Тема: "Уравнение состояния идеального газа. Газовые законы"
Цели:
Установить зависимость между параметрами, определяющими состояние газа.
Сформулировать законы для изопроцессов в газе.
Задачи урока:
Образовательные:
- продолжить формирование понятия макросистемы;
- продолжить формирование умения объяснять законы с молекулярной точки зрения;
- изображать графики изопроцессов.
Развивающие:
- развитие познавательного интереса;
- развитие интеллектуальных способностей учащихся;
- развитие предметных и общенаучных умений и навыков;
- развитие навыков самообразования.
Воспитательные:
- формирование коммуникативных качеств, культуры общения;
- воспитание ответственности у учащихся не только за свои знания, умения, но и за знания каждого обучаемого.
План лекции; (на доске)
- вывод уравнения Менделеева - Клапейрона;
- газовые законы: изотермический
- изобарный;
- изохорный.
Ход урока
I. Организация учебной деятельности учащихся на уроке.
Сообщение темы, цели, задач урока. Стимулирование мотивации учебной деятельности при обучении.
II. Проверка знаний и умений.
Организация самостоятельной работы.
III. Изучение нового материала.
Изложение нового материала сопровождается показом фрагментов изопроцессов [3]
Учитель: (вопросы для повторения)
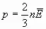
1. Основное уравнение МКТ имеет вид:
, где
.
2. Температура - мера средней кинетической энергии. Почему?
, ![]()
, измеряется в Дж, давно известно, что температура измеряется в
, а теперь мы знаем ,что и в К.
3. Как связана абсолютная шкала и шкала Цельсия? ![]()
Задача урока: охарактеризовать состояние идеального газа через макропараметры (p, V, T)
Учитель:
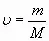
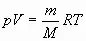
Запишем зависимость давления газа от концентрации молекул и температуры
подставляем вместо n
![]()
преобразуем
, ![]()
где
-универсальная газовая постоянная
![]()
-уравнение состояния идеального газа или уравнение Менделеева-Клапейрона.
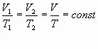
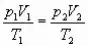
Из данного уравнения вытекает связь между давлением, объемом и температурой идеального газа, который может находиться в двух любых состояниях.
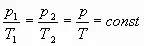
Рассмотрим систему , находящуюся в двух состояниях, с параметрами p, V, T.
Запишем уравнения для двух состояний.
![]()
поделим первое на второе
![]()
при
уравнение Клапейрона.
(Учащиеся самостоятельно делают вывод и формулируют определение).
Определение: при фиксированной массе отношение произведения давления и объема на температуру есть величина постоянная.
Учитель:
С помощью уравнения состояния идеального газа можно исследовать процессы, в которых масса газа и один из трех параметров - давление, объем или температура - остаются неизменными.
Определение: количественные зависимости между двумя параметрами газа при фиксированном значении третьего параметра называют газовыми законами (изопроцессамия).
Рассмотрим каждый из процессов
Изотермический процесс
(процесс изменения состояния термодинамической системы макроскопических тел при постоянной температуре) [3]
![]()
![]()
сформулируем определение. (учащиеся формулируют самостоятельно)
определение: для газа данной массы произведение давления на объем постоянна, если температура газа не меняется.- закон Бойля - Мариотта.
- изотерма, изображает обратно пропорциональную зависимость, график находится в первой четверти т.к. величины p,V
положительны.

Рис 1.
Вывод: (учащиеся самостоятельно по первому рисунку)
изотерма соответствующая более высокой температуре
, лежит на графике выше изотермы, соответствующей более низкой температуре
. Построим графики в координатах PT, VT.
Изобарный процесс.
(процесс изменения состояния термодинамической системы макроскопических тел при постоянном давлении). [3]
![]()
![]()

сформулируем определение.
Определение: для газа данной массы отношение объема к температуре постоянно, если давление не изменяется.
прямолинейная зависимость.- закон Гей-Люссака (1802г)

Рис. 2
Вывод: (самостоятельно по рисунку 2)
изобара соответствующая более высокому давлению
лежит на графике ниже изобары соответствующей более низкому давлению
. Построим графики в координатах PT, PV,Vt.
Изохорный процесс
(процесс изменения состояния термодинамической системы при постоянном объеме). [1]
![]()
![]()
![]()
сформулируем определение.
Определение: при данной массе газа отношение давление газа к температуре постоянно, если объем газа не изменяется.- закон Шарля (1787г.)
![]()

Вывод: изохора соответствующая большему объему
лежит ниже изохоры, соответствующей меньшему объему
.
Построим графики в координатах PV, VT, Pt.
IV. Повторение опорного конспекта.
V. Закрепление знаний.
решение задач. (см. приложение 2)
VI. Домашнее задание
§70,71 упр.13(1-7), конспект
Литература.
- Мякишев Г.Я. Физика: учеб. Для 11 кл. общеобразоват. учреждений / Г.Я. Мякишев, Б.Б.Буховцев. - 12-е изд. - М.: Просвещение, 2005.
- Сборники задач.
- CD - диск: Образовательная коллекция. Полный интерактивный курс физики. Физикон. "Открытая физика 1. 1" под. Ред профессора МФТИ С.М. Козелла.
