Движение тела, брошенного вертикально вверх
Цель: научить определять скорость, проекцию скорости, проекцию перемещения, перемещение тела, брошенного вертикально вверх, на опреленной высоте, путь, пройденный телом, уметь по графику проекции скорости определять путь тела.
Задачи:
- Развивающие: получить представление о движении тела, брошенного вертикально вверх.
- Познавательные: приобрести умение рассчитывать скорость, проекцию скорости, перемещение, проекцию перемещения, путь через разные интервалы времени.
Демонстрации: опорные конспекты, ОК на экране.
Ход урока
1. Повторение
2. Объяснение нового материала
1. Что называют свободным падением?
Свободное падение - это движение тела под действием силы тяжести Земли с ускорением свободного падения ɡ=9,8 м/с2.
2. Как направлена сила тяжести?
Сила тяжести направлена вниз по радиусу к центру Земли.
3. При движении тела, брошенного вертикально вверх, начальная скорость тела направлена от центра Земли по радиусу Земли вверх. В первой части пути при движении вверх движение тела будет равноускоренным замедленным, на максимальной высоте скорость тела будет равна нулю, во второй части пути, по мере падения тела, скорость тела будет увеличиваться, Движение тела будет равноускоренным ускоренным. Рассмотрим движение тела, брошенного вертикально вверх в разные моменты времени: через время, когда тело не долетит до максимальной высоты, долетит до максимальной высоты, перелетит максимальную высоту, долетит до поверхности Земли и, полетит, в так называемую яму. Наша задача: определить величину и направление скорости тела, перемещение и путь, пройденный телом и по рисунку и графически. При решении задачи в основе лежат формулы проекции перемещения и проекции скорости:
![]()
Рассмотрим систему отсчета, связанную с Землей, ось ОУ вертикально вверх. Начальную скорость направим вверх, ускорение свободного падения направим вниз. Спроецируем правую часть уравнений на ось ОУ:
![]()
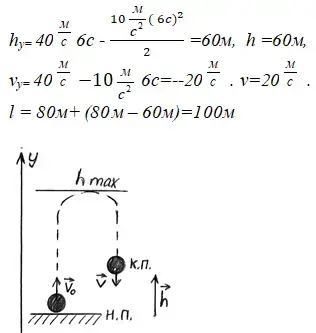
Пусть начальная скорость тела будет равна 40 м/с. Подставим в каждое из уравнений данные скорости и времени: 2с, 4с, 6с, 8с, 10с. Получим значения hу,vу. Проанализируем значения hу, vу.
1. Если hу > 0 - конечное положение выше начального, vу > 0 - тело летит вверх. Делаем рисунок. Определяем путь: l = h.


2. Если hу > 0 - конечное положение выше начального, vу = 0 - тело достигло максимальной высоты. Делаем рисунок. Определяем путь: l = l = hmax

3. Если hу > 0 - конечное положение выше начального, vу < 0 - тело летит вниз. Делаем рисунок. Определяем путь l = hmax+ (hmax - h)

4. Если hу = 0 - тело вернулось в исходное положение, vу< 0 - тело летит вниз, v0 = v - тело имеет ту же скорость, по закону сохранения механической энергии, с которой его бросили вертикально вверх.
Делаем рисунок. Определяем путь l = 2hmax = 160м

5. Если hу < 0 - конечное положение ниже начального, тело пролетело исходное положение, vу < 0 - скорость тела направлена вниз. Делаем рисунок. Определяем путь: l = 2hmax + h

Вывод формулы максимальной высоты тела, брошенного вертикально вверх.
Пусть t - время полета до максимальной высоты,
, т.к. скорость тела на максимальной высоте равна нулю
![]()
Подставляем время в![]()

Найдем максимальную высоту тела:

Сравниваем с нашим решением.
3. Подведение итогов
Повторяем алгоритм решения задач.
Домашнее задание:
- Построить графики зависимости проекции скорости от времени и вычислить путь тела через разные интервалы времени по графикам. Сравнить с пройденным путем, полученным при решении задачи.
- Определить скорость, проекцию скорости, перемещение, проекцию перемещения, путь для тела, брошенного вертикально вверх с начальной скоростью 50м/с через 2с, 5с, 8с, 10, 12с.