Урок алгебры в 8-м классе на тему: "Преобразование двойных радикалов"
Цели урока:
Учебная:
1) Познакомить учащихся с понятием двойного радикала.
2) Научить преобразовывать двойные радикалы выделением полного квадрата подкоренного выражения и по формулам двойного радикала.
3) Развивать умения и навыки работы с квадратными корнями, выявить закономерности и обобщить учебный материал.
Развивающая:
1) Развитие внимания учащихся.
2) Развитие умения слушать товарища, доводить начатое дело до конца.
3) Развитие интереса к изучению алгебры и навыки самостоятельной и исследовательской работы.
Воспитывающая:
1) Воспитание чувства коллективизма.
2) Продолжить формирование чувства ответственности за результат работы.
1 этап работы. Организационный момент.
2 этап работы. Устный счёт.
а) Найти два последовательных натуральных числа, между которыми заключено число:![]()
б) Имеет ли смысл выражение:
![]()
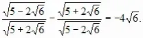
в) Упростите выражение:
![]()
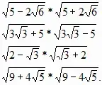
г) Выполни умножение:

Вводим понятие двойного радикала:
Выражения вида
и
называют двойными радикалами или сложными
радикалами.
Преобразовать двойной радикал - это значит избавиться от внешнего радикала.
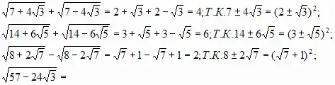
Обратим внимание, что во время устного счёта мы с вами уже преобразовывали двойные радикалы. Преобразование двойных радикалов произошло во время алгебраических действий с квадратными корнями.
Преобразовать выражение в тетради:
1) 
На этом примере мы убедились, что мы уже умеем преобразовывать двойные радикалы в процессе выполнения алгебраических действий.
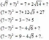
2) Вместо "?" поставить числа так, чтобы получилось верное равенство:

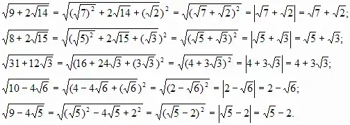
Преобразовать следующие выражения, используя формулы полного квадрата:

Вывод: Если подкоренное выражение представить в виде полного квадрата, то можно легко освободиться от внешнего радикала.
Работаем в тетрадях примерам 1;2;3;5 с листа контрольных заданий.

Последний пример пытаются выполнить и не получается.
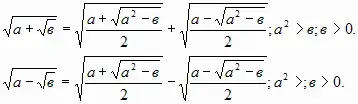
В тех случаях, когда подкоренное выражение нелегко представить в виде полного квадрата, можно использовать готовые формулы:

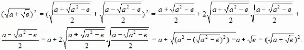
При данных условиях каждое подкоренное выражение не отрицательно. Докажем справедливость одной из формул.
Возведём обе части первого равенства в квадрат. Имеем:(доказывает ученик):

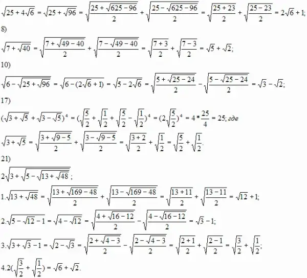
Применяя данные формулы решить примеры 7;8;10;17; 21 с листа контрольных заданий.
7) 
Вывод урока: преобразовать двойные радикалы можно
1) при выполнении алгебраических действий в некотором выражении, содержащем двойные радикалы.
2) приводя подкоренное выражение к полному квадрату;
3) по формулам сложного радикала.
Дома вы преобразуете двойные радикалы с контрольного листа разными способами.
Урок окончен. Спасибо всем за урок.
Контрольные задания к уроку.
