Урок по математике "Дисперсия чисел"
Урок передачи-усвоения новых знаний, умений и навыков.
Тема: Дисперсия. Её свойства.
Цели урока:
- Познавательная: 1) передача учащимся определенной системы математических знаний, умений, навыков; 2) выработка у учащихся умения
решать основные типы задач теории вероятности и применять теорию в конкретных различных ситуациях; 3) формирование представлений об идеях и методах высшей математики; 4) формирование у учащихся на материале учебного предмета высшей математики способов учебно-познавательной деятельности. - Развивающая: 1) развитие мышления; 2) развитие памяти; 3) развитие элементов творческой деятельности, как качеств мышления; 4) развитие речи, заключающееся в овладении математической терминологией, а также приемами построения определений, понятий и оперирование ними.
- Воспитывающая: 1) воспитать у учеников любовь к выбранной профессии и данному предмету.
Задача: заключается в определении свойств дисперсии случайной величины и в выводе формулы для ее расчета.
Ход урока.
- Организационный момент.
- Повторение старого и изучение нового материала.
- Закрепление нового материала.
- Домашнее задание.
1. Проверка присутствующих учеников на уроке.
2. Математика - королева всех наук!
Без нее не летят корабли,
Без нее не поделишь ни акра земли,
Даже хлеба не купишь, рубля не сочтешь,
Что по не узнаешь, а узнав не поймешь!
Учитель: "Итак, математическое ожидание не полностью характеризует случайную величину"
Ученик 1: "О как же так выходит я совсем пустяк".
Ученик 2: "Да, ты право, правду говоришь".
Ученик 1: "Но кто заменит вдруг меня, ведь моя формула, то всем нужна".
Ученик 2: "Да, ты сначала про себя все вспомни".
![]()
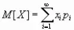
Ученик 1: "Без проблем, вот эти формулы, они известны всем. И если множество значений бесконечно, то ожидание находится как ряд, точнее его сумма:
А, если величина вдруг непрерывна, то рассмотреть имеем право мы предельный случай, и вот в итоге что получим: ![]()
Ученик 2: "Но это все смешно ведь ожидание не существует. Нет его!".
Ученик 1: "Нет, ожидание существует, когда является абсолютно сходящимся и интеграл и сумма".
Ученик 2: "И все же я твержу одно, нам ожидание не нужно".
Ученик 1: "Ах как же так? Да это просто ".
Учитель: "Стоп, стоп, закончим спор. Возьмите ручку и тетрадь, и в путь мы будем с вами спор решать. Но прежде чем начать, давайте вспомним лишь одно, чему отклонение от математического ожидания равно".
Ученик 3: "О, это могу вспомнить я".
Учитель: "Пожалуйста, вот мел, доска".
Ученик 4: "Разность X - М(Х) называется отклонением случайной величины X от ее математического ожидания М(Х). Отклонение является случайной величиной. Так как математическое ожидание случайной величины -величина постоянная и математическое ожидание постоянной равно этой
постоянной, то М(Х - М(Х)) = М(Х) - М(М(Х)) = М (X) - М(Х) = 0. т, е, М(Х - М(Х)) =0.".
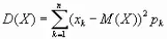
Учитель: "Да, все верно, но друзья за меру рассеяния отклонения случайной величины от ее математического это принять нельзя. И из этого последует, что рассматривают модули или квадраты отклонений. А вот теперь послушайте определение: X случайной величины - дисперсия или рассеяние - это математическое ожидание квадрата ее отклонения. Обозначается как D(X), а формула имеет вид: D(X) = М((Х - М(Х))2). (1) Теперь давайте, определим, какой же знак величине присвоим мы?".
Ученик 5: "Из свойств и определения математического ожидания можем получить, лишь одно, что как величина дисперсия неотрицательна D(X) > 0" (2).
Учитель: "Учитывая равенство один получим формулу для нахождения дисперсии: D(X) = М(Х2) - (М(Х))2. Которую быть может кто - нибудь докажет".
Ученик 6: "Давайте я попробую. D(X)=M((X - М(Х))2) = М(Х2 - 2ХМ(Х)+(М(Х))2)=М(Х2) - 2М(ХМ(Х)+М((М(Х))2)=М(Х2) - 2М(Х)М(Х)+(М(Х))2=М(Х2) - (М(Х))2". (3)
Учитель: "Рассмотрим свойства случайной величины:
1. Дисперсия С - как постоянной величины равна нулю: D(C) - 0 (С - const). (4)
2. Постоянный множитель можно вынести за знак дисперсии, возведя его в квадрат: D(CX)=C2D(X). (5)
3. Дисперсия суммы двух независимых случайных величин равна сумме их дисперсий: D(X+Y) = D(X) + D(Y). (6)
4. Дисперсия разности двух независимых случайных величин равна сумме их дисперсий: D(X - Y) = D(X) + D(Y). (7)
Докажем эти свойства принимая во внимание свойства ожидания:
D(C) = М((С - М(С))2) = М((С - С2)) = М(0) = 0. Первое свойство доказано оно означает, что постоянная величина не имеет рассеяния так как принимает одно и тоже значение.
А теперь докажем второе свойство: D(CX) - М((СХ - М(СХ))2) = М((СХ
- СМ(Х))2) = М(С2(Х - М(Х))2) = С2М((Х - М(Х))2) = C2D(X).
Для доказательства третьего свойства используем формулу три:
D(X+Y) = M((X+Y)2) - (M(X+Y))2 = M(X2+2XY+Y2) - (M(X)+M(Y))2 = M(X2)+M(2XY)+M(Y2) - ((M(X))2+2M(X)M(Y)+(M(Y))2) = M(X2)+2M(X)M(Y)+M(Y2) - (M(X))2 - 2M(X)M(Y) - (M(Y))2 = M(X2) - (M(X))2+M(Y2) - (M(Y))2 = D(X) - D(Y).
Третье свойство распространяется на любое число попарно-независимых случайных величин.
Доказательство четвертого свойства следует из формул (5) и (6).
D(X - Y) = D(X +(- Y)) - D(X) +D( - Y)=D(X)+(-l)2 D(Y) = D(X)+D(Y).
Если случайная величина является X является дискретной и задан ее закон распределения Р(Х=хk) = pk (k= 1,2,3, ,n).
Таким образом случайная величина (X - М(Х))2 имеет следующий закон распределения:
(к=1,2,3, ,n),
=l.
Исходя из определения математического ожидания, получаем формулу
![]()
Дисперсия непрерывной случайной величины X, все возможные значения корой принадлежат отрезку [а,Ь] , определяется формулой:
D(X)=
(x-M(X))2p(x)dx (8)
где р(х) - плотность распределения этой величины. Дисперсию можно вычислять по формуле:
(9)
Для учеников, имеющих оценку "4" и "5" необходимо дома доказать формулу (9).
3. Закрепление нового материала в виде тестовой работы.
1) Тестовая работа по теме "Дисперсия и ее свойства".
1. Продолжить определение: дисперсия - это.
2. Выберите правильную формулу для расчета дисперсии:
а) D(X)=D(X)2 - (D(X))2;
б) D(X)=M(X - D(X2));
в)D(X)=M((X-M(X))2);
г) D(X)=M(X)2 - (M(X))2;
3. Определите какой знак принимает дисперсия:
а) D(X)>0;
б) D(X)<0;
в)D(X)>1;
г) D(X)>0;
4. Чему равна дисперсия постоянной величины:
a)D(X)=l;
б) D(X)=0;
в) D(X)=2;
r)D(X)=-l;
5. Выберите из перечисленных те свойства, которые на самом деле соответствуют дисперсии:
а) D(CX)=CD(X);
б) D(CX)=C2D(X);
в) D(X+Y)=D(X)+D(Y);
г) D(X-Y)=D(X) - D(Y);
6. Какое из свойств дисперсии можно применить для любого числа попарно-независимых случайных величин:
а) первое;
б) второе;
в) третье;
г) четвертое;
7. Каким термином еще называют дисперсию:
а) рассеянием;
б) разбросом;
в) перемещением;
г) распределением;
8. Если случайная величина X является дискретной и задан ее закон распределения Р(Х=х к )=р к. Определите в каких пределах изменяется величина к:
а) к=1,2,3
;
б) к=1,2,3,
;
в) к=1,2,3 n;
г) к=п,
;
9. Выберите какое из четырех свойств дисперсии присуще математическому ожиданию:
а) ЩС)=0;
б) D(CX)=C 2 D(X);
в) D(X+Y)=D(X)+D(Y);
г) D(X-Y)=D(X)+D(Y);
10. Какому отрезку принадлежат все возможные значения дисперсии:
а) {а,b};
б) [0,а];
в) [-1,1];
г) [а,b].
4. Домашнее задание: выучить определение и свойства дисперсии. Решить задачу №14. Зная, что

![]()
Найти математическое ожидание
и
= 2
+3, и дисперсию случайной величины
и ![]()