Интегрированный урок (алгебра + английский язык) "За страницами учебника…", 9 класс.
Цели и задачи урока:
- использование математических и лингвистических навыков в нестандартных ситуациях;
- решение рациональных неравенств;
- знакомство с выдающимися учёными Великобритании;
- развитие умственных операций (перенос знаний, обобщение, сравнение, анализ, синтез);
- развитие познавательного интереса;
- развитие мышления, памяти, речи;
- использование элементов новых технологий.
Ход экспедиции (Приложение 1, слайд № 3)
- Остановка «Фонетическая-математическая»
- Остановка «Угадай-ка»
- Остановка «Решай устно»
- Остановка «Кто вперёд»
- Остановка «Компьютерная»
- Остановка «Машина времени»
- Остановка «Весёлая минутка»
- Остановка «Итоги экспедиции»
ХОД УРОКА
I. Вступительное слово
Сегодня мы решили провести необычный урок. Урок-экспедицию «За страницами учебника…». Мы будем повторять решение рациональных неравенств и узнаем о выдающихся учёных Великобритании и их вкладе в развитие математики. Во время экспедиции мы будем делать остановки. Результаты вашей работы будут заноситься в маршрутные листы (Рис. 1) и общая оценка за урок будет выставлена, исходя из оценок, полученных на каждом этапе нашего путешествия. Ну а подробнее обо всем вы узнаете из презентации урока.
Маршрутный лист

Рис. 1
II. Остановка «Фонетическая-математическая»
Учащиеся произносят за учителем звуки и слова с этими звуками и выполняют задания «верно» - «неверно». Повторение математической лексики.
Фонетическая зарядка. Listen and repeat after me:

Речевая зарядка. Listen to my statements and say if they are true or false:
- Addition is a rule by which the sum of two or more given numbers may be obtained. (true)
- Isaac Newton is a famous Russian scientist and mathematician. (False. Isaac Newton is a famous English scientist and mathematician.)
- A half equals 0.5. (true)
Do the sums and comment in English. (слайд № 4)
254 + 71 = 125
124 - 83 = 41
15 * 11 = 165
9.999 : 3 = 3.333
Look at these mathematical signs and say what they mean. (слайд № 4)
![]()
Do the sums and fill in the blanks (Приложение 2) .
III. Остановка « Угадай-ка» (слайды №№ 5 - 11)
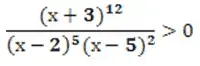
Решив упражнения и выбрав верные ответы, вы узнаете фамилию одного из великих английских учёных (RECORDE). Прочтите эту фамилию, заполнив таблицу. Реши неравенство f (x) > 0 , где f (x) - квадратичная функция.

Заполните таблицу решений
![]() |
|
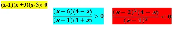
IV. Остановка «Решай устно» (слайды №№ 12,13)
Предлагаем вам устно решить рациональное неравенство по-английски.

V. Остановка «Кто вперёд»
- Рациональные неравенства решаются методом, который позволяет достаточно быстро получить верный ответ, что очень важно при выполнении тестовых заданий на ЕГЭ. Как он называется? (Метод интервалов)
- Сейчас вам предстоит выполнить задания на карточках. Кто вперед справится со своим заданием, тот получает право работать на компьютере, предварительно ответив на вопросы. Вопросы могут быть следующими [ 3 ]:
- Какие неравенства называют рациональными?
- Что значит решить неравенство?
- Опиши общий метод интервалов.
Каждый ученик получает карточку с заданием, в которую нужно вписать решение, графическую иллюстрацию решения неравенств и записать ответ. (Рис.3)

Рис. 3
VI. Остановка «Компьютерная»
10 учеников, которые выполнили задания раньше остальных, работают за компьютерами, а остальные в это время выполняют индивидуальные задания на цветных листах. После 10 минут работы ребята, работающие на компьютерах, получают индивидуальные задания (рис.4) [ 2 ], а остальная группа переходит к выполнению тестовых заданий на компьютере (Рис. 5). Используется интерактивное приложение к сборнику «Единый государственный экзамен. Математика. Контрольно-измерительные материалы. 2003-2004. - М.: «Просвещение» [ 4 ].

Рис. 4
Примеры заданий компьютерного тестирования

Рис.5
VII. Остановка «Машина времени» (слайды №№ 14-18)
Учитель математики проверяет работы, а учитель английского языка предлагает выполнить задания по чтению.
- Every country is proud of its people who made the country famous and brought it glory. Great Britain is one of such countries. Its outstanding writers and poets, statesmen and politicians,
musicians and scientists are well-known all over the world. Now we are going to read about Britain's famous scientists who made their contribution into mathematics.
Task 1: read the texts and complete the chart.
Task 2: read the texts again and say which two scientists the sentences refer to.
Robert Recorde was born in Tenby, Wales in 1510. Unfortunately we know little about his childhood. As a young adult he studied at Oxford, then at Cambridge where he graduated in medicine. Recorde wrote many books in mathematics. He first used the symbols (+) and (-). Recorde is credited for developing the (=) equal sign. Recorde died in the King's Bench Prison in 1558, where he was committed for debt [ 5 ].
Isaac Newton, one of the greatest scientists of all times was born in 1642 in a little village in Lincolnshire, England. After school he studied maths at Cambridge University and received his degree in 1665. Newton made three great discoveries - the discoveries of the differential calculuses; the nature of the white light and of the law of gravitation. Newton died at the age of 84 and buried in Westminster Abbey [ 5 ].
Thomas Harriot (1560-1621) was an English scientist and mathematician. He was born in Oxfordshire, England, in 1560. Little is known about his parents. In 1557 Harriot entered the University of Oxford. He studied optics, astronomy and geometry. Thomas Harriot invented the signs for "greater than" (>) and "less than" (<) in use today [ 6, 7 ].
VIII. Остановка «Весёлая минутка» (слайд № 19)
- Решите задачку [ 9 ]:
Три слога в слове. Первый слог - большой снеговика кусок.
Осуществляют слог второй слоны, придя на водопой.
А третий слог зовётся так, как раньше звался твёрдый знак.
Соедини все три как надо. Получишь ЭВМ в награду.
Ответ: Ком-пьют-ер.
- What is the longest word in English?
Ответ: SMILES (because there is a mile between the letters s).
IX. Остановка «Итоги экспедиции»
- Что связывает математику и иностранный язык?
- Нужны ли знания, которые мы получаем по математике, при изучении иностранного языка?
- Мы учим язык, на котором говорили учёные, которые совершили так много открытий в математике.
После обработки маршрутных листов все ученики получили сертификаты по английскому языку и алгебре и индивидуальные домашние задания. (Приложение 3).
Рефлексия. У каждого ученика в начале урока лежали на столах смайлики. В конце урока они сдали учителю тот смайлик, который соответствовал их настроению.
Список литературы:
- Кузовлев и др. Английский язык. Учебник для 9 класса общеобразовательных учреждений. - М.: «Просвещение», 2004
- Миндюк М. Б., Миндюк Н.Г. Разноуровневые дидактические материалы по алгебре. 9 класс. - М.: издательский дом «Генжер», 2001
- Никольский С.М. и др. Алгебра. 9 класс. - М.: «Просвещение», 2005
- Интерактивное приложение к сборнику «Единый государственный экзамен. Математика. Контрольно-измерительные материалы. 2003-2004.- М.: «Просвещение», 2003
- www.bbc.co.uk.russian/specials/108_great_britons/page5.shtml
- www.bookrags.com/biography-thomas-harriot-scit-03123/
- www.ecu.edu/cs-cas/harriot.cfm
- www.google.com
- www.1sept.ru
- www.longman.com/friends
