и
являются корнями заданного уравнения.
Ответ: 2; 3.
Выделим основные этапы рассуждений при решении приведенного квадратного уравнения
с помощью теоремы Виета:
| записать утверждение теоремы Виета | ![]() |
(*) |
(первым равенством рекомендуется записывать произведение корней);
- определить знаки корней уравнения (Если произведение и сумма корней - положительные, то оба корня - положительные числа. Если произведение корней - положительное число, а сумма корней - отрицательное, то оба корня - отрицательные числа. Если произведение корней - отрицательное число, то корни имеют разные знаки. При этом, если сумма корней - положительная, то больший по модулю корень является положительным числом, а если сумма корней меньше нуля, то больший по модулю корень - отрицательное число);
- подобрать пары целых чисел, произведение которых дает верное первое равенство в записи (*);
- из найденных пар чисел выбрать ту пару, которая при подстановке во второе равенство в записи (*) даст верное равенство;
- указать в ответе найденные корни уравнения.
Приведем еще примеры.
Пример 2. Решите уравнение
.
Решение.
Пусть
и
- корни заданного уравнения. Тогда по теореме Виета
Заметим, что произведение - положительное, а сумма - отрицательное число. Значит, оба корня - отрицательные числа. Подбираем пары
множителей, дающих произведение 10 (-1 и -10; -2 и -5). Вторая пара чисел в сумме дает -7. Значит, числа -2 и -5 являются корнями данного уравнения.
Ответ: -2; -5.
Пример 3. Решите уравнение
.
Решение.
Пусть
и
- корни заданного уравнения. Тогда по теореме Виета
Заметим, что произведение - отрицательное. Значит, корни - разного знака. Сумма корней - также отрицательное число. Значит, больший по
модулю корень - отрицательный. Подбираем пары множителей, дающих произведение -10 (1 и -10; 2 и -5). Вторая пара чисел в сумме дает -3. Значит, числа 2 и -5 являются корнями данного уравнения.
Ответ: 2; -5.
Заметим, что теорему Виета в принципе можно сформулировать и для полного квадратного уравнения: если квадратное уравнение
имеет корни
и
, то для них выполняются равенства
,
. Однако применение этой теоремы довольно проблематично, так как в
полном квадратном уравнении по крайней мере один из корней (при их наличии, конечно) является дробным числом. А работать с подбором дробей долго и трудно. Но все-таки выход есть.
Рассмотрим полное квадратное уравнение
. Умножим обе части уравнения на первый коэффициент а и запишем уравнение
в виде
. Введем новую переменную
и получим приведенное квадратное
уравнение
, корни которого
и
(при их наличии) могут быть найдены по теореме Виета. Тогда корни исходного уравнения будут
. Обратим
внимание, что составить вспомогательное приведенное уравнение
очень просто: второй коэффициент сохраняется, а третий коэффициент
равен произведению ас. При определенном навыке учащиеся сразу составляют вспомогательное уравнение, находят его корни по теореме Виета и указывают корни заданного полного уравнения. Приведем
примеры.
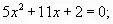
Пример 4. Решите уравнение
.
Решение
Составим вспомогательное уравнение
и по теореме Виета найдем его корни
. А значит, корни исходного уравнения
.
Ответ:
.
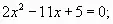
Пример 5. Решите уравнение
.
Решение
Вспомогательное уравнение имеет вид
. По теореме Виета его корни
.
Находим корни исходного уравнения
.
Ответ:
.
И еще один случай, когда применение теоремы Виета позволяет устно найти корни полного квадратного уравнения. Нетрудно доказать, что число 1 является корнем уравнения
, тогда и только тогда, когда
. Второй корень уравнения находится по теореме Виета и
равен
. Еще одно утверждение: чтобы число -1 являлось корнем уравнения
необходимо и достаточно, чтобы
. Тогда второй корень уравнения по теореме Виета равен
. Аналогичные утверждения можно сформулировать и для приведенного квадратного уравнения.
Пример 6. Решите уравнение
.
Решение
Заметим, что сумма коэффициентов уравнения равна нулю. Значит, корни уравнения
.
Ответ:
.
Пример 7. Решите уравнение
.
Решение
Для коэффициентов этого уравнения выполняется свойство
(действительно, 1-(-999)+(-1000)=0). Значит, корни уравнения
.
Ответ: .
.
Примеры на применение теоремы Виета
Задание 1. Решите приведенное квадратное уравнение с помощью теоремы Виета.
1. 6. 11. 16. 2. 7. 12. 17. 3. 8. 13. 18. 4. 9. 14. 19. 5. 10. 15. 20.
Задание 2. Решите полное квадратное уравнение с помощью перехода к вспомогательному приведенному квадратному уравнению.
1. 6. 11. 16. 2. 7. 12. 17. 3. 8. 13. 18. 4. 9. 14. 19. 5. 10. 15. 20.
Задание 3. Решите квадратное уравнение с помощью свойства
.
1. 6. 11. 16. 2. 7. 12. 17. 3. 8. 13. 18. 4. 9. 14. 19. 5. 10. 15. 20.
