"Квадратные корни" (математический марафон). Внеклассное занятие в 8-м классе
Цель внеклассного мероприятия:
Продемонстрировать: силу ума, отвагу, настойчивость, сосредоточенность, работоспособность, концентрацию мысли, выносливость, волю к победе, умения распределять свои силы на длительную дистанцию, используя знания, умения и навыки по теме: "Квадратные корни".
Расширение общего кругозора.
План занятия:
План самоопределения, самореализации и самопознания.
Историческая справка.
Старт.
Марафонская дистанция.
Финал.
Рефлексия.
Ход занятия:
I-я ведущая:
Наш марафон интеллектуальный, т.е. это будет длительное состязание ума, рассудка, разума, мыслительной способности гимназистов 8-х классов по теме: "Квадратные корни".
II-я ведущая:
Каждый будет двигаться по всей дистанции своим темпом, применяя свои знания, умения, навыки по теме "Квадратные корни", а также используя свою силу, отвагу, настойчивость, сосредоточенность, работоспособность, концентрацию мысли, выносливость, волю к победе, умения распределять свои силы на длительной дистанции.
I-я ведущая:
Сейчас каждый участник марафона составит план самореализации, самоопределения и самопознания:
Почему ты решил принять участие в математическом марафоне по теме "Квадратные корни"?
Какую учебную цель ты перед собой ставишь?
Какие личностные качества тебе в ходе марафона будут помогать?
Составь стратегический план своей работы?
Какой тактики при достижении стратегической цели ты предполагаешь придерживаться?
II-я ведущая:
Добро пожаловать на наш праздник!
I-я ведущая:
Историческая справка:
МАРАФОНСКИЙ БЕГУН.
Это произошло почти 2500 лет тому назад. Шёл 490-й год до нашей эры. Персия напала на Грецию. Персидская армия, переплыв Эгейское море, высадилась на марафонской равнине. Смертельная опасность нависла над Афинами - центром культуры того времени. Завязался длительный, тяжёлый бой.
Греческая армия победила!
Чтобы оповестить жителей города Афин, столицы Эллады, о победе, с поля боя был послан воин. Ему приказали бежать как можно быстрее.
Пробежав весь путь от Марафона до площади города, где жители Афин ждали вестей с поля боя, гонец сообщил радостную весть о победе, упал и умер: сердце не выдержало.
В честь этого воина в 1896 году на I-х Олимпийских играх было устроено соревнование по бегу между Афинами и Марафоном.
С тех пор проводятся соревнования по марафону на расстояние 42 км. 195 м.
После соответствующих подготовительных тренировочных занятий спортсмены пробегают его без опасных для себя последствий.
"Детская энциклопедия", М. "Педагогика", 1974г.
I-я ведущая:
Основная заповедь марафона: не сойти с дистанции…
В процессе преодоления дистанции на траектории своего движения вы будете оставлять вехи в виде решения задач, результаты которых, после проверки, будут заноситься на табло. Пустая графа будет означать либо нерешённое, либо незачтенное задание.
Развитие событий на марафонской дистанции "Квадратные корни" будет отражаться на табло:
Летопись хроники событий будут вести представители прессы и ведущие марафона:
1. …
2. …
II-я ведущая:
Желаем всем успехов!
Ждём Вас на финише с присуждением звания
"Математический интеллектуал"!
I-я ведущая:
Всем на старт!
Внимание!
Время пошло!
ЗАДАНИЯМатематического марафона в 8-м физмат классе по теме "Квадратные корни".
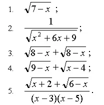
При каких значениях переменной определены выражения:
Привести к рациональному виду знаменатель:
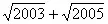
Сравнить выражения:
8.
и
;
9.
и
.
Формула двойного радикала:
10.
…
Вынести выражение из-под корня:
11.
;
.
Внести под знак радикала:
12. (1-
)
13.
.
Привести к рациональному виду числитель:
14.
.
Доказать неравенство:
15.
.
I-я ведущая:
Наш марафон финиширует.
Все трудились усердно. Никто не сошёл с дистанции.
Финишную черту преодолели учащиеся:
…
II-я ведущая:
Пока подводятся окончательные итоги марафона проведём рефлексию своей работы.
Нарисовать своё настроение на начало занятия и на его конец.
Какой этап занятия тебе был самым интересным в познавательном плане?
На каком этапе занятия ты почувствовал эмоциональный подъём?
Какой этап урока тебе показался скучным?
Поставь оценку себе за занятие, можно с комментариями?
Поставь оценку работе всего класса за занятие, можно с комментариями?
Какие цели познавательного типа ты можешь на сегодня перед собой поставить по развитию данной темы?
Какие задачи, которые ты поставил перед тобой в начале занятия, успешно реализовались, благодаря чему?
Что из ожидаемого не удалось, почему?
Укажи, какую помощь, поддержку для успешной самореализации по данной теме ты хотел бы получить извне: от родителей, товарищей, учителей, библиотеки и т.д.
I-я ведущая:
За особые успехи, проявленные на марафонской дистанции, присваивается звание "Математический интеллектуал" и награждаются медалями математического марафона:
…..
II-я ведущая:
Всем спасибо за ударный труд!
До следующих встреч!
До свидания!


