Групповые технологии как основа эффективности управления и организации учебного процесса (из опыта работы)
Основной формой организации процесса обучения является урок. В начальной школе эффективно использовать на уроках групповые формы обучения, которые позволяют реализовать основные условий коллективности: осознание общей цели, целесообразное распределение обязанностей, взаимной зависимости и контроля; способствуют развитию коммуникации, навыкам общения, взаимопонимания, рефлексии каждого ученика.
Групповые формы обучения можно использовать на уроках русского языка, математики, окружающего мира, технологии.
Фрагменты уроков с применением групповых технологий
Окружающий мир
1 класс
Тема: "Планирование наблюдения. Архитектурные сооружения"
1. Актуализация знаний
2. Конструирование здания. Работа в группах
- Соберите в группах фотографии зданий Москвы. Подумайте, для чего служит ваше здание.
Дети в группах собирают части фотографий и наклеивают на лист бумаги (стадион, магазин, библиотека, метро, школа, музей). Выходят к доске и высказывают своё мнение о предназначении архитектурного сооружения.
3. Составление описания по заданному плану
2) Работа в парах
- Выберите одно из показанных здесь зданий и составьте его описание так, чтобы ваш сосед догадался, что это за здание. На плане наблюдения укажите данные объекта из описания товарища.
- Поднимите руку тот, чей товарищ использовал все данные плана
2 класс
Тема: "Поведение животных" (ощущения животных; признаки, на которые ориентируются животные)
Организационный момент. Проверка домашнего задания в группах
Инструкция «Действия человека при укусе осы или пчелы». Оценивание в группах
- Какие органы чувств управляют действиями осы-филанта? (Сначала работает зрение, потом - обоняние, потом - осязание)
- Знакомьтесь - необычное животное: летучая мышь. О каких фактах из жизни летучих мышей вы знаете? (Ответы детей)
3 класс
Тема: "Чистый воздух. Проблемы гигиены и экологии"
Закрепление материала
Постановка вопроса
Ключ к долголетию - чистый воздух, поэтому, чтобы увеличить продолжительность жизни людей необходимо искать пути, чтобы сохранить воздух чистым.
«Что нужно делать, чтобы воздух был чистым и пригодным для дыхания?»
Обращение ребят за помощью к родителям - гостям урока. Выслушивание предложений взрослых и детей.
Рисование экологического плаката в группах «Мы - за чистый воздух на планете!»
4 класс
Тема: "Древняя Русь. Курганы"
Классификация текстов
- Обратите внимание на тексты М.Рабиновича и В.Щавинского. О чём пишет М.Рабинович? В.Щавинского этот же вопрос интересует?
- Блокноты учёных закрашены разным цветом. Это означает, что они - люди разных профессий. Попробуйте в группе найти заметки людей тех же профессий и закрасьте их блокноты в тот же цвет.
- Обсуждение текстов, раскрашивание блокнотов в группе
- Выслушивание мнений
Общий вывод
- А теперь каждая группа будет работать с текстами определённого цвета. Дополните начатые записи в соответствии с текстами
- Заслушивание выводов
- Называние профессий ученых
- Вы можете назвать, кем являются авторы текстов? (Людьми каких профессий являются авторы текстов?)
Запись профессий на доске
-
- Историк, археолог
- Естественник, природовед (химик, географ)
- Языковед, лингвист
- Писатель, поэт
4 класс
Тема: "Экологические проблемы. Отходы, их утилизация"
Закрепление материала.
Работа в группах.
Задание 1: рассортировать мусор так, чтобы его проще было переработать. Сформулируйте вывод.
Задание 2* (дополнительно): как сделать так, чтобы было меньше мусора?.. Назовите способы использования ненужных предметов. (Пакет из-под сока - кормушка для птиц, пластиковая бутылка - вазочка, стаканчик для карандашей, металлическая коробочка - шкатулка для мелочей и т.д.)
Технология
2 класс
Тема: "Объёмное моделирование и конструирование из бумаги. Летающие модели"
Практическая работа в паре и группе по инструкции (Работа в паре и группе)
- Сейчас вам предстоит поработать в паре и группе, следуем инструкции
Зачитывается первая строка.
- Сколько деталей в этой модели?
Зачитывается вторая строка.
- Как можно распределить обязанности в паре? (Выслушиваются ответы детей)
Зачитывается третья строка.
- Как можно распределить обязанности в группе?
Дети выполняют работу (индивидуальная помощь учителя)
Испытание вертушек.
- Молодцы! Теперь на модели напишите свои имена и оцените работу условными знаками. Запускаем вертушку так же, как и предыдущую. Сравните, какая из моделей лучше летит.
2 класс
Тема: "Работа с бумагой. Из истории оригами. Условные обозначения в оригами. «Бабочка»"
Практическая работа по инструкции
Анализ порядка сборки бабочки из фантиков от конфет:
- Определитесь, какую бабочку вы будете делать.
- Сверните «гармошкой» фигуры, необходимые для этой бабочки.
- Сделайте усики.
- Соедините все детали.
Групповая работа детей.
Распределение работы в группе.
Оценивание работ учащихся.
Математика
2 класс
Тема: "Составление примеров сложения с переходом через разряд"
Решение примеров на сложение и вычитание круглых чисел
Работа в группах
- Решите в группах примеры, ответы запишите, используя только цифры
| 5 сот. + 6 дес.= |
14 дес.+ 3 дес.= |
|
8 тыс. - 3 тыс.= |
2 сот. + 12 сот.= |
|
15 дес. - 4 дес.= |
6 тыс.5 дес.- 3 тыс. 2 дес.= |
Проверка (560, 5000, 110, 170, 1400, 3030)
Задание на построение
Работа в парах (разными карандашами)

- Построить отрезок СМ (красный карандаш)
- Построить луч ТР (синий карандаш)
- Построить прямую РС (зелёный карандаш)
- Построить ломаную РМТС (простой карандаш)
3 класс
Тема урока: Умножение на разрядную единицу
Вывод правила.
Исследовательская работа в группах
- Как записать число, которое умножается на эту разрядную единицу?
| Группа 1 |
Группа 2 |
Группа 3 |
|
1000 |
10000 |
100000 |
Доказательство каждой группы, обсуждение, вывод: при умножении числа на разрядную единицу в записи числа добавляется столько же «0», сколько их содержится в разрядной единице.
Обобщение - буквенная запись вывода
Доска:
|
b х 1000 = b000 |
||
|
b х 10000 = b0000 |
b х 10 … |
0 = b0 … 0 |
|
b х 100000 = b00000 |
а раз |
а раз |
Освоение приема.
- Первичное закрепление. Работа в учебнике: № 3, стр.3
- Усложнение задания (перенос знаний): оба множителя - разрядные единицы. Работа в группах: №4, стр.4
- Обсуждение решений. Вывод: количество «0» в разрядных единицах надо сложить.

Русский язык
2 класс
Тема: Способы выделения окончания. Нулевое окончание
Выделение окончаний в словах-названиях
1) Соревнование по группам (рядам)
|
Пл…сун |
хл…пушка |
гн…здо |
|
Пол…вают |
к…вёр |
др…жит |
|
К…рмушка |
п…щат |
в…ршина |
|
Ни…кий |
сла…кая |
жи…кий |
|
Гря…ки |
сосе…ки |
берё..ки |
|
С…довник |
к…сички |
просл…дил |
|
Ла…ки |
ноч… |
клещ… |
|
Грач… |
сл…варь |
сн…гири |
- На какие вопросы отвечают слова-предметы? (На доске таблица)
2) Работа в парах
- Выпишите слова, отвечающие на вопросы кто? что? и укажите в них окончания.
Проверка у доски
- Как найти окончание в слове?
- Изменить слово по числу
- Сравнить изменения в слове
- Выделить изменившуюся часть (окончание)
- Какое окончание называется нулевым?
3 класс
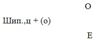
Тема: "Обозначение фонемы (о) после шипящих в безударных личных окончаниях"
Введение в тему. Работа по карточкам в группах
- Вставьте пропущенные буквы. Докажите правильность вашего выбора
- 1 группа - с плющ…м, месяц…м, о чуж…м (доме), пригож..го (молодца), ш…рох
- 2 группа - с обманщиц…й, шалаш…м, горяч…му (супу), больш…го (куска), ш…пот
- 3 группа - с полководц…м, с борщ…м, тощ…й (собакой), колюч…го (ежа), крыж…вник
- Проверим вашу работу.
Каждая группа доказывает правильность выбора буквы
- Какое правило вы применяли?
- Запишите его схематично:

Упражнение в различении орфограмм. Работа в парах
- Раскройте скобки, проверьте пропущенные орфограммы и запишите словосочетания.
Первая группа слов на доске. Четыре пары у доски.
- Проверяем. При проверке каких орфограмм пришлось воспользоваться орфографическим словарём? Почему известные вам правила не годятся для проверки этих орфограмм?
- Укажите грамматические значения у глаголов, существительных, прилагательных.