20.05.2024
Математика
+ ещё 1
Билеты к зачету по математике в 10-м классе
поделиться
Билеты к зачету по математике в 10-м классе
Билет 1
- Арифметический корень натуральной степени (определение, примеры) и его свойства.
- Знаки синуса, косинуса, тангенса и котангенса
- Взаимное расположение прямых в пространстве.
Параллельные прямые Скрещивающиеся прямые (определение). - Решить уравнение

- Боковое ребро правильной треугольной пирамиды равно 5 см, а сторона основания равна 6 см. Найдите площадь боковой поверхности пирамиды
Билет 2
- Степень с рациональным показателем (равенство, примеры) и её свойства
- Зависимость между синусом, косинусом и тангенсом одного и того же угла.
- Пирамида, ее основание, боковые ребра, высота. Правильная пирамида.
- Решить неравенство

- Основание пирамиды - прямоугольный треугольник, катет которого равен 40 м, а гипотенуза равна 41 м. Высота пирамиды равна 20 м. Найдите объем пирамиды.
Билет 3
- Степенная функция с натуральным показателем, её свойства и график.
- Синус, косинус, тангенс и котангенс углов α и - α
- Взаимное расположение прямых в пространстве. Угол между двумя прямыми в пространстве.
- Вычислить:

- Высота правильной четырехугольной пирамиды равна 4 см, а апофема образует с высотой угол в 45°. Найдите площадь боковой поверхности пирамиды.
Билет 4
- Степенная функция с целым отрицательным показателем, её свойства и график
- Формулы сложения.
- Параллельность прямой и плоскости (признаки и свойства
- Решить уравнение

- Все ребра правильной треугольной пирамиды равны 4 см. Найдите высоту такой пирамиды.
Билет 5
- Степенная функция с действительным нецелым показателем, её свойства и график
- Синус, косинус и тангенс двойного угла.
- Перпендикулярность прямой и плоскости (признаки и свойства).
- Решить неравенство:

- Площадь полной поверхности куба равна 24 см2. Найдите его объем.
Билет 6
- Решение дробно-рациональных неравенств методом интервалов на примере неравенства
. - Формулы понижения степени
- Перпендикуляр и наклонная. Угол между прямой и плоскостью.
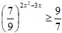
- Решить уравнение:

- Боковые ребра правильной четырехугольной пирамиды равны 13 см, а диагональ основания равна
см. Найти высоту пирамиды.
Билет 7
- Алгоритм решения простейших уравнений и неравенств с модулем на примере
а) │2 - х│ = 3,
б) │4 - 3 х│ = - 5,
в) │12 + х│ > 3,
г) │1 - 3 х│< 5. - Формулы приведения.
- Перпендикуляр и наклонная. Теорема о трех перпендикулярах.
- Упростить выражение
и найти его значение при
. - Сторона основания правильной четырехугольной пирамиды равна 24 м, боковое ребро равно 13 м. Найдите площадь поверхности пирамиды.
Билет 8
- Алгоритм решения уравнений с модулем на примере │2 - х│ + │3х + 12│ = 7
- Сумма и разность синусов. Сумма и разность косинусов.
- Параллельность плоскостей (признаки и свойства).
- Вычислить:

- Стороны основания прямоугольного параллелепипеда равны 2 см и 3 см, а диагональ равна 7 см. Найдите площадь полной поверхности прямоугольного параллелепипеда.
Билет 9
- Иррациональные уравнения, их виды и способы решения.
- Решение уравнения sin x = а. Арксинус.
- Перпендикулярность плоскостей (признаки и свойства).
- Доказать тождество

- Боковое ребро правильной четырехугольной призмы АВСАD1В1С1D1 равно 6√3 м, а сторона основания равна 6 м. Найдите угол между прямыми АВ1 и СD1.
Билет 10
- Показательная функция, её свойства и график
- Решение уравнения cos x = а. Арккосинус
- . Расстояние от точки до плоскости. Расстояние между прямой и параллельной ей плоскостью. Расстояние между параллельными плоскостями.
- Решить уравнение

- Стороны АВ и АD основания прямоугольного параллелепипеда АВСАD1В1С1D1 равны 6 м и 8 м, угол между диагональю АС1 параллелепипеда и плоскостью основания равен 45°. Найдите синус угла между прямой АС1 и плоскостью АВВ1.
Билет 11
- Логарифмическая функция, её свойства и график
- Решение уравнений tg x = а. Арктангенс.
- Призма, ее основания, боковые ребра, высота. Прямая и правильная призмы.
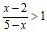
- Решить уравнение

- Диагональ куба равна 2√3 м. Найдите площадь его полной поверхности.
Билет 12
- Логарифм числа. Основное логарифмическое свойство. Десятичные и натуральные логарифмы.
- Решение тригонометрических неравенств вида sin x > а, sin x < а.
- Площади боковой и полной поверхности призмы.
- Решить неравенство

- Площадь боковой поверхности правильной треугольной пирамиды равна 27 дм2, а периметр основания равен 18 дм. Найдите высоту пирамиды.
Билет 13
- Свойства логарифмов. Формула перехода к другому основанию
- Решение тригонометрических неравенств вида cos x > а, cos x < а.
- Параллелепипед. Куб (определения, свойства ребер, граней).
- Решить уравнение

- Концы бокового ребра правильной треугольной призмы удалены от противолежащей этому ребру стороны основания на 2√3 м и 4√3 м. Найдите площадь боковой поверхности призмы.
поделиться