Урок-игра "Победитель простых чисел - П.Л. Чебышёв и его труды"

12.03.2007

В игре участвовали три команды по 6 человек. Команда, которая первой правильно решила предложенную задачу, получает 3 балла, второй - 2 балла, третьей -1 балл. Выигрывает команда, набравшая наибольшее количество баллов. Вся игра сопровождается мультимедийной презентацией.

Детство П. Л. Чебышёва

В мае 2006 года исполнилось 185 лет со дня рождения выдающегося русского математика П. Л. Чебышёва <Рисунок1>.

О детстве Чебышева сохранились весьма скудные сведения. Родился в мае 1821 года в сельце Окатово Калужской губернии <Рисунок2>, в семье помещика. Почему новорожденного назвали редко встречающимся именем Пафнутий, трудно сказать. Вероятно, потому, что недалеко от Окатова находился Пафнутьев монастырь, чтимый родом Чебышевых.

Отец будущего математика, Лев Павлович, в двадцать лет был лихим кавалерийским корнетом, участвовал в сражениях против французов. Потом вышел в отставку, поселился в своём имении и занялся хозяйством. Мать, Аграфена Ивановна, была женщиной строгой и властной.

Детство Пафнутия прошло в старом огромном доме. Комнат в нём было бесчисленное множество, а длинные полутёмные коридоры по вечерам внушали мальчишкам благоговейный страх, который утром казался им смешным и нелепым. Дом этот дряхлел год от году, потом его разобрали и построили новый. А на месте, где он стоял почти полтора века, Пафнутий Львович с младшими братьями установят потом громадную гранитную глыбу, на которой высекут слова: «Здесь у Льва Павловича и Аграфены Ивановны Чебышевых родилось пятеро сыновей и четыре дочери». Камень и сейчас там стоит.

Грамоте Пафнутий научился у матери (и нет сомнения в том, что она была суровым учителем), а арифметике у двоюродной сестры Сухаревой, девушки весьма образованной. Пафнутий резко отличался от других детей его лет. С самого раннего детства он предпочитал всем играм и забавам сидеть за столом, решать задачи, считать. Едва выучив цифры, он целые часы проводил за своими тетрадями с задачами и решал их одну за другой. Даже строгая мать, порой прогоняла его погулять в саду. Послушный мальчик отправлялся в сад, но и там продолжал заниматься любимым делом – счётом: разложит на земле камешки, считает, сколько их в каждом ряду, потом опять переложит, сам придумывает разные, иногда очень забавные задачи.

Уединённому и равнодушному отношению к шумным играм, видимо, способствовал физический недостаток: с детства у Чебышева одна нога была сведённой, он немного хромал. Это обстоятельство, несомненно, отразилось на складе его характера и доставило немало горя. Вынуждая избегать детских игр, заставляя больше сидеть дома.

Первоначальное систематическое образование Чебышев получил в семье. Математике его учил Платон Николаевич Погорельский, считавшийся одним из лучших педагогов Москвы того времени. Погорельский держал учеников в самом строгом подчинении. Но он хорошо знал математику и умел излагать свой предмет в самой ясной и общедоступной форме. Именно он посеял в сознании Чебышева первые семена любви к математике как к науке, к сжатому, ясному и доступному её изложению. Самые сложные задачи, которые обычно ставят в тупик многих сильных учеников, Пафнутий решал легко и свободно, а с трудными задачами просиживал по нескольку дней, находя особое удовольствие в их решении.

Латынь – один из самых главных предметов в девятнадцатом веке – Пафнутию преподавал студент-медик Алексей Тарасенков, великолепный знаток древнего языка. Позже он стал известным врачом и писателем. Это он лечил Гоголя, когда тот доживал последние дни.

Властная матушка осталась довольна домашним образованием старшего сына и разрешила ему поступить в университет. В шестнадцать лет Чебышева, после успешной сдачи экзаменов, зачислили студентом философского факультета Московского университета. Нет, Чебышев вовсе не собирался стать философом. Просто в те времена математику читали на математическом отделении философского факультета.

Приближённое решение уравнений

Особых подробностей о том, каким он был студентом, не сохранилось. Похоже, что в университете среди товарищей Пафнутий ничем не выделялся: носил строгий вицмундир, застёгнутый до самого подбородка на все сияющие пуговицы, и неизменную студенческую треуголку с кокардой <Рисунок3>. По всем предметам успевал только на «отлично». Видно, и тут сказалась домашняя выучка Аграфены Ивановны. Лишь на четвёртом курсе Чебышев заставил говорить о себе. На четвёртом курсе студентам полагалось представить своё сочинение в соответствии с выбранной специальностью. За конкурсную работу о вычислении корней уравнений он получил серебряную медаль <Рисунок4>. Студенческое сочинение много лет сохранялось в архиве и увидело свет только в 1951 году.

Вопрос, избранный Чебышевым для рассмотрения имеет многовековую историю. Еще в древних манускриптах встречаются примеры задач, где для отыскания ответа требуется решить уравнение первой или второй степени. В XIV веке Кардано вывел формулу для нахождения корней кубического уравнения. Но она довольно, сложна для вычислений. В 1824 году Абель доказал, что уравнения пятой степени и выше вообще не имеют решения в радикалах <Рисунок5>. Для практического применения уравнений вовсе не обязательно найти точное решение, достаточно приближённого решения с определённой точностью.

Пусть имеется уравнение f(x) =0, причём известно, что один из корней уравнения принадлежит отрезку [a;b], тогда выбрав за начальное приближение корня один из концов отрезка, можно найти более точное значение этого корня по формуле, предложенной П. Л. Чебышёвым в студенческой работе. <Рисунок6>

Если повторить вычисления по формуле, придав х только, что найденное значение, то получим более точное значение. Проведём эти вычисления с помощью Mathcad. <Рисунок7>

Благодаря Mathcad мы можем решить это уравнение точно, как видно, приближённое решение получается верным до четырёх знаков после запятой. <Рисунок8>

Задание 1

Предлагаю описанным выше способом найти более точное значение корня уравнения близкого к числу -3.

Ответ: <Рисунок9>

Заниматься приближённым решением уравнения, а также приближённым решением других математических задач мы будем с вами на дисциплине «Численные методы» на 3-ем и 4-ом курсах.

Юность П. Л. Чебышёва

Жилось в годы учёбы Пафнутию Львовичу не легко. В ту лихую годину в России был неурожай, и родители не смогли присылать денег старшему сыну – оборачивайся, как знаешь. Скромность в запросах, необычайное трудолюбие и бережливость – эти черты, выработавшиеся в юности, Пафнутий Львович сохранил на всю жизнь. Жил он в родительском доме, недалеко то Зубовской площади <Рисунок10>. И то великое благо для студента, хоть за жильё платить не приходилось….

В 1841 году закончилась студенческая жизнь П. Л. Чебышева, и он вышел из университета «первым кандидатом». Степень кандидата присваивалась выпускнику университета, имеющему средний балл по основным предметам не ниже 4,5. После некоторого колебания в выборе жизненного пути он решил посвятить себя науке и стал готовиться к сдаче экзаменов на ученую степень магистра, оставшись, таким образом, при Московском университете ещё на 5 лет.

8 июня 1846 года состоялась публичная защита диссертации «Опыт элементарного анализа теории вероятностей».

В этом же году младшие братья Чебышева, Николай и Владимир, поступили в Петербургское артиллерийское училище, и Пафнутий Львович покидает Москву. Он хочет помочь братьям в получении образования. Сам он работает в Петербургском университете <Рисунок11>. В 1849 году, он защищает новую диссертацию «Теория сравнений» и получает степень доктора наук. Эта книга на протяжении полувека дважды издавалась в Петербурге, была напечатана в Берлине и Риме, прослужив, таким образом, в качестве учебника по теории чисел несколько десятков лет. В общем, жизнь Чебышева течёт гладко, спокойно.

Его привлекли к участию в разборке архивов Эйлера и подготовке к опубликованию полного собрания его сочинений. Так состоялось заочное знакомство двух великих математиков разных веков.

Слава молодого профессора растёт. В Петербурге он академик. О нём знают и за границей: в Париже ему тоже присваивают звание академика. Наибольшую известность Чебышев получил за результаты о распределении простых чисел.

Простые числа

Знаменитый английский математик Дж. Сильвестр (1814-1897) имел обыкновение давать ценимым им учёным выразительные прозвища. Одного из великих гениев математики, Пафнутия Львовича Чебышева, за открытия в области простых чисел он назвал «победителем простых чисел».

Древнегреческой математике, пожалуй, был известен только один общий результат о простых числах, что их в натуральном ряду бесконечно много (теорема Евклида). На вопросы о том, как расположены эти числа, сколь правильно и как часто, греческая наука не давала ответа. Около двух тысяч лет, прошедших после Евклида, не принесли сдвигов в этих проблемах, хотя ими занимались многие математики и среди них такие корифеи как Эйлер, Гаусс.

П. Л. Чебышев получил замечательный результат о распределении простых чисел и первым пробил брешь в эту таинственную область.

Натуральное число р называется простым, если оно не имеет натуральных делителей, кроме 1 и самого себя. Профессор И. К. Андронов в книге «Арифметика натуральных чисел» приводит рассказ о воображаемом путешествии по бесконечной дороге простых чисел: «Мысленно возьмём прямолинейный провод, выходящий из классной комнаты в мировое пространство, пробивающий земную атмосферу, уходящий туда, где Луна совершает вращение. И далее за огненный шар Солнца, в мировую бесконечность.

Мысленно подвесим на провод через каждый метр электрические лампочки, нумеруя их, начиная с ближней: 1,2, 3, …1000, …, 1000000, …, включим ток с таким расчетом, чтобы загорелись лампочки с простыми номерами, и полетим вблизи провода».

Вместе с авторами этой книги мы начинаем движение с первой электрической лампочки, которая не осветила нам старта; она не горит, так как её номер (единица) не является простым числом. Сразу за ней две лампочки с номерами 2 и 3 включены, эти числа простые <Рисунок12>. Оставим позади горящие лампочки 5 и 7. Они пронумерованы простыми числами. На нашем длинном пути очень редко будут попадаться такие числа – близнецы. Вот промелькнули следующие числа – близнецы: 11 и 13, 17 и 19. Мы быстро набираем скорость; оставляем позади лампочки 101 и 103, 827 и 829; теперь всё реже и реже встречаются освящённые островки из лампочек, пронумерованных простыми числами-близнецами. Вот на фоне темноты из мрака где-то вдали засверкали лампочки с номерами 10016957 и 10016959 это последняя пара известных простых чисел-близнецов. Возможно, где-то в бесконечных просторах обрадуют наш взор ещё светящиеся пары лампочек, или такие «близнецы» исчезнут навсегда. Нам встречаются участки, довольно часто освещаемые лампочками, но часто путь проходит в темноте. Из первого миллиона промелькнуло всего 78498 горящих лампочек, 921502 не горели. Однако мы только начали движение, они ещё встретятся, но в какой миг? Закономерности нет.

В 1750 году Леонард Эйлер установил, что число 231 -1 является простым <Рисунок13>. Оно оставалось самым большим из известных простых чисел более сто лет. В 1876 году французский математик Лукас установил, что огромное число

2127-1=170 141 183 460 469 231 731 687 303 715 884 105 717 также простое. Оно содержит 39 цифр. Для его вычисления были использованы механические настольные счётные машины. В 1957 году было найдено следующее простое число: 23217-1. А простое число 244 497-1 состоит из 13 000 цифр <Рисунок14>.

Пафнутий Львович приблизился к нахождению закономерности распределения простых чисел. Ему удалось доказать формулу, дающую приближённый ответ на вопрос: сколько существует простых чисел, заключённых между 1 и некоторым натуральным числом х. В несколько упрощённом виде формула Чебышева такова: <Рисунок15>

Подсчитаем, сколько простых чисел имеется среди первых 50 натуральных чисел, получим, что их 13, а в действительности в промежутке от 1 до 50 имеется 15 простых чисел: 2,3, 5, 7, …,47.

Задание 2

Посчитайте по формуле Чебышёва количество простых чисел среди первых 5, 10, 20, 30, 40, 60, 70, 80, 90, 100 натуральных чисел и найдите, сколько их в этих промежутках в действительности.

Ответ: <Рисунок16>.

Конечно, ответ по формуле оказался не совсем точным, но если взять число х достаточно большим, то ошибка будет значительно меньше <Рисунок17>

Вообще говоря, формула Чебышева даёт несколько завышенные значения, особенно в начале ряда. Но уже при стомиллионном числе эта разница почти не ощутима (5 762 209 вместо фактических 5 4761 455). Пройдёт немного времени после опубликования трудов Чебышева, и английский математик Литлвулд докажет, что в ряду простых чисел существует некое число, около которого числа Чебышева оказываются уже не больше, а меньше действительного количества простых чисел. Через два десятка лет это таинственное число нащупали. Оно больше всех других известных науке чисел-гигантов. Это так называемое число Скьюиса.

Чебышев так же сумел доказать постулат Бертрана: между натуральными числами n и 2n при n>1 всегда находится хотя бы одно простое число <Рисунок18>.

Задание 3

Найти простое число между 200 и  400.

Ответ: например -211.

Известный английский математик Сильвестр сказал «Для получения новых результатов в вопросе распределения простых чисел требуется ум, настолько превосходящий ум Чебышева, насколько ум Чебышева превосходит ум обыкновенного человека» <Рисунок19>.

Теория вероятностей

На втором курсе мы будем изучать теорию вероятностей. У истоков этого раздела математической науки стоял П. Л. Чебышёв.

Создав теорию вероятностей как науку, он применил её выводы к решению многих практических вопросов: здесь вопросы из области артиллерии, из области установления физических постоянных и другие.

Одними из самых известных достижений Чебышева являются неравенство Чебышева и закон больших чисел Чебышева <Рисунок20>

Мы не будем сегодня разбираться в этих формулах, с ними вы подробно познакомитесь при изучении дисциплины «Теория вероятностей и математическая статистика» на втором курсе.

Сущность этих формул такова: пусть измеряется некоторая физическая величина. Обычно принимают в качестве искомого значения измеряемой величины среднее арифметическое результатов нескольких измерений. Можно ли считать такой подход верным? Теорема Чебышева отвечает на этот вопрос положительно. Среднее арифметическое большого числа измерений очень мало отличается от истинного значения величины. Происходит это потому, что при вычислении среднего арифметического случайные отклонения в ту или иную сторону взаимно уничтожаются, вследствие чего суммарное отклонение экспериментальных данных от истинного значения невелико. На теореме Чебышева основан широко применяемый в статистике выборочный метод, согласно которому по сравнительно небольшой выборке выносят суждение, касающееся всей совокупности исследуемых объектов.

Задание 4

Результаты измерения роста случайно отобранных 70 призывников из 825 призывников приведены в таблице <Рисунок21>. Оценить необходимый запас обмундирования по каждой группе призывников.

Ответ: 71, 95, 154, 213, 118, 107, 71. (После получения решений от команд, правильное решение демонстрируется на доске <Рисунок22>).

В качестве другого примера действия закона больших чисел рассмотрим давление газа на стенку заключающего его сосуда. Это давление есть результат суммарного воздействия ударов отдельных молекул о стенку. Число этих ударов в единицу времени и их сила – дело случая. Таким образом, давление в каждой части поверхности сосуда подвергается случайным колебаниям. Но так как давление складывается из колоссального числа ударов отдельных частиц, то среднее арифметическое отдельных, производимых ими давлений, согласно закону больших чисел, практически достоверно является почти постоянной величиной. Отсюда вытекает, что давление газа в нормальных условиях (для не слишком разреженных газов) лишь ничтожно мало колеблется около некоторой постоянной величины. Но это утверждение мы знаем из физики под названием закона Паскаля. Таким образом, мы закон Паскаля получили не как опытный факт, а как результат теории, как следствие из общей теоремы теории вероятностей, из теоремы Чебышева.

Теорема Чебышева содержит в себе теорему Бернулли как простейший частный случай <Рисунок23>, когда случайная величина может принимать лишь два значения. Например, при многократном бросании симметричной монеты частота выпадения герба всегда близка к 0,5. Многие математики занимались этими экспериментами. Программа «Математика 5-11 класс. Практикум» поможет повторить нам эти эксперименты. (Демонстрируются эксперимент Лаборатория - Задачи – Математическая статистика – Задача 5.05)

Теорема Бернулли служит базой для приближённой оценки неизвестных вероятностей случайных событий. Длительные наблюдения над рождениями установили, что в среднем на каждую 1000 рождений приходится 511 мальчиков и 489 девочек. Отсюда делается вывод, что вероятность рождения мальчика приблизительно равна 0,511. По вероятности рождения мальчика делаются серьёзные прогнозы о составе населения.

Всё страховое дело построено на определении статистическим путём (посредством теоремы Бернулли) вероятностей различных событий: смерти лица определённой профессии в течение определённого года его жизни, гибели от пожара дома, гибели посевов от града и т. д. На этой базе рассчитываются страховые взносы. Эти расчеты оказываются такими точными, что страховые общества не разоряются, а приносят систематический доход.

Многочлены Чебышева

Обширный круг работ П. Л. Чебышева относится к области математического анализа. Среди них значительное место занимают исследования, посвящённые проблемам приближения функций многочленами. Мы будем этим заниматься при изучении дисциплины «численные методы» на третьем курсе.

Функцию f(x) можно представить в виде суммы (ряда Чебышева) <Рисунок24>, где Тn(x)- многочлены Чебышева, определяющиеся следующей формулой <Рисунок24>. Т0(х)=1; Т1(х)=х. Для вычисления многочленов Чебышева можно воспользоваться следующим рекуррентным соотношением:

Тn+1(х)=2x•Tn(x)-Tn-1(x) n=1,2,…

Задание 5

Пользуясь, рекуррентной формулой найдите Т2(х), Т3(х).

Ответ: Т0(х)=1; Т1(х)=х; Т2(х)=2х2-1; Т3(х)=4х3-3х; Т4(х)=8х4-8х2+1; Т5(х)=16х5-20х3+5х.

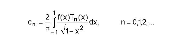
Коэффициенты сn вычисляются по формуле <Рисунок25>

Задание 6

Разложить в ряд Чебышёва функцию f(x) <Рисунок26>

Ответ: <Рисунок27>

Используя Mathcad, можно легко показать, что интерполяция и правда выполняется <Рисунок28>

Заключение

Сорок два года Чебышев проработал в академии наук, умножая её славу и гордость. В течение 35 лет он возглавлял математические науки в Петербургском университете, создал одну из самых значительных русских математических школ. Многочисленные ученики Чебышева распространили идеи своего учителя по всей России и далеко за её пределами.

С раннего детства в нём развивалось стремление к устройству всевозможных приборов. Начав с простых игрушек из лучинок и палочек, сделанных перочинным ножиком, Чебышев дошёл впоследствии (уже взрослым) до сложной математической машины арифмометра. Эта любовь к изобретению механизмов сохранилась навсегда. Всю жизнь Чебышев занимался вопросами практической механики и изобрёл много остроумных механизмов: сортировальную машину, самокатное кресло <Рисунок29>, гребной механизм <Рисунок30>, <Рисунок31>, арифмометр <Рисунок32>, стопоходящую машину, подражающую движениям животного при ходьбе и другие <Рисунок33>. За механизмы, показанные на выставке 1893 года в Чикаго, Чебышев был премирован и награждён.

Своими замечательными решениями ряда конкретных задач о механизмах Чебышев значительно опередил своих современников; более того, он поставил перед наукой о механизмах такие проблемы и задачи, к которым эта наука стала подходить только в самые последние десятилетия.

В течение сорока лет Чебышев принимал активное участие в работе военного артиллерийского ведомства и работал над усовершенствованием дальнобойности и точности артиллерийской стрельбы. В курсах баллистики до наших дней сохранилась формула Чебышева для вычисления дальности полёта снаряда. Своими трудами Чебышев оказал большое влияние на развитие русской артиллерийской науки.

Подведение итогов игры

Определяется команда - победитель

Литература

1) Пичурин Л. Ф. За страницами учебника алгебры. М.: Просвещение, 1990
2) Глейзер Г.И. История математики в школе. 7-8 классы. – М.: Просвещение, 1982
3) Компьтерный диск. Справочник студента. Математика в задачах. «Навигатор», 2004
4) Баврин И. И. Курс высшей математики- М.: Гуманитарный издательский центр ВЛАДОС, 2004.
5) Компьютерный диск Большая электронная детская энциклопедия. Математика.
6) Смышляев В. К. О математике и математиках. – Йошкар-Ола, Марийское книжное издательство, 1977.
7) Компьютерный диск. 1С: Школа. Математика 5-11 классы. Практикум., 2004.
8) Мэтьюз, Джон,Ю Г., Финк, Куртис, Д. Численные методы. Использование Matlab. –М.: Издательский дом «Вильямс».
9) Гуров С. П., Хромиенков Н. А. П. Л. Чебышев – М.: Просвещение, 1979
10) Демьянов В. П. Рыцарь точного знания . – М. : Знание, 1991.


a_id: 417494