Разработка урока по алгебре "Логарифм"
Скачать презентацию (8.36 МБ)
Цель: познакомить с понятием логарифма, научиться вычислять логарифмы, используя определение.
Ход урока
I. Оргмомент
II. АОЗ
1. an
- Как называется данная запись?
- Как называется переменная а? n?
- Что показывает n?
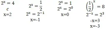
2. Какие уравнения записаны? Как их решать? Решите.

III. Постановка темы и цели урока
Заполните таблицу.

- Что будем находить? (Показатель степени, в которую необходимо возвести 2, чтобы получить 8)
При заполнении последний строки обучающимся предлагается разгадать ребус.
- Так как у нас с вами возникает трудность не только в записи, но и в названии математического понятия, то я предлагаю вам разгадать ребус, в котором скрыто понятие.

- Запишем в последнюю ячейку «Название» - логарифм.
Записывается в таблицу название.
- Запишите тему урока в рабочие листы.
- Какова цель нашего урока? (Узнать, что такое логарифм и научиться его находить/вычислять)
III. Изучение нового
- Ни для кого не секрет, что 16 век считается переломным для всей математики. Именно в это время, полностью усвоив достижения предшественников, математика несколькими мощными рывками вырывается далеко вперёд. И одним из таких рывком является открытие логарифмов.
Первооткрывателем логарифмов считается Д.Непер.
- Но с более подробной информацией о логарифмах мы познакомимся в конце урока.
- Итак, а теперь давайте вернемся к нашей таблице и заполним пустую ячейку.
- Попробуем вместе сформулировать определение логарифма.
Логарифмом положительного числа b по основанию a, где а > 0, а ≠0, называется показатель степени, в которую необходимо возвести а, чтобы получить b.
Определение логарифма можно записать и так: alogab = b.
Данное равенство называют основное логарифмическое тождество.
1) Вычислите:
- log216 = 4
- log21/2 = -1
- log22 =1
- log327 = 3
- log31/9 = -2
- log2√2 = 1/2
2) Вычислите:
- 7log75 = 5
- 16log165 = 5
- 1/8log83 = ((8log83)-1 = 3-1 = 1/3
V. Первичное закрепление
1) Работа по учебнику.
Выполняют задания письменно в тетрадях.
2) Работа на интерактивной доске.
- Расположите числа в порядке возрастания. Какие действия предварительно необходимо выполнить?
https://learningapps.org/watch?v=pxzv1ng3524
- Молодцы, ребята, вы хорошо усвоили понятие логарифма. А теперь я вам предлагаю поиграть в игру «Верю/не верю»
VI. Историческая справка
- Откройте ноутбуки и пройдите по ссылке https://learningapps.org/view38217382
- При работе с викториной необходимо заполнять диалоговое окно словами ВЕРНО или ЛОЖНО.
Игра «Верю-не верю» на платформе Learningsapp
|
Вопросы |
верю |
не верю |
|
|
1. |
Верите ли вы, что логарифмические таблицы верой и правдой служили не только инженерам, но и морякам и геодезистам? |
+ |
|
|
2. |
Верите ли вы, логарифмическая спираль - это плоская кривая линия, многократно обходящая одну из точек на плоскости? |
+ |
|
|
3. |
Верите ли вы, наша солнечная система закручена по логарифмической спирали? |
+ |
|
|
4. |
Верите ли вы, что игра на рояле никак не связана с логарифмами? |
+ |
|
|
5. |
Верите ли вы, что в живой природе тоже можно пронаблюдать логарифмическую спираль? |
+ |
|
|
6. |
Верите ли вы, что расположение семян подсолнуха происходит не по логарифмической спирали? |
+ |
После заполнения таблицы онлайн, учитель обсуждает с обучающимися каждое утверждение.
1. Данное утверждение, конечно же верно. На протяжении 16 века быстро возрастало количество приближенных вычислений, прежде всего, в астрономии. Многие работы требовали колоссальных, иногда многолетних, расчетов. Астрономам грозила реальная опасность утонуть в невыполненных расчетах.
Тогда математики для облегчения вычислений придумали логарифмы. И в 1614 году были опубликованы первые логарифмические таблицы, составленные шотландским математиком Джоном Непером (1550-1617), они верой и правдой служили астрономам и инженерам, геодезистам и морякам, сокращая время на вычисления.
2. И это утверждение тоже верно. Логарифмическая спираль - плоская кривая, описываемая точкой, движущейся по прямой, которая вращается около одной из своих точек (полюса) так, что логарифм расстояния движущейся точки от полюса изменяется пропорционально углу поворота.
Спираль эта имеет бесконечное множество витков и при раскручивании и при скручивании.
3. По логарифмическим спиралям закручены и многие галактики, в частности, Галактика, которой принадлежит Солнечная система.
- Задумывался кто-нибудь над вопросом, сколько звезд на небе?
- Одним из первых, кто попытался точно ответить на этот вопрос, был древнегреческий астроном Гиппарх. При его жизни в созвездии Скорпиона вспыхнула новая звезда. Гиппарх был потрясен: звезды смертны. Гиппарх составил свой звездный каталог. Он насчитал около тысячи звезд и разбил их по видимому блеску на шесть групп. В наше время существуют чувствительные приборы для световых измерении - это дает возможность точно определить блеск звезд. Зависимость распределения звезд от блеска выражается логарифмической функцией.
4. Номера клавишей рояля представляют собой логарифмы чисел колебаний соответствующих звуков. При этом номер октавы представляет собой целую часть (характеристику) логарифма числа колебаний этого тона, а номер звука в данной октаве, делённый на 12, - дробную часть (мантиссу) этого логарифма.
5. Живые существа обычно растут, сохраняя общее очертание своей формы. При этом они растут чаще всего во всех направлениях - взрослое существо и выше и толще детеныша. Но раковины морских животных могут расти лишь в одном направлении. Чтобы не слишком вытягиваться в длину, им приходится скручиваться, причем каждый следующий виток подобен предыдущему. А такой рост может совершаться лишь по логарифмической спирали или ее некоторым пространственным аналогам. Поэтому раковины многих моллюсков, улиток, а также рога таких млекопитающих, как архары (горные козлы), закручены по логарифмической спирали. Можно сказать, что эта спираль является математическим символом соотношения форм роста. Великий немецкий поэт Иоганн Вольфганг Гете считал ее даже математическим символом жизни и духовного развития.
6. Очертания, выраженные логарифмической спиралью, имеют не только раковины, в подсолнухе семечки расположены по дугам, также близким к логарифмической спирали, и т.д.
VII. Итог урока
- С каким новым понятием мы сегодня познакомились?
- Что такое логарифм?
- В каком году был введен лагорифм и каким ученым?
VIII. Рефлексия
- Наш урок я бы хотела закончить словами современника Непера Брига: «Своими новыми и удивительными логарифмами Непер заставил меня усиленно работать и головой и руками. Я надеюсь увидеть его летом, так как никогда не читал книги, которая нравилась бы мне больше и приводила бы в большее изумление». (Бриг является создателем первых таблиц десятичных логарифмов)
- Скажите, пожалуйста, испытали ли вы сегодня на уроке удивление, когда узнали про логарифмы?
- А теперь давайте проведем рефлексию урока с помощью приложения Qizziz.
Для этого приготовьте, пожалуйста, свои QR-коды.
https://quizizz.com/admin/quiz/675576f85a5eb55804ac0dd6?source=quiz_share
- Посмотрите, на наши результаты работы! Спасибо вам за такой плодотворный урок!
IX. Домашняя работа
с.91 определение, 267, 268, 271, 275.