Измерение скорости света
Тема: “Измерение скорости света”
Цели урока:
- Исследовать проблему: “Как измеряли скорость света в земных условиях”.
- Дать понятие астрономического и лабораторных методов измерения скорости света.
- Рассмотреть современные способы измерения скорости света.
Оборудование: схемы опытов по измерению скорости света, таблицы, раздаточный материал.
Учебные задачи:
- Исследовать проблему: “Свет – это добро или зло?” (домашнее исследование)
- Исследовать, почему измерение скорости света в земных условиях долгое время оставалось невыполнимой задачей.
Что уметь:
Решать задачи по данной теме.
Вступление:
Учитель: Свет – это величайшая ценность, которой одарила нас природа, это необходимое условие существование растений, животных и человека..
Как наша прожила планета
Как люди жили бы на ней
Без теплоты, магнита, света
И электрических лучей?
А. Мицкевич.
Молюсь оконному лучу –
Он бледен, тонок, прям.
А. Ахматова.
Учитель. Но так ли полезен свет? В каких случаях свет несет в себе зло? Что такое свет. Проверка исследовательской домашней работы.
Домашнее задание дается за 2-3 недели до этого урока.
Выступление учащихся по домашнему заданию.
Учитель помогает учащимся в поиске материала по данной проблеме:
Например, можно порекомендовать следующий материал:
За 1 с свет приносит на Землю столько энергии, сколько бы ее выделилось при сгорании 40 млн тонн каменного угля.
За счет солнечной энергии поддерживается средняя годовая температура на Земле около 150 С, а также осуществляется непрерывной круговорот воды в природе. Вся жизнь на земле – жизнь растений и животных зависит от Солнца. В растениях происходит превращение солнечной энергии в химическую энергию. Осуществляется фотосинтез.
Среди процессов, сопровождающих распространение света, важным для жизни человека является фотосинтез углеводов.
К.А. Тимирязев, которому принадлежат классические работы по фотосинтезу, говорил: “Едва ли какой процесс, совершающийся на поверхности Земли, заслуживает в такой степени всеобщего внимания, как тот далеко еще не разгаданный процесс, который происходит в зеленом листе, когда на него падает луч Солнца”. С химической точки зрения этот процесс, в котором неорганическое вещество, углекислота и вода превращается в углеводы – вещество органическое. В свою очередь, образовавшиеся углеводы служат для дальнейшего синтеза белков – процесса, происходящего только в растениях, а также растительных жиров.
Образовавшиеся углеводы, жиры и белки используются самим растением либо непосредственно или через промежуточные звенья служат пищей для всех живых организмов. Одна из возможных реакций фотосинтеза описывается формулой:
Е+6СО2+6Н2О —>С6Н12О6 + 6О2
Где Е – энергия света
Т.е. углекислота воздуха и вода под действием энергии света превращается в углеводород С6Н12О6 и кислород О2. Свет разрывает прочную связь, соединяющую кислород с углеродом в углекислоте и возникает углеводород, который способен к дальнейшему окислению при сгорании в печах или организмах животных. Реакция идет за счет поглощения растениями энергии излучения, принадлежащей к видимому диапазону волн. Лучше всего растением поглощаются красные и синие лучи.
Известно, что синий цвет является лечебным светом и наши бабушки лечили с помощью ламп синего цвета туберкулез, воспаления, ушибы и даже имеются сведения о лечении рака кожи даже сегодня! Например, чтобы не было синяка при ударе, надо осветить ушибленное место одну минуту лампой синего цвета. Тем более, что все дизайнеры сегодня рекомендуют клеить синие обои в спальнях, так как холодная синева действует успокаивающе на нервную систему, способствует глубокому сну.
Созданы солнечные батареи. В некоторых жарких странах уже созданы электромобили – автомобили, движущиеся за счет солнечной энергии.
Все это хорошо, но свет несет в себе и зло. Еще наши далекие предки заметили, что яркий солнечный свет не очень приятен и полезен глазам. В гробнице фараона Тутанхамона археологи обнаружили устройство, отдаленно напоминающее современные затемненные окуляры. Это изобретение египетских ремесленников представляло собой два тончайших спила изумруда, соединенных бронзовыми пластинками на манер оправы. В ХVI веке "очковых дел мастера", дабы усилить светопоглощающий эффект стекла, добавляли в него толченые драгоценные камни: изумруд, рубин и сапфир. Такую дорогую безделушку могли себе позволить только самые богатые клиенты ювелирных домов. Эскимосы же в попытке защитить глаза от слепящего солнца придумали более доступный метод: они носили вырезанные из кости щитки с узкими прорезями для глаз, заметно ограничивающие поток света. Эволюционирование солнцезащитных очков сделало их более полезным и доступным атрибутом. В наши дни в силу объективных причин солнцезащитные очки, защищающие от ультрафиолета, просто необходимы.
Лишь в полной темноте человеческий организм может вырабатывать мелатонин – гормон, который эффективно противостоит раку. Процесс автоматически прекращается, если рядом с человеком находится хотя бы слабенький источник света. Поэтому ночная темнота защищает организм человека от этого коварного заболевания. Ведь рак появился практически одновременно с изобретение электрического освещения. Поэтому используйте положительный эффект ночи – спите в полной темноте.
Фронтальный опрос:
Вопросы по закреплению ранее изученного материала (связь физики с литературой и биологией)
В стих. А.С. Пушкина есть строки:
“…Вдруг
Гром грянул, свет блеснул в тумане…”
Учитель: Явление, очень похожее на молнию. А что происходит сначала: мы слышим гром или видим свет от молнии?
В М.И. Булгакове “Мастер и Маргарита” есть следующий отрывок:
“Лицо Воланда было скошено на сторону, правый угол рта оттянут книзу, на высоком облысевшем лбу были прорезаны глубокие параллельные острым бровям морщины. Кожу на лице Воланда как будто бы навеки сжег загар”.
Учитель: Объясните, как происходит процесс загара кожи. Какой вид излучения отвечает за образование загара?
Ответ: загар кожи обусловлен биологическим действием ультрафиолетового излучения.
Учитель: Процесс загара – биологическое действие ультрафиолетовых лучей на кожу. При загаре кожа сначала краснеет и меняет затем через некоторое время окраску. Но биологическое действие ультрафиолетового излучения зависит от длины волны излучения. Только волны длиной от 400 до 315 мкм отличаются общеукрепляющим, закаливающим действием на организм.
Изучение новой темы:
Как же была измерена скорость света?
При объяснении нового материала на доске представлены схемы по опытам и у каждого учащегося имеются на столе мини-схемы опытов по измерению скорости света и таблица № 1
Гений XVII века Роберт Гук полагал, что скорость света слишком велика, чтобы ее можно было определить экспериментально, а астроном Иоганн Кеплер и математик Рене Декарт придерживались мнения Аристотеля, что скорость света бесконечно велика.
Первый, кто предложил способ измерения скорости света был Галилео Галилей (заслушать сообщение по данной теме и проанализировать, почему не удался эксперимент).
Познакомимся с ученым, которому первым удалось измерить скорость света – Оле Ремером.
Нужды расширяющейся торговли и возрастающего значения мореплавания побудили французскую Академию наук заняться уточнением географических карт, для чего, в частности требовался более надежный способ определения географической долготы. Оле Ремер – молодой датский астроном был приглашен работать в новую парижскую обсерваторию.
Ученые предположили использовать для определения парижского
времени и времени на борту корабля небесное явление, наблюдаемое
ежедневно в один и тот же час. По этому явлению мореплаватель или
географ мог бы поставить свои часы и узнать парижское время (см
формулу из астрономии
. Таким явлением видимым с любого места на море
или на суше является затмение одного из четырех больших спутников
Юпитера, обнаруженных Галилеем в 1609 г. Рассказ совместить с
иллюстрацией учебника – затмения спутника Ио. Спутник Ио проходил
перед планетой, а затем погружался в ее тень и пропадал из поля
зрения. Затем он опять появлялся как мгновенно вспыхнувшая лампа.
Промежуток времени между двумя вспышками составил 42 ч 28 мин.
Такие же измерения проведенные полгода спустя, показали, что
спутник опоздал появиться из тени на 22 мин по сравнению с момента
времени, который можно было рассчитать на основании знания периода
обращения Ио.
Вопрос классу: "Почему стало возможно это запаздывание?"
Рассказ о лабораторном методе французов Луи Физо и Леона Фуко..
Весной 1879 года газета “Нью-Йорк Таймс” сообщила: “На научном горизонте Америки появилась новая яркая звезда. Младший лейтенант морской службы, выпускник Морской академии в Аннаполисе Альберт Майкельсон, которому еще не 27 лет добился выдающегося успеха в области оптики: он измерил скорость света!” Примечателен тот факт, что на выпускных экзаменах в академии Альберту достался вопрос об измерении скорости света. Кто мог предположить, что через короткое время Майкельсон сам войдет в историю физики, как измеритель скорости света.
О скорости света размышляли и спорили еще с древних времен, но до Майкельсона только троим ученым (все они были французами) удалось измерить ее с помощью земных средств. До А. Майкельсона на американском континенте никто даже не пытался поставить этот трудный эксперимент.
Установка Майкельсона размещалась на двух горных
вершинах, разделенных расстоянием 35,4 км. Зеркалом служила
восьмигранная стальная призма на горе Сан Антонио в Калифорнии,
сама установка находилась на горе Маунт-Вильсон. После отражения от
призмы луч света попадал на систему зеркал, возвращающих его назад.
Для того чтобы луч попадал в глаз наблюдателя, вращающаяся призма
должна за время распространения света туда и обратно, успеть
повернуться хотя бы на 1/8 оборота. ![]()

Майкельсон писал: “То, что скорость света - является категорией, недоступной человеческому воображению, и что, с другой стороны, ее возможно измерить с необыкновенной точностью, делает ее определение одной из самых увлекательных
проблем, с которыми может столкнуться исследователь.
Наиболее точное измерение скорости света было получено в 1972 г. американским ученым К. Ивенсоном с сотрудниками. В результате независимых
измерений частоты и длины волны лазерного измерения ими было получено значение
![]()
Однако в 1983 г. на заседании Генеральной ассамблеи мер и весов было принято новое определение метра (это длина пути, проходимое светом в вакууме за 1/299792458 долю секунды), из которого следует что скорость света в вакууме абсолютно точно равна с=299 792 458 м/с
Вопросы для закрепления материала:
Какие способы измерения света мы сегодня изучили.
В чем заключается астрономический способ Ремера измерения света.
На чем основываются лабораторные способы измерения света.
Табл. № 1 “Измерение скорости света”
1676 г. – Оле Ремер – астрономический метод
с=![]()
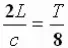
1849г. – Луи Физо – лабораторный метод
с=![]()
1862 г. – Леон Фуко – лабораторный метод
с=![]()
1879 г. Альберт Майкельсон – лабораторный метод
с=![]()
1972 г. К. Ивенсон – независимые измерения длины волны лазерного излучения
с=299792456,2±0,2 м/с
1983 г. Заседание Генеральной ассамблеи мер и весов
с=299792458 м/с
Работа по группам.
Далее учащиеся заполняют таблицу № 2 , которая имеется на доске, часть которой уже заполнена учителем. А также эта таблица имеется у каждого из учащихся. Работа по группам по 6-8 человек.
На ватмане некоторые группы заполняют колонку № 4 , а другие колонку № 5
Табл. № 2 “Измерение скорости света”
| Методы измерения скорости света | Как происходило исследование, когда и кем | Полученный результат | Сходство в методах измерения скорости света | Различия в методах измерения скорости света |
| 1.Астрономический метод
2. Лабораторный метод |
1676 г. Оле Ремер наблюдал затмение спутника
Юпитера Ио.
1849 г. Луи Физо, 1862 г. Леон Фуко измеряли скорость света, который проходил через вращающееся колесо и отражался от зеркал 1879 г. Майкельсон вместо колеса – восьмигранная стальная призма, которая находилась от зеркала на расстоянии 35,4 км 1972 г. К. Ивенсон измерял частоту и длину волны лазерного излучения |
2,22•108 м/с
3,12•108 м/с 3,001•108м/с 299792456,2±0,2м/с |
Затем учащиеся прикрепляют на доску свой ватман. Группа рассказывает о своих предположениях. Остальные заслушивают и вносят, если необходимо коррективы.
Учащимся для закрепления изученного материала предлагается решить следующие задачи на карточках:
С какой частотой нужно вращать восьмигранную призму в опыте
Майкельсона, чтобы за время прохождения луча света от призмы и
обратно призма повернулась на
оборота. Считать скорость света равной
с=3•108 м/с. Расстояние от призмы до зеркала 35 км.
Рассчитайте, за какое время свет проходит расстояние от Солнца до земли, равное примерно 15•107 км.
В конце урока проводится: рефлексия. Каждому учащемуся предлагается закончить одно из следующих предложений.
| Я сегодня на уроке узнал о… |
| Мне понравились на уроке моменты… |
| Я чувствую себя.. |
| Я хотел бы узнать по данной теме о.. |
| Мне не понравилось.. |
| У меня сейчас настроение.. |
| Я узнал на уроке новое о… |
| По данной теме мне хотелось бы узнать еще о… |
| Мне было сегодня на уроке.. |
| Мое состояние сейчас я оцениваю, как… |
| Я хотел бы изучить подробнее по данной теме следующие вопросы… |
| Данная тема была для меня… |
| Урок был… |
Д/задание: п. 40, заполнить таблицу № 2 .