Самостоятельная работа по теме "Рациональные уравнения"
8 класс (углубленный уровень, ФГОС ООО)
Вариант 1
1. Решите уравнение
2. Решите задачу с помощью уравнения
Лодка проплывает 24 км по течению реки на 1 час быстрее, чем против течения. Найдите собственную скорость лодки, если скорость течения реки равна 2 км/ч.
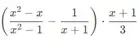
3. Упростите выражение и найдите его значение при x=3
4. Решите уравнение
5. Решите задачу с помощью уравнения
Два рабочих, работая вместе, выполняют работу за 6 часов. Первый рабочий, работая отдельно, может выполнить всю работу на 5 часов быстрее, чем второй. За сколько часов каждый рабочий выполнит работу самостоятельно?
Вариант 2
1. Решите уравнение

2. Решите задачу с помощью уравнения
Велосипедист проезжает 40 км по шоссе на 1 час быстрее, чем по грунтовой дороге. Найдите скорость велосипедиста по шоссе, если по грунтовой дороге он едет со скоростью на 4 км/ч меньше.
3. Упростите выражение и найдите его значение при x=2

4. Решите уравнение

5. Решите задачу с помощью уравнения
Две трубы, работая вместе, наполняют бассейн за 4 часа. Первая труба, работая отдельно, наполняет бассейн на 6 часов быстрее, чем вторая. За сколько часов каждая труба наполняет бассейн в отдельности?
Критерии оценивания:
- Задание 1, 4 (уравнения) – 2 балла (правильное решение и проверка ОДЗ).
- Задание 2, 5 (текстовые задачи) – 3 балла (составление уравнения, решение, проверка адекватности ответа).
- Задание 3 (упрощение выражения) – 2 балла (правильное упрощение и подстановка).
Максимальный балл: 12.
Оценки:
- 10–12 баллов – «5»
- 7–9 баллов – «4»
- 4–6 баллов – «3»
- Менее 4 баллов – «2»
Работа проверяет умение решать дробно-рациональные уравнения, составлять их по условию задач, а также упрощать алгебраические выражения.