Урок в форме устного журнала "Пестрые картинки из разных стран". 5–6-е классы

22.03.2007

Цели урока:

  1. Знакомство с историей математики.
  2. Расширение кругозора и развитие интереса к предмету.
  3. Активизация познавательной деятельности учащихся.

Три пути ведут к знанию:
Путь размышления – самый благородный,
Путь подражания – самый легкий,
И путь опыта – это путь самый горький …
(Конфуций)

1. Вступительное слово.

В середине первого тысячелетия в Европе феодализм пришел на смену рабовладельческому строю. Возникают и укрепляются монархии. Христианство превращается в государственную религию. Центрами распространения знаний и просвещения сначала были монастыри, а позднее университеты. Общим языком ученых становится латынь.

В эпоху Возрождения (ХV – XVI вв.) в Европе появляется компас, порох, часы, бумага, книгопечатание. Повысилась роль математики. Если в начале средних веков математики в основном занимались астрологией и преследовались как колдуны и чернокнижники, то теперь они становятся в центре внимания.

“Числа управляют миром”, - говорили пифагорейцы. Это, конечно, мистика. Но числа дают возможность человеку управлять миром, и в этом нас убеждает весь ход развития науки и техники наших дней.

2. Чешская задача.

По преданию, основательница чешского государства принцесса Либуша обещала отдать свою руку тому из трех женихов, кто сумеет решить задачу: “Если бы я дала первому жениху половину слив из этой корзины и еще одну сливу, второму жениху половину оставшихся слив и еще одну сливу, а оставшиеся сливы поделила пополам и половину их и еще три сливы дала бы третьему жениху, то корзина опустела бы”.

Сколько слив в корзине?

Решение.

Пусть первоначально в корзине было х слив. Первый жених получил слив, второй - = + слив, третий - слив.

,

,

, , х = 30.

Ответ: 30 слив.

3. Италия.

Итальянский математик Леонардо Пизанский (1180 – 1240 гг.) имел прозвище Фибоначчи, т.е. “сын Боначчо” (Боначчо – добродушный) , родился в г.Пизе (откуда и название Пизанский). Математическое образование получил в Алжире. Путешествуя по Востоку, ознакомился с арабской математикой, достижения которой отразил в своих трудах и тем самым сделал их достоянием Запада. “Liber abaki” - основное сочинение ученого.

В предисловии к своему сочинению он писал: “Отец мой родом из Пизы, служил синдиком в таможне в Бужи, в Африке, куда он меня взял с собою для изучения искусства считать. Удивительное искусство считать при помощи только девяти индусских знаков мне так понравилось, что я непременно хотел познакомиться с тем, что известно об этом искусстве в Египте, Греции, Сирии, Сицилии и Провансе. Объехав все эти страны, яубедился, что индусская система счисления самая совершенная и превосходит алгоритм и метод Пифагора. Изучив основательно эту систему и все к ней относящееся, прибавив свои собственные исследования и почерпнутое из “Начал” Евклида, я решил написать это сочинение”.

“Liber abaki” представляет собой трактат по арифметике и алгебре, в котором дан свод арифметических и алгебраических знаний того времени, и состоит из 15 глав.

Решая задачу о капиталах нескольких лиц, предложенную придворным философом, Леонардо Пизанский впервые в Европе высказал идею отрицательного числа в виде долга.

Величайшая заслуга Леонардо Пизанского перед наукой заключается в том, что он первый познакомил европейских ученых с алгеброй и индийской системой счисления.

Задача Леонардо Пизанского.

Некто купил 30 птиц за 30 монет. Куропатки стоят по 3 монеты, голуби – по 2 и пара воробьев – по монете. Спрашивается, сколько птиц каждого вида.

Ответ: 3 куропатки, 5 голубей, 22 воробья.

4. Германия.

Великий художник и ученый эпохи Реформации в Германии Альбрехт Дюрер (1471 – 1528 гг.) специально для художников написал трактаты: “Наставление об измерении с помощью циркуля и линейки” и “О человеческой пропорции”. Дюрер много занимался геометрическими построениями, заложил основы ортогонального проектирования, дал правила перспективных построений, составлял магические квадраты.

К глубокой древности относится возникновение магических квадратов, т.е. квадратных таблиц натуральных чисел (п ? п), имеющих одну и ту же сумму чисел по всем строкам, столбцам, диагоналям. Наиболее ранние сведения о магических квадратах содержатся, по-видимому, в древних китайских книгах IV – V веков до н.э. Самым “старым” из дошедших до нас древних магических квадратов является таблица Ло-шу (2200 г. до н.э.). Название “магические” (волшебные, таинственные) квадраты получили от арабов. Люди верили, что магические квадраты обладают чудесными свойствами, и использовали их как талисманы.

Задача Альбрехта Дюрера.

Построить магический квадрат 4 ? 4 для натуральных чисел от 1 до 16, чтобы два числа в нижних средних клетках указывали на год создания талисмана (1514), а сумма чисел четырех центральных клеток образовывали магическую сумму (34).

Решение.

16 3 2 13
5 10 11 8
9 6 7 12
4 15 14 1

5. Франция.

Французский математик Жак Озанам (1640 – 1717 гг.) – автор занимательной

книги “Математические и физические развлечения”, которая выдержала много изданий, начиная с 1696 года. Предлагаем задачу из “Курса математики” Озанама.

Задача Озанама.

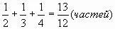
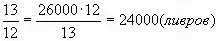
Трое хотят купить дом за 26000 ливров. Они условились, что первый даст половину, второй – одну треть, а третий – одну четверть. Сколько даст каждый?

Решение.

1). ;

2). : - составляют 12 частей;

3) 24000 - даст первый;

4) 24000 - даст второй;

5) 24000 - даст третий.

Ответ: 12000, 8000 и 6000 ливров.

6. Заключение.

Мы познакомились с некоторыми задачами из стран Средневековья. А сколько

их было известных и неизвестных, и не менее интересных? Италия, Франция, Германия, Чехия, Англия, Испания, Португалия вырастили не одно поколение знаменитых математиков. С некоторыми из них вы уже познакомились.

Ребята! Сделайте так, чтобы ваши способности к математике развивались, а не пропадали бесследно. И в математике ещё много неоткрытого, нового. Вам эти задачи и решать.

Как сказал один из великих математиков П.Л Чебышев: “В старину математические задачи задавали боги. Далее наступил второй период, когда задачи задавали полубоги: Ньютон, Эйлер, Лагранж. Теперь третий период, когда задачи задает практика”.

Так что дерзайте!


aid: 418784