Урок математики в 6-м классе по теме: "Решение задач с помощью пропорций"
Тип урока: комбинированный.
Цели урока:
- научить учащихся выделять в условиях задач две величины;
- устанавливать вид зависимости между ними;
- научить их делать краткую запись условия задачи и составлять пропорцию;
- развить воображение, математическую интуицию, память, мышление, сформировать правильную математическую речь;
- активизировать познавательную и творческую активность учащихся.
Оборудование: плакаты, индивидуальные карточки, сигнальные карточки
ХОД УРОКА
Организационный момент
- Проверка готовности класса к уроку;
- Сообщение темы и цели урока.
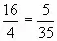
Устные задания (тест с использованием сигнальных карточек):
Найти отношение:
а)
[8]; б)
[6].
Верна ли пропорция:
а)
[2]; б)
[1].
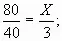
3. Решить пропорцию:
а) 12,5:Х = 1,2 : 0,6 [4]
б)
[0]
Ответы: 1) да; 2) нет; 3) 2; 4) 6,25; 5)
; 6)
; 7)12,05; 8)
; 9)
; 0) ?.
Вопросы:
- Что называется отношением двух чисел?
- Что показывает отношение двух чисел?
- Что такое пропорция?
- Сформулируйте основное свойство пропорции?
Решение задач
На предыдущем уроке учащимся были введены понятия прямой и обратной пропорциональности, отработаны данные понятия на задачах. На данном уроке решаем задачи с помощью пропорций. Рассматриваемые задачи - это задачи с целыми значениями величин, отношение которых тоже целое число. Для этого составляем краткую запись условия задачи. В процессе устного обсуждения выделяем 2 величины, устанавливаем вид зависимости. Уменьшение величины показываем стрелкой вниз, а увеличение - стрелкой вверх. Затем составляем пропорцию и решаем её.
1. За 6 ч поезд прошел 480 км. Какой путь прошел поезд за первые 2 ч, если его скорость была постоянна.
Решение.
I способ ("по-старому").
1) 480 : 6 = 80 (км/ч)
2) 80 • 2 = 160 (км)
II способ
Составим краткую запись условия задачи:

Краткая запись заранее оформляется на плакате. В процессе устного обсуждения выясняем, что время и путь уменьшились в одно и то же число раз, так как при постоянной скорости эти величины прямо пропорциональны.
Затем, составляем пропорцию и решаем её:
; Х= 160 (км)
2. Для варки варенья из вишни на 6 кг ягод берут 4 кг сахарного песку. Сколько килограмм сахарного песку надо взять на 12 кг ягод? [8 кг]. (Задача дается на самостоятельное решение, но перед этим устное обсуждение задачи).
3. Расстояние между городами пассажирский поезд прошел со скоростью 80 км/ч за 3 ч. За сколько часов товарный поезд пройдет то же расстояние, со скоростью 40 км/ч?
Решение.

В процессе устного обсуждения выясняем, что скорость уменьшилась, а время увеличилось в одно и то же число раз, следовательно, эти величины при одном и том же расстоянии являются обратно пропорциональными.
![]()
(ч)
4. Пять маляров могли бы покрасить забор за 8 дней. За сколько дней покрасят тот же забор 10 маляров? [4 дня] (Для самостоятельного решения).
В этой задаче предполагается, что все работники трудятся с одинаковой производительностью. Для того, чтобы учащиеся лучше освоили прием составления пропорций, постоянно задаём вопрос: "Во
сколько раз увеличилась (уменьшилась) первая величина?". Тогда число, дающее ответ, будет находиться делением большего значения величины на меньшее (в направлении стрелок).
Чтобы у учащихся не сложилось впечатление, будто зависимость бывает только двух видов - прямой или обратной пропорциональностью, - рассматриваем провокационные задачи, в которых зависимость имеет
другой характер.
5.
1) За 2 ч поймали 12 карасей. Сколько карасей поймали за 3 ч?
2) Когда Вася прочитал 10 страниц книги, то ему осталось прочитать ещё 90 страниц. Сколько страниц ему останется прочитать, когда он прочитает 30 страниц?
Затем, рассматриваем задачу, в которой зависимость между величинами часто принимают за прямую пропорциональность.
6. * Пруд зарастает лилиями, причём за неделю площадь, покрытая лилиями, удваивается. За сколько недель пруд покрылся лилиями наполовину, если полностью он покрылся лилиями за 8 недель? [7 недель]
IV. Задача на смекалку (на "совместную работу").
За пять недель пират Ерёма
Способен выпить бочку рома.
А у пирата у Емели
Ушло б на это две недели
За сколько дней прикончат ром
Пираты, действуя вдвоем? [10 дней]
V. Задание на дом
1) В 100 граммах раствора содержится 4 грамма соли. Сколько граммов соли содержится в 300 граммах раствора?
2) 4 комбайна могут убрать пшеницу с поля за 10 дней. За сколько дней уберут это поле 8 комбайнов?
3) Три петуха разбудили 6 человек. Сколько человек разбудят пять петухов?
4) По учебнику № 803 (а).
VI. Подведение итогов урока