Урок по теме: "Системы уравнений с двумя переменными". 9-й класс
Цели урока:
- Выявить качество знаний учащихся по теме "Системы уравнений с двумя переменными".
- Проверить:
-
а) знание способов решения систем уравнений;
б) умение применить эти знания к решению задач.
- Воспитывать сосредоточенность, целеустремленность. Развивать внимание.
Оборудование урока:
- Индивидуальные карточки обратной связи.
- Карточки-задания.
Сегодня мы проводим урок-зачет по теме "Системы уравнений с двумя переменными". Вы должны показать на уроке знания и умения решать системы уравнений и решать задачи с помощью систем второй степени. От вас требуется сосредоточенность, максимум внимания. Сейчас ассистенты раздадут вам карточки №1 (учитель составил 3 варианта этих карточек) с условиями пяти заданий обязательного уровня трудности. Решение этих заданий обеспечивает оценку "3" (если кто-либо не решит хотя бы одно из заданий, это приведет к "незачету").
Решив задания из карточки №1, каждый, кто претендует на оценку "4" или "5" получает карточку №2 с дополнительными заданиями (более высокой сложности). Все зачетные задания решаются в тетрадях. Решив задания карточки №1, заполните выданную карточку обратной связи, где помещены ответы всех заданий карточки №1 и сдайте ее.
Карточка обратной связи работает по принципу карточки спортлото: нужное зачеркнуть.
Учащиеся зачеркивают те числа, которые оказались ответами к решенным ими заданиям.
Карточка обратной связи имеет вид:
| (- 2; 5) | (5; - 2) | (1; 3) | (- 6; 22) | (- 3; - 1) |
| (- 1; - 6) | (3; - 5) | (1; - 2) | 10 м; 12 м | (- 2; 1) |
| (- 2; - 3) | (2; 0) | (- 2; 4) | (6; - 4) | 5 см; 12 см |
| (2; - 1) | (- 3; 2) | (- 6; 2) | (3; 2) | (- 8; 55) |
| (- 1; - 5) | (2; - 5) | (1; 1) | (- 3; 5) | (- 8; 12) |
Все внесенные в нее числа являются ответами к заданиям того или иного варианта. В этом смысле карточка универсальна: ее может использовать ученик, работающий над заданиями любого из трех вариантов. В каждом из вариантов будут вои зачеркивания. Ученики, решившие задания карточки №1, сдают карточки обратной связи учителю, получив взамен карточку №2. Задания карточки №2 решаются в тетрадях с подробным объяснением. В конце урока тетради сдаются на проверку.
Учитель, проверяя карточки обратной связи (они подписаны учащимися с обратной стороны), вкладывает карточку с неправильно решенным хотя бы одним заданием обязательного уровня в тетрадь ученика, не проверяя задания карточки №2. На следующем уроке проводится работа над ошибками. Ученики, получившие оценки "4" или "5", решают задачи повышенной трудности. Кто не справился с заданиями карточки №1, после консультации учителя получает новую карточку обязательного уровня, решив ее, получает оценку "3".
Практический материал зачета
I. Зачетные карточки-задания №1 (стандарты)
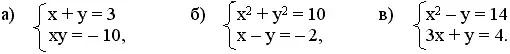
Вариант №1
1. Решите систему уравнений:

2. Вычислите координаты точек пересечения графиков функций: у = - 3 - х2 и у = 4х - 1.
3. Решите задачу:
Одна из сторон прямоугольника на 2 см больше другой, а диагональ равна 10 см. Найдите его стороны.
Вариант №2
1. Решите систему уравнений:

2. Вычислите координаты точек пересечения графиков функций: у = х2 - 4 и у = 2 - х.
3. Решите задачу:
Найдите стороны прямоугольника, если его площадь равна 120 м2, а периметр равен 44 м.
Вариант №3
1. Решите систему уравнений:

2. Вычислите координаты точек пересечения графиков функций: у = 2х - 4 и у = 2х2 - 8.
3. Решите задачу:
Произведение двух положительных чисел равно 96. Одно число больше другого на 4. Найдите эти числа.
II. Зачетные карточки-задания №2 (дополнительные задания)
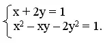
Вариант №1
1. Решите систему уравнений:

2. Решите задачу:
Какой может быть длина и ширина кабинета математики, если площадь пола на 29 больше суммы длины и ширины, а если к длине прибавить удвоенное произведение ширины, то получится 19 м.
Вариант №2
1. Решите систему уравнений:

2. Решите задачу:
Одна машинистка может перепечатать рукопись на 3 часа быстрее другой. При совместной работе им потребовалось бы затратить на перепечатку рукописи 6 2/3 часа. Сколько времени потребуется каждой машинистке, чтобы перепечатать рукопись?
Вариант №3
1. Решите систему уравнений:

2. Решите задачу:
Из Междуреченска в Кемерово, расстояние между которыми 300 км, выехали два автомобиля. Через 3 часа первый из них был в Ленинске-Кузнецком, а второй в Белово. Найдите скорость каждого автомобиля, если известно, что на весь путь первый автомобиль затратил на 20 минут меньше, чем второй, а расстояние от Белово до Ленинска-Кузнецкого 30 км.