Условный оператор в языке программирования Turbo Pascal 7.0

Цели:

  • Обучающая: Дать основные сведения об условном операторе в языке программирования Turbo Pascal 7.0; закрепить пройденный материал (запись операторов ввода и вывода, математических выражений на языке программирования).
  • Развивающая: Продолжить развивать логическое мышление, умение сравнивать, анализировать, делать выводы.
  • Воспитывающая: Продолжить воспитание самостоятельности и ответственности, умение находить решение на поставленные задачи.

Оборудование:

  • Персональные компьютеры с Turbo Pascal 7.0;
  • Компьютер учителя;
  • Мультимедийный проектор;
  • Интерактивная доска.

Учебный и раздаточный материал:

План урока:

  1. Проверка домашнего задания.
  2. Изучение нового материала.
  3. Решение задач.
  4. Итог урока.
  5. Домашнее задание.

Ход урока

1. Проверка домашнего задания.

Сопровождается презентацией (Приложение 1).

Вопросы:

  1. Как записывается оператор вывода?
  2. Как записывается оператор ввода?
  3. Как записывается оператор присвоения?
  4. Чем заканчивается программа?
  5. Записать на языке Turbo Pascal 7.0 следующие выражения:

у = 5х2-10х+2;
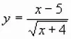
.

Примерные ответы обучающихся:

  1. Оператор вывода WRITE (a1, a2, … , an) - выводит последовательно значения переменных a1, a2, … , an, причём переход на следующую строку не происходит.
  2. Оператор вывода WRITELN (a1, a2, … , an) - выводит последовательно значения переменных a1, a2, … , an, причём переход на следующую строку происходит.
  3. Оператор ввода READ (a1, a2, … , an) - каждое вводимое значение получают последовательно переменные a1, a2, … , an. Оператор ввода READLN (a1, a2, … , an) - каждое вводимое значение получают последовательно переменные a1, a2, … , an, а так же происходит переход на новую строку при вводе данных.
  4. Оператор присвоения записывается ":=".
  5. Программа заканчивается END.
  6. Запись выражений:
Математическая запись Запись на языке Turbo Pascal 7.0
у = 5х2-10х+2 Y: = 5*SQR(x) - 10*x + 2
Y : = (x - 5)/SQRT(x+4)

2. Изучение нового материала.

Сопровождается презентацией (Приложение 1).

Условный оператор в Turbo Pascal 7.0 помогает осуществить "ветвление" программы, т. е. передать управление по условию.

Условный оператор имеет вид:

IF условие THEN <оператор1> [ELSE <оператор2>]

Выполнение условного оператора начинается с вычисления значения логического выражения, записанного в условии. Простые условия записываются в виде равенств или неравенств. Сложные условия составляют из простых с помощью логических операций, если условие истинно, то выполняется <оператор1>, в противном случае - <оператор2>.

Разбор условного оператора можно выполнить на следующем простом примере.

Задача 1.

Даны два числа А и В. Найти наибольшее из них.

Решение.

program prim1;

uses crt;

Описываем переменные А и В как целые.

var a,b: integer;

begin

Вводим два целых числа.

writeln('введи два числа');

readln(a,b);

Если A>B, то выводим на экран A, иначе - B.

if a>b then writeln (a) else writeln (b);

readln;

end.

Примечание:

В Turbo Pascal 7.0, если в качестве оператора должна выполниться серия операторов, то они объединяются в операторные скобки begin-end.

3. Решение задач.

1. Задача 2 решается у доски.

Задача 2.

Какими будут значения переменных j, k после выполнения условного оператора:

If j>k Then j = k-2 Else k=k-2;

если исходные значения переменных равны: j=3, k=5; j=3, k=3; j=3, k=2 .

Решение.

При j=3, k=5 получим:

Так как условие j>k не выполняется, то выполняется k=k-2, то есть k=5-2, k=3.

Ответ: j=3, k= 3.

При j=3, k= 3 получим:

Так как условие j>k не выполняется, то выполняется k=k-2, то есть k=3-2, k=1.

Ответ: j=3, k= 1.

При j=3, k=2 получим:

Так как условие j>k выполняется, то выполняется j = k-2, то есть j =2-2, j=0.

Ответ: j=0, k= 2.

2. Раздаются карточки ученикам для дальнейшей самостоятельной работы. В карточке опорный конспект по теоретическому материалу и решению задач на ветвление, а так же перечень задач для домашней работы.

4. Итог урока.

Подводя итог урока, ответим на следующие вопросы:

  1. Что нового я узнал(а) на этом уроке?
  2. Что было особенно сложным для меня?
  3. Так и не понял(а) …
  4. Мне было (не)интересно.

5. Домашнее задание.

Домашнее задание находится в конце карточки ученика. (Приложение 2).

Приложения

Похожие уроки