Исследовательская работа на тему «Стандартные и нестандартные методы решения уравнений и неравенств»
Выполнил:
Зуев Никита,
ученик 9 класса
Руководитель работы:
Сапожникова А.М.
Введение
«Уж лучше вообще не помышлять
об отыскании каких бы то ни было истин,
чем делать это без всякого метода…»
Рене Декарт
Не всякое уравнение или неравенство в результате преобразований или с помощью удачной замены переменной может быть сведено к уравнению (неравенству) того или иного стандартного вида, для которого существует определенный алгоритм решения. В таких случаях иногда оказывается полезным использовать другие методы решения, речь о которых и пойдет в ходе данной работы.
Проблема: Выяснение стандартных и нестандартных методов решения уравнений и неравенств.Каким методом луше решать на уроке, а каким на экзамене.
Актуальность: Приближаются экзамены и многие люди незнают и основных методов решения уравнений и неравенств. На уроках мы рассматриваем лишь несколько способов и не всегда ими можно просто и быстро решить.
Цель работы: найти и изучить стандартные и нестандартные методы решения уравнений и неравенств.
Задачи:
- Изучить теоретический материал по данной теме и найти все методы решения уравнений и неравентсв.
- Применение методов на практике.
- Сравнть полученные результаты.
- Сделать общий вывод , найт лучший способ решения неравенств.
Объект исследования - уравнения и неравенства, не поддающиеся решению с помощью стандартных методов, или отличающиеся громоздкостью стандартного решения.
Практическая значимость работы состоит в том, что не всегда при решении сложных уравнений или неравенств следует идти по «накатанной колее», пытаясь найти решение «в лоб»: достаточно лишь взглянуть на него и найти зацепку, позволяющую избежать сложных вычислений и преобразований.
Глава 1. Теоретические аспекты понятия уравнения и неравентва
1.1. Что такое уравнение и неравентсво?
Уравнения и системы уравнений математики умели решать очень давно. В «Арифметике» греческого математика из Александрии Диофанта (III в.) еще не было систематического изложения алгебры, однако в ней содержался ряд задач, решаемых при помощи составления уравнений. Есть в ней такая задача:
«Найти два числа по их сумме 20 и произведению 96».
Чтобы избежать решения квадратного уравнения общего вида, к которому приводит обозначение одного из чисел буквой и которое тогда еще не умели решать, Диофант обозначал неизвестные числа 10 + х и 10-х (в современной записи) и получал неполное квадратное уравнение 100-х2 = 96, для которого указывал лишь положительный корень 2.
Задачи на квадратные уравнения встречаются в трудах индийских математиков уже с V в. н.э.
Квадратные уравнения классифицируются в трактате «Краткая книга об исчислении алгебры и алмукабалы» Мухаммеда аль-Хорезми (787 - ок. 850). В нем рассмотрены и решены (в геометрической форме) 6 видов квадратных уравнений, содержащих в обеих частях только члены с положительными коэффициентами. При этом рассматривались только положительные корни уравнений.
В работах европейских математиков XIII-XVI вв. даются отдельные методы решения различных видов квадратных уравнений. Слияние этих методов в общее правило произвел немецкий математик Михаэль Штифель (1487-1567), который рассматривал уже и отрицательные корни.
В самом известном российском учебнике «Арифметика» Леонтия Филипповича Магницкого (1669-1739) имелось немало задач на квадратные уравнения. Вот одна из них:
«Некий генерал хочет с 5000 человек баталию учинить, и чтобы та была в лице вдвое, нежели в стороне. Колико оная баталия будет иметь в лице и в стороне?», т.е. сколько солдат надо поставить по фронту и сколько им в затылок, чтобы число солдат по фронту было в 2 раза больше числа солдат, расположенных им «в затылок»?
В древневавилонских текстах (3000-2000 лет до н.э.) встречаются и задачи, решаемые теперь с помощью систем уравнений, содержащих и уравнения второй степени. Приведем одну из них:
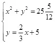
«Площади двух своих квадратов я сложил: 255/12 . Сторона второго квадрата равна ⅔ стороны первого и еще 5».
Соответствующая система в современной записи имеет вид:

Эту задачу вавилонский автор решает правильно методом, который мы теперь называем методом подстановки, но он еще не пользовался алгебраической символикой.
В XVI в. французский математик Франсуа Виет (1540-1603), служивший шифровальщиком при дворе французского короля, впервые ввел буквенные обозначения не только для неизвестных величин, но и для данных, т.е. коэффициентов уравнений. Ф.Виет для обозначения нерасшифрованных букв в донесениях противника использовал редкие буквы латинского алфавита х, у и z, что и положило начало традиции обозначать неизвестные в уравнениях буквами х, у и z. Особенно ценил Виет открытые им формулы, которые теперь называются формулами Виета. Однако сам Виет признавал только положительные корни.
Лишь в ХVII в. после работ Декарта, Ньютона и других математиков решение квадратных уравнений приняло современный вид.
Вернемся в начало XVI в. Тогда профессор математики болонского университета Сципион дель Ферро (1465-1526) впервые нашел алгебраическое решение уравнения третьей степени вида
x3 + px=q, (1)
где р и q - числа положительные.
Это открытие, по обычаям того времени, профессор держал в строгом секрете. О нем знали лишь два его ученика, в том числе некий Фиоре. Утаивание математических открытий тогда было обычным явлением, так как в Италии практиковались математические диспуты-поединки. На многолюдных собраниях противники предлагали друг другу задачи для решения на месте или в определенный срок. Чаще всего это были задачи по алгебре, которую называли тогда великим искусством. Побеждал тот, кто решал больше задач. Победитель не только награждался славой и назначенным денежным призом, но и мог занять университетскую кафедру, а потерпевший поражение часто терял занимаемое место. Вот почему участнику диспута было важно обладать неизвестным другим алгоритмом решения некоторых задач.
После смерти профессора дель Ферро его ученик Фиоре, который сам не был глубоким математиком, вызвал на публичный диспут одного из виднейших математиков того времени Никколо Тарталья (1499-1557). Готовясь к диспуту, Тарталья открыл формулу для нахождения корней кубических уравнений в радикалах, так как предполагал, что Фиоре уже обладал этой формулой. Позднее Тарталья писал: «Я приложил все свое рвение, усердие и уменье, чтобы найти правило для решения кубических уравнений, и, благодаря благословенной судьбе, мне удалось это сделать за 8 дней до срока».
Диспут состоялся 20 февраля 1535 г. Тарталья в течение двух часов решил 30 задач, предложенных ему противником, а Фиоре не смог решить ни одной из 30 задач, предложенных Тартальей. После диспута Тарталья стал знаменитым во всей Италии, но продолжал держать открытую формулу в секрете.
Другой итальянский математик Джерол. но (1501-1576) узнал от Тартальи правило решения кубического уравнения (1) и дал «священную клятву», что никому не раскроет этой тайны. Правда, Тарталья лишь частично раскрыл свою тайну, но Кардано, познакомившись с рукописями покойного профессора дель Ферро, получил полную ясность в этом вопросе. В 1545 г. Кардано опубликовал знаменитый свой труд «О великом искусстве, или об алгебраических вещах, в одной книге», где впервые опубликовал формулу для решения уравнения (1), а кубическое уравнение общего вида предлагал свести к уравнению (1).
После выхода в свет этой книги Кардано был обвинен Тартальей в нарушении клятвы, но формула, открытая дель Ферро и Тартальей, и по сей день называется формулой Кардано.
Такова полная драматизма история открытия формулы корней кубического уравнения (1).
В той же книге Кардано привел алгебраическое решение уравнения четвертой степени. Это открытие сделал один из его учеников Лудовико Феррари (1522-1565). После этого начались настойчивые поиски формул, которые сводили бы решение уравнений высших степеней к извлечению корней («решение в радикалах»). Эти поиски продолжались около трех столетий, и лишь в начале XIX в. норвежский ученый Нильс Хенрик Абель (1802-1829) и французский ученый Эварист Галуа (1811-1832) доказали, что уравнения степеней выше четвертой в общем случае в радикалах не решаются.
Математик и философ Рене Декарт (1596-1650) впервые сформулировал в своей книге «Геометрия» основную теорему алгебры о числе корней уравнения n-й степени. При этом Декарт допускал существование не только истинных (положительных) и ложных (меньших, чем ничего, т. е. меньших нуля - отрицательных) корней, но и воображаемых, мнимых (у Декарта - imaginaires), т.е. комплексных корней.
Еще в древности математики в процессе решения задач сталкивались с извлечением корня квадратного из отрицательного числа; в этом случае задача считалась неразрешимой. Однако постепенно выяснялось, что решение многих задач, задаваемых в действительных числах, получает простое объяснение при помощи выражений a + bi, где i 2 = -1, которые в конце концов тоже стали называть числами, но уже комплексными. Первое обоснование простейших действий над комплексными числами дал итальянский математик Раффаэле Бомбелли (ок. 1530-1572) в 1572 г., хотя еще долгое время к комплексным числам относились как к чему-то сверхъестественному.
Академик Петербургской академии наук Леонард Эйлер (1707-1783) внес существенный вклад в вопросы теории комплексных чисел. После его работ комплексные числа получили окончательное признание как предмет и средство изучения. Само название «комплексное число» было предложено в 1831 г. немецким математиком Карлом Фридрихом Гауссом (1777-1855).
В настоящее время комплексные числа широко употребляются во многих вопросах физики и техники.
Выше речь шла об алгебраических уравнениях, т.е. уравнениях f(x) = O, где f(x) - многочлен относительно х.
Кроме алгебраических уравнений, есть еще и трансцендентные уравнения: показательные, логарифмические, тригонометрические и др. Решение трансцендентных уравнений, а также неравенств существенно опирается на свойства функций, которые изучаются в математике относительно недавно.
Особое место среди алгебраических уравнений занимают так называемые диофантовы уравнения, т. е. уравнения, в которых неизвестных больше одной.
Наиболее известными из них являются линейные диофантовы уравнения. Примеры задач, приводящих к линейным диофантовым уравнениям, находим в сборнике задач монаха Алькуина, приглашенного в 795 г. Карлом Великим преподавать в первую из известных школ в г. Аахен. Вот эта задача:
«100 шеффелей (денежных единиц) разделили между мужчинами, женщинами и детьми (число персон 100) и дали при этом мужчинам по 3 шеффеля, женщинам по 2 и детям по ½ шеффеля. Сколько было мужчин, женщин и детей?»
Обозначив количество мужчин за х, количество женщин за у, мы придем к уравнению Зх + 2y + ½ (100-х-y)= 100
Общего решения линейных диофантовых уравнений в те времена еще не знали и довольствовались лишь несколькими решениями, удовлетворяющими условию задачи. У самого Алькуина было приведено лишь одно решение этой задачи: мужчин, женщин и детей было 11, 15 и 74, а задача имеет 784 решения в натуральных числах.
Задачи, приводящие к линейным диофантовым уравнениям, имелись у Леонардо Пизанского (Фибоначчи) (1180 - 1240), в «Арифметике» Л.Ф.Магницкого.
Известное диофантово уравнение Пифагора (VI в. до н.э.) х2 + у2 = z2 решают в натуральных числах. Его решениями служат тройки чисел (х; у; z):
x = (m2 - n2)l, y = 2mnl, z = (m2 + n2)l,
где т, п, l - любые натуральные числа (т > п). Эти формулы помогают находить прямоугольные треугольники, длины сторон которых являются натуральными числами.
В 1630 г. французский математик Пьер Ферма (1601 - 1665) сформулировал гипотезу, которую называют великой (или большой) теоремой Ферма: «Уравнение хп + уп = zп для натурального п ≥ 3 не имеет решений в натуральных числах». Ферма не доказал свою теорему в общем случае, но известна его запись на полях «Арифметики» Диофанта: «...невозможно куб записать в виде суммы двух кубов, или четную степень в виде суммы таких же степеней, или вообще любое число, которое является степенью большей, чем вторая, нельзя записать в виде суммы двух таких же степеней. У меня есть поистине удивительное доказательство этого утверждения, но поля эти слишком узки, чтобы его уместить». Позднее в бумагах Ферма было найдено доказательство его теоремы для п= 4. С тех пор более 300 лет математики пытались доказать великую теорему Ферма. В 1770 г. Л.Эйлер доказал теорему Ферма для п = 3, в 1825 г. Адриен Лежандр (1752-1833) и Петер Дирихле (1805-1859) - для п = 5. Доказательство великой теоремы Ферма в общем случае не удавалось долгие годы. И только в 1995 г. Эндрю Вайлс доказал эту теорему.
Понятие неравенство, как и понятие равенства появились в глубокой древности. Еще Архимед ,занимаясь вычислением длины окружности, определил границы числа π. Ряд неравенств приводит в своем знаменитом трактате «Начала» Евклида. Знаки неравенства (>, <) впервые появились в 1631 году, ввел их английский математик Т.Гарриот. Они делятся на строгие и нестрогие, а также на знак ≠. Сами же неравенства могут быть, как и уравнения разных степеней, рацианальными, иррацианальными, логарифмическими,тригонометрическими и др. Неравенства можно изображать на координатной плоскости. Допускается двойное или даже многократное неравенство, объединяющее несколько неравенств в одно. У неравенств есть общие свойства:
- К обеим числам неравенства можно прибавить одно и тоже число.
- От обеих частей неравенства можно отнять одно и тоже число, любое число в неравенстве можно перенести с противоположным знаком.
- Обе части неравентсва можно умножить или разделить на одно и тоже число.
- Одноименные неравентсва можно складывать.Неравентсва с противоположными знакамиможно почленно вычитать.
- Если все четыре части двух неравенств положительны, то неравенства ожно перемножить.
- Если обе части неравенства положительны можно вознести их в одну и ту же натуральную степень,а также логарифмировать с любым основанием(Если основание логарифма меньше 1, то знак меняется на противоположный).
- Транзитивность: если a < b и b < c тогда a < c.
- Если обе части неравентсва умножить или разделить на отрицательное число,то знак неравенства меняется на противоположный.