Обобщающий урок по теме "Квадратные уравнения"
Оборудование:
- Мультимедийный проектор
- Карточки
Цели:
- Закрепить знания учащихся по решению квадратных уравнений и уравнений сводящихся к ним.
- Выделить те факты теории, которые необходимы для успешного решения квадратных уравнений.
- Формировать отношения взаимной ответственности и зависимости в группах.
- Развивать логическое мышление учащихся.
Этапы урока:
І. Организационный момент.
Постановка целей и задач, настрой учащихся на учебную деятельность.
Разбиение по группам.
ІІ. Проверка домашнего задания.
Решения уравнений, заданных на дом, заранее выписаны на доске. В этих решениях имеются ошибки такого характера, которые могут допустить сами учащиеся.
х2 +
х = 0 ; х (х +
) = 0
х1 = 0; х2 =
.
4х2 + 4х - 3 = 0; х1 =
=
= 1,5;
х2 =
=
= - 0,5.
;
¦ ОДЗ: у
6;
у
0.
у2 = 4 (3 - 2у); у2 = 12 - 8у; у2 + 8у - 12 = 0
у = ![]()
у1=
; у2=
.
Проверить домашнее задание, сверяясь с записями на доске, и обнаружить ошибки.
Учащиеся с места анализируют замеченные ими ошибки. Учитель со слов учащихся записывает все их поправки. Затем подводя итог дискуссии, зачеркивает все неверные записи. Поставить оценки тем учащимся, которые дали обстоятельный анализ ошибок.
III. Устная работа.
С помощью мультимедийного проектора дается задание:
1. Сгруппировать данные квадратные уравнения по какому-либо признаку
а) 3х2 = 0; г) х2 + 3х - 3 = 0; б) х2 - 11х = 0; д) 2х2 + 3х - 9 = 0; в) х2 - 3х + 1 = 0; е) 11х2 - 3х = 0
(полные кв. уравнения - в, г, д; неполные кв. уравнения - а, б, е; приведенные кв. уравнения - в, г)
2. Решить уравнения
а) ( 9х - 5)(х + 3) = 0 г) х2 - 8х = 0 б) х2 - 25 = 0 д) 4х2 - 9 = 0 в) х (х + 2) = 0 е) 4х2 = 0
IV. Самостоятельная работа
Для каждого из уравнений:
а) х2 - 7х = 0; г) х2 + 4х + 4 = 1; б) х2 - 6х + 9 = 0; д) 3х2 - х- 2 = 0; в) 9х2 - 49 = 0; е) 6х2 - 5х + 1 = 0
укажите рациональный способ решения, заполняя таблицу
| Способ решения уравнения | Уравнения | |||||
| а | б | в | г | д | е | |
| По общей формуле корней уравнения | ||||||
| По формуле корней уравнения с четным вторым коэффициентом | ||||||
| Разложением на множители левой части уравнения | ||||||
| Извлечением квадратного корня из - с | ||||||
| Приведением уравнения к виду (nx + m)2=k | ||||||
| C использованием теоремы Виета | ||||||
V. Решение уравнений.
Учащимся раздаются карточки с таблицей. Такая же таблица вывешивается в классе.
Задание: решить уравнения и отметить, на какие факты теории пришлось опираться при решении каждого из уравнений.
Каждое уравнение решается фронтально. При обсуждении решения в соответствующих клетках таблицы проставляются крестики
- Тождества сокращенного умножения.
- Сложение алгебраических дробей.
- Условие равенства дроби нулю.
- Основное свойство пропорции.
- Разложение на множители.
- Сокращение дробей.
- Перенос слагаемых из одной части в другую.
- Преобразование произведения (суммы) многочленов в многочлен стандартного вида.
Решение квадратных уравнений
| Уравнения | 1 | 2 | 3 | 4 | 5 | 6 | 7 | 8 |
| х2- 22х + 25 = 2х2 - 20х + 1 | ||||||||
| (х +1)2 = 3(х + 7) | ||||||||
| (х + 5)2 + (х - 2)2 + (х - 7)(х + 7)= 11х + 30 | ||||||||
После решения всех уравнений и заполнения таблицы делается вывод, что для решения квадратных уравнений недостаточно владеть соответствующими формулами, необходимо еще и знать ряд других факторов.
VI. Самостоятельная работа по группам.
С помощью мультимедийного проектора дается задание:
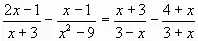
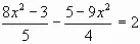
| 1 группа | 2 группа | 3 группа |
| 1. 2х2 - 3х =0 | 1. При каких значениях х трехчлены 3х2-х+1 и 2х2+5х-4 принимают равные значения и найдите эти значения | 1. х2+|х|-6= 0 |
| 2. 16х2 - 49=0 | 2. 13х2 - 5|х| =0 | 2. ( |
| 3. 3х2 + 13х - 10 =0 | 3. |
3. При каком значении а один из корней уравнения ах2-3х-5=0 равен 1? |
| 4. х2 - 16х + 63 =0 | 4. |
4. Найдите значения переменной у, при которых : сумма дробей |
| 5. |
5. При каком значении х значение функции
у = |
5. Найдите корни уравнения
|
Учащиеся распределяются по группам в соответствии со своими знаниями, учитывается желание учеников при выборе уровня.
IV. Итог урока.
- Выставление оценок за урок.
- Беседа с учащимися о пробелах в знаниях, рекомендации учителя над чем еще поработать, получили ли удовлетворение от проделанной работы или нет.
- Задание на дом.