Организация самостоятельной работы учащихся на уроках математики
В педагогической литературе встречаются самые разнообразные определения самостоятельной работы. Так самостоятельная работа одними авторами определяется как метод обучения [10]; другими - как прием учения [24]; третьими - как форма организации деятельности учащихся [9; 19]; четвертыми - как средство вовлечения в познавательную самостоятельную деятельность учащихся [21].
Так, Есипов Г.П. дает следующее определение самостоятельной работе учащихся: «Самостоятельная работа, включаемая в процесс обучения, - это такая работа, которая выполняется без непосредственного участия учителя, но по его заданию и в специально предоставленное для этого время, при этом учащиеся сознательно стремятся достигнуть поставленной цели, проявляя свои усилия и выражая в той или иной форме результаты своих умственных и физических сил» [9, с. 34].
Похожее определение дает Нильсон О.А.: «Самостоятельная работа - это вид учебной деятельности, при котором учащиеся под руководством учителя выполняют индивидуальные, групповые или фронтальные учебные задания, прилагая необходимые для этого умственные и (или) физические усилия»[19].
Но в таком определении самостоятельной работы нельзя не видеть слабых сторон. Возникают следующие вопросы: В чем особенность деятельности учащихся? Только в том, что они проявляют умственные и физические усилия? А ведь все эти недостаточно учитываемые в учебной практике моменты порождают формализм в использовании различных видов самостоятельных работ, скучную и монотонно-однообразную деятельность учащихся.
В своих исследованиях Жарова Л.В., анализируя существующие подходы к определению самостоятельной работы, делает вывод, что дидакты и методисты чаще всего выделяют следующие признаки самостоятельной работы:
- наличие задания учителя;
- руководство учителя;
- самостоятельность учащихся;
- выполнение задания учащимися без непосредственного участия учителя;
- активность учащихся.
Далее Жарова предлагает такое определение самостоятельной работы: «Самостоятельная учебная работа - это такой метод обучения, при котором учащиеся по заданию учителя и под его руководством самостоятельно решают познавательную задачу, проявляя усилия и активность» [10, c. 17].
Другое определение самостоятельной работы учащихся дает в своих исследованиях П.И. Пидкасистый: «Самостоятельная работа - это не форма организации занятий и не метод обучения. Ее правомерно рассматривать скорее как средство вовлечения учащихся в самостоятельную познавательную деятельность. И как любые средства, самостоятельная работа без наличия в ней четко сформулированной задачи остается в лучшем случае нейтральной по отношению к характеру познавательной деятельности ученика. Формулируемая же в каждом типе и виде самостоятельной работы задача (если она принимается учеником) позволяет включать учащихся в управляемую познавательную деятельность, т.е. вызывает у них определенную умственную активность разной структуры, которая регулируется осознаваемой ими целью. Следовательно, самостоятельную работу правомерно рассматривать как средство организации и выполнения учащимися определенной деятельности в соответствии с поставленной целью»[21, с. 42].
Принимая во внимание все вышесказанное, мы будем в дальнейшем опираться на подход П.И.Пидкасистого в определении самостоятельной работы. Так, будем рассматривать самостоятельную работу как средство вовлечения учащихся в познавательную самостоятельную деятельность. Ценным в этой концепции является то, что П.И.Пидкасистый стремится привлечь внимание педагогов к заданиям, которые требуют самостоятельности мышления, эвристических способов деятельности.
Рассмотрим некоторые особенности познавательной самостоятельной деятельности учащихся.
Основные структурные компоненты деятельности (цель, мотив, содержание, предметные действия и результат) в познавательной самостоятельной деятельности выражены специфично.
При организации самостоятельной работы предложение учителем конкретного задания влечет за собой появление мотивационной установки. Анализируя содержание полученного задания, сопоставляя его с накопленным запасом знаний и умений, учащиеся осознают и обдумывают цель задания, предусматривают предстоящие действия, необходимые для его выполнения, самостоятельно намечают те результаты, которые необходимо получить и на которые нужно ориентироваться, выполняя задание. Далее - осуществление намеченных практических действий. На этой ступени учащиеся выполняют полученное задание. После этого осуществляется анализ достигнутых результатов действий, их сопоставление с намеченной целью и предполагавшимися результатами, то есть учащиеся осуществляют самоконтроль выполнения задания.
Познавательная самостоятельная деятельность учащихся в процессе обучения может быть различной. Она может функционировать на высшем уровне - творческом. Но для того, что бы открывать что-то новое, самостоятельно пополнять знания, находить новые способы действий, ученики должны усвоить некоторые готовые знания на уровне воспроизведения. Поэтому вовлекать учащихся в познавательную самостоятельную деятельность посредством самостоятельной работы, возможно лишь имея соответствующую типологию самостоятельных работ, и организуя в соответствии с ней деятельность учащихся.
Дидактами и методистами проделана большая работа по изучению и описанию различных видов самостоятельных работ.
Основные вопросы, по мнению П.И.Пидкасистого [21, с. 43], которые всегда встают при обсуждении проблемы классификации самостоятельных работ, можно сформулировать следующим образом:
- Что определяет тот или иной тип и вид самостоятельной работы, выполняемой учениками в процессе обучения: логика и структура учебного материала, предлагаемый характер познавательной деятельности ученика или дидактические назначение самостоятельной работы, приуроченной к тем или иным звеньям учебного процесса?
- Является ли достаточным основанием для классификации типов и видов самостоятельных работ каждый из перечисленных факторов, взятых в отдельности? Если нет, то какая между ними должна существовать взаимосвязь для того, чтобы существующее многообразие видов самостоятельных работ в обучении выступало как единое целое?
- Всегда ли в разработке систем самостоятельной работы учитывались все эти факторы, или какой-либо из них возводился в тот или иной период в единственный принцип и почему?
Рассмотрим несколько подходов к классификации видов самостоятельных работ.
В основу первого направления классификации самостоятельных работ положен источник знания. Исходя из этого, можно выделить следующие виды самостоятельных работ на уроках математики:
- Работа с учебником и учебной литературой;
- Работа со справочной литературой (статистическими сборниками, справочниками по математики, энциклопедии пр.);
- Работы-задания, связанные с использованием схем, графиков и раздаточного материала;
Но в такой классификации самостоятельных работ есть свои недостатки, и основной недостаток заключается в том, что она не ориентирует учителя математики на поиски таких видов самостоятельной работы учащегося, которые приводили бы к необходимой связи уровня образования с возможностями ребенка. Такой подход к классификации односторонен. Он исходит в основном из особенностей преподавания. Это может привести к тому, что в результате процесс ученического познания будет заключаться, в конце концов, лишь в усвоении знаний, умений и навыков на уровни воспроизводящей деятельности.
В основу второго направления классификации самостоятельных работ, которое мы рассмотрим, положен принцип дидактического назначения самостоятельной работы в обучении (основной дидактической цели). Это направление наиболее полно представлено в работе Е.Б.Есипова «Самостоятельная работа учащихся на уроках» [9, c. 231-236].
- Самостоятельные работы, применяемые с целью получения новых знаний;
- Самостоятельные работы, применяемые на основе приобретенных знаний;
- Самостоятельные работы, применяемые в целях повторений знаний, умений и навыков учащихся.
Существует еще одна классификация видов самостоятельных работ по дидактической цели, которая представлена в работе Гиршович В.С. «Виды самостоятельных работ»[7]:
- Обучающие.
- Тренировочные.
- Закрепляющие.
- Повторительные.
- Контрольные.
Рассмотрим более подробно каждый из видов.
1. Обучающие самостоятельные работы. Их смысл заключается в самостоятельном выполнении школьниками данных учителем заданий в ходе объяснения нового материала. Цель таких работ развитие интереса к изучаемому материалу, привлечение каждого ученика к работе на уроке.
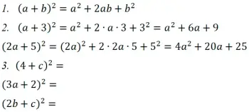
Приведем пример обучающей самостоятельной работы по теме «Формулы сокращенного умножения. Разность квадратов»:
Раскройте скобки и приведите подобные слагаемые
- (x + 2) ∙ (x - 2);
- ( x - 3) ∙ (x + 3);
- (4 - a) ∙ (4 + a);
- (1 - b) ∙ (1 + b).
2. Пользуясь результатами предыдущего задания, не вычисляя, напишите чему равно выражение
- (a + b) ∙ (a - b);
- (x - y) ∙ (x + y).
2. Тренировочные самостоятельные работы. К ним относятся задания на распознавание различных объектов и свойств. Например: выберите выражения, которые имеют одинаковые множители:
- 4(x + y);
- c - a;
- 3(a - b);
- 7(y + x);
- 5(b - a);
- a - c.
В тренировочных заданиях часто требуется воспроизвести или непосредственно применить теоремы, свойства тех или иных математических объектов и др. Тренировочные самостоятельные работы в основном состоят из однотипных заданий, содержащих существенные признаки и свойства данного определения, правила. Такая работа позволяет выработать основные умения и навыки, тем самым создать базу для дальнейшего изучения материала. При выполнении тренировочных самостоятельных работ необходима помощь учителя. Также можно разрешить пользоваться учебником и записями в тетрадях, таблицами и т.п. Все это создает благоприятный климат для слабых учащихся. В таких условиях они легко включаются в работу и выполняют её.
К таким работам можно отнести работы по карточкам, которые состоят из чередования трех блоков: 1 - опорная формула, 2 - решенный пример, 3 - пример, для самостоятельного решения учащимися. Приведем содержание такой карточки на тему: «Формулы сокращенного умножения» из курса алгебры седьмого класса.
Карточка

3. Закрепляющие самостоятельные работы. К ним можно отнести самостоятельные работы, которые способствуют развитию логического мышления и требуют комбинированного применения различных правил и теорем. Они показывают, насколько прочно усвоен учебный материал. По результатам проверки заданий данного типа учитель определяет количество времени, которое нужно посвятить повторению и закреплению данной темы. Примеры таких работ в изобилии встречаются в дидактическом материале.
Примером такой самостоятельной работы может служит самостоятельная работа в конце изучения темы «Вынесение общего множителя за скобки», которая представлена в двух вариантах. «Вариант 1» рассчитан на слабого ученика. Он ориентирован в основном на достижение учащимися обязательного минимального уровня математической подготовки, определенного стандартом математического образования. «Вариант 2» способствует достижению учащимся обязательного уровня математической подготовки и создает условия для овладения математическими знаниями и умениями на достаточно высоком уровне.