Открытый урок по физике по теме "Свободные и вынужденные электромагнитные колебания. Колебательный контур. Аналогия между механическими и элетромагнитными колебаниями"
Тип урока: диалоговая лекция с элементами поисковой деятельность (2 часа).
Тема: Свободные и вынужденные электромагнитные колебания. Колебательный контур. Аналогия между механическими и электромагнитными колебаниями.
Цели урока:
Дидактическая – создать условия для усвоения нового материала, используя поисковый метод обучения и принцип цикличности познания;
Образовательная – показать универсальных характер теории колебаний;
Развивающая – развивать когнитивные процессы учащихся, основываясь на применении научного метода познания: аналогичности и моделировании;
Воспитательная – продолжить формирование представлений о взаимосвязи явлений природы и единой физической картине мира, учить находить и воспринимать прекрасное в природе, искусстве и учебной деятельности.
Оборудование:
для учителя -
- метроном, пружинный и математический маятники;
- ТV и видеоплеер;
-
компьютер.
для ученика -
- лист с заготовкой опорного конспекта;
- сборники задач под редакцией Г.Н. Степановой;
- дифференцированные задания на карточках.
Домашнее задание: §27, 29, 30. Опорный конспект. №949–Рымкевич А.П.
Творческое задание:
Компьютерная анимация.(выполняется учеником).

Рис. 1
Придумайте механическую систему, которая была бы
аналогична электрической цепи, состоящей из конденсатора с
электроемкостью С, резистора с активным сопротивлением R и ключа К.
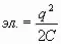
На конденсаторе в
сосредоточен
, ключ замыкают в начальный
момент времени.
Ход урока.
1. Введение.(Учитель).
Получить электрические магнитные колебания также легко, как и заставить колебаться математический или пружинный маятники, но наблюдать эти колебания без специальных устройств невозможно.
Демонстрации: 1) колебания мятников в механических системах.
2) фрагмент видеофильма “Электромагнитные колебания”.
В. Какие же величины могут периодически изменятся в электрических цепях?
Опр.
1. Периодические или почти
периодические изменения
, и напряжения называются электромагнитными колебаниями.
В классической механике - это низкочастотные колебания.
В квантовой механике - это высокочастотные колебания.
Из вывода Максвелла следует, что в природе существует единое электромагнитное поле.

Рис. 2
Опр. 2. Одновременное периодическое изменение связанных между собой электрического и магнитного полей называется электромагнитными колебаниями.
Как и механические колебания, электромагнитные колебания могут быть:
- свободными (затухающими)
- вынужденными (незатухающими)
а) Свободные электромагнитные колебания возникают в колебательном контуре после однократного подведения энергии.

Рис. 3
Как всегда в любом разделе физики, мы стараемся изучить протекающие процессы на модели.
Рассмотрим электромагнитные колебания с точки зрения преобразования энергии в колебательном контуре.
Объяснение
явления: На обкладках конденсатора сосредоточен
электрический заряд, после того как колебательному контуру
предоставляется самостоятельность, конденсатор разряжается через
катушку индуктивнос-ти, в которой возникает электрический ток. В
конденсаторе сосредоточено электрическое поле с энергией W
, которая
по
мере разрядки конденсатора, а в катушке возрастанию тока
способствует
магнитной энергии W
.
Если контур реальный, то потери энергии электромагнитного поля неизбежны, т.к. частично энергия электромагнитного поля переходит во внутреннюю энергию проводников, диэлектрика, а также выделяется в виде джоулевого тепла на активной нагрузке (омическом сопротивлении R). В результате, в реальном контуре возникают свободные электромагнитные колебания, которые являются затухающими.
Вывод: (делают ученики) Свободные колебания, возникающие при разрядке конденсатора через катушку — затухающие электромагнитные колебания.
Демонстрация:
Затухающие электромагнитные колебания на экране осциллографа, где Up – напряжение развертки.

Рис. 4
б) Вынужденные электромагнитные колебания - переменный электрический ток, являются незатухающими.
В Для того чтобы колебания были незатухающими, на колеблющееся тело должна действовать внешняя периодически изменяющаяся сила. Чем же будет являться внешняя сила для электрической цепи с незатухающими колебаниями? (Демонстрация колебаний метронома).
Опр. Вынужденными электромагнитными колебаниями называют периодические изменения силы тока и напряжения в электрической цепи, происходящие под действием переменной Э.Д.С. от внешнего источника.
Отв.(ученик). Роль внешней силы выполняет Э.Д.С. от внешнего источника - генератора переменного тока, работающего на электростанции. Вынужденные колебания электромагнитные обеспечивают работу электрических двигателей в станках на заводах и фабриках, приводят в действие электробытовые приборы и осветительные системы. Действие внешней переменной Э.Д.С. способно восстанавливать потерю энергии, создавать и поддерживать незатухающие электромагнитные колебания.
2. В идеальном колебательном контуре
(R=0) возникают свободные электромагнитные колебания
, которые
являются гармоническими.
В Дайте определение гармоническим колебаниям.
Отв (ученик). Гармонические колебания - это такие колебания, при которых физическая величина изменяется по закону Sin или Cos.
Воспользуемся аналогией между механическими и электромагнитными колебаниями и найдем зависимость от времени для электрических характеристик идеального колебательного контура.
Дополнительная справка (ученик)
Аналогия - один из методов научного познания, который широко применяется при изучении физики. В основе аналогии лежит сравнение. Если обнаруживается, что два или более объектов имеют сходные признаки, то делается вывод и о сходстве других признаков. Вывод по аналогии может быть как истинным, так и ложным, поэтому он требует экспериментальной проверки. (Г. Галилей – основоположник научного метода познания).
Для облегчения изучения электромагнитных колебаний удобно использовать электромеханические аналогии, поскольку теория колебаний имеет универсальный характер, т.е. колебательные и волновые процессы различной природы подчиняются общим закономерностям.
Подведем итог: (обобщают ученики)
Колебательные процессы различной природы описываются одинаковыми по виду уравнениями и имеют тождественные графические интерпретации.
Академик Мандельштам отмечал: “Теория колебаний объединяет, обобщает различные области физики... Каждая из областей физики — оптика, механика, акустика — говорит на своем “национальном” языке. Но есть “интернациональный” язык, и это - язык теории колебаний... Изучая одну область, вы получаете тем самым интуицию и знания совсем в другой области”.
Анализ формулы Томсона.
, где
- сосредоточенные параметры
колебательного контура идеального.
если
, то
медленно
до 0, т.е.
период
колебаний возрастает.
Если
, то
медленно
до
т.к. мешает эдс
самоиндукции, хотя
, но период колебаний укорачивается.
Чем больше С, тем больше времени необходимо для перезарядки конденсатора.
В реальном колебательном контуре происходят
затухающие колебания, которые описываются экспоненциальным законом:
.

Рис. 5
t - время релаксации, t
- время, за которое
амплитуда колебаний
в е раз.
- декремент
- количественная характеристика
быстроты затухания.
(Понятие декремента, времени релаксации и график затухающих колебаний - объясняют ученики)
Вывод: Свободные колебания тока, заряда, напряжения из-за энергических потерь не будут строго гармоническими.
В реальном колебательном контуре при малом R, колебания будут происходить с длительным периодом, а при большом R могут вообще не возникнуть, т.е. конденсатор разрядится через катушку, а перезарядки не последует.
3. Закрепление материала.
№1266-Ст. (решает с комментариями ученик на доске).

Стихотворение Н. Заболоцкого: (читает ученица).
Рожденный пустыней колеблется звук,
Колеблется синий на нитке паук,
Колеблется воздух, прозрачен и чист,
В сияющих звездах колеблется лист.
Я благодарю инициативную группу учащихся из научного общества “Фрактал”, которая помогала мне в подборе информации, подготовке и проведении урока.
4. Самостоятельная работа по карточкам.
Цель: Проверить глубину и осознанность восприятия изученного материала.
Уровень: Частично-поисковый.
Форма: Индивидуальная.
Дифференциация по уровню сложности: Вариант 3,4 – задания базового уровня, Вариант 1,2 – задания повышенного уровня.
Текс карточек смотрите Приложение 1.