Урок "День открытых дверей". Тема: "Функции и графики. Квадратный трехчлен"
Тема: Функции и графики. Квадратный трехчлен (8-й класс)
Оборудование:
1.Мультимедийный проектор
2.Компьютеры
3. Выставка творческих работ учащихся
4. Выставка изготовленных моделей параболы
На урок приглашаются:
- Учащиеся 10-11-х классов, которые являются консультантами – помощниками учителя при проведении урока.
- Родители учащихся 8-го класса, которые имеют возможность сравнить своего ребенка с другими учащимися, понаблюдать его в нестандартной ситуации, объективно оценить своего ребенка.
Цель урока:
1.Обобщение и повторение пройденного материала.
2. Привитие интереса к предмету.
3. Достижение взаимопонимания и взаимодействия учителя, ученика и его родителей
Ход урока:
1. Обобщение пройденного материала с помощью мультимедийного проектора.
2. Выступления учащихся с докладами.
3. Решение задач.
4. Занятие с участием родителей: родители вытягивают жребий с фамилиями учеников, а затем с вызванным таким образом учеником они уже вдвоем вытягивают второй жребий – конверт с заданием, вскрывают его, вслух читают задание. Задание состоит из двух вопросов. Первый вопрос – работа с карточкой по рисунку. Для осуществления контроля назначаются ассистенты из числа учащихся 10-11 классов. Второй вопрос – работа с компьютером. Не занятые учащиеся отвечают устно у доски учителю.
5. Подведение итогов урока:
Для осуществления контроля за качеством знаний учащихся назначаются ассистенты из числа родителей и учащихся 10-11 классов. Они фиксируют оценки и составляют общую ведомость. При подведении итогов урока учитель переносит оценки в классный журнал.
Содержание урока
I. Выступления учащихся:
1. “Эта многоликая парабола”
Наблюдаем и строим параболу
Разговор о квадратичной функции мы начинаем с знакомства с ее наглядным представлением. Почему? Да потому, что зримая форма этой функции проста, красива ... и встречается на каждом шагу.
Что это за форма, где ее можно увидеть? Как от зримого образа перейти к аналитическому заданию функции как некоторой зависимости?

Рис. 1.
Понаблюдайте за игрой в волейбол. Представьте себе траекторию полета мяча и изобразите две-три траектории на рисунке. Что получилось? Есть ли что-нибудь общее на ваших рисунках?
Остановитесь у фонтана. Всмотритесь в каскад водяных брызг, искр, солнечных бликов. Разглядите, вернее, выделите глазами струи — сначала одну, потом две, потом все вместе. И тоже попытайтесь нарисовать образ, возникший перед вашими глазами.

Рис. 2.
Проведите эксперимент. В темной комнате поставьте на стол горящую свечу и поместите кольцо так, как показано на рисунке.
Какую тень отбрасывает кольцо на стол? Сравните границу этой тени с кривыми на ваших предыдущих рисунках. Похожи ли сравниваемые линии друг на друга?
Такие кривые называют параболами. Увидеть или изобразить всю параболу невозможно, строго говоря — она бесконечна. Мы наблюдали и зарисовывали только какую-то ее часть ...
Предлагаем вам принять участие в создании параболы. Выполним несколько лабораторных работ.

Рис. 3.
Вышивание параболы
- На листе плотной бумаги начертите прямую m и перпендикуляр FA к ней (рис. 4).

Рис. 4.
- На прямой m, по обе стороны от точки А, выберите произвольно несколько точек М1, М2, … Мn.
- Приложите прямоугольный треугольник так, чтобы вершина прямого угла совпала с точкой М1, один катет прошел через точку F и весь треугольник расположился выше прямой m.
- На другом катете отметьте точку N1.
- Точно так же постройте еще точки N1, N2, Nn.
- Возьмите иглу с цветной ниткой, завяжите на нитке узелок, проткните с обратной стороны лист бумаги в точке М1 и соедините стежком точку М1 с точкой N1, потом точно так же — точку М2 с точкой N2, точку М3 с точкой N3, и так далее.
Вы заметили, что все нитки сгущаются (можно сказать, скапливаются) вокруг одной и той же кривой? "Увиделась" ли вам в этой кривой парабола?
Парабола как след карандаша
- На листе плотной бумаги проведите прямую d, которая станет директрисой будущей параболы.
- Выберите точку F (фокус параболы) вне этой прямой и воткните в нее булавку.
- Чтобы вам легче было ориентироваться, обозначьте вершины используемого далее чертежного прямоугольного треугольника буквами А, В, С. Один конец нити, длина которой равна катету ВС, привяжите к булавке F, другой конец закрепите кнопкой в вершине В треугольника (рис. 5).

Рис. 5.
- Теперь вам предстоит довольно непростая работа: приложите катет АС к прямой d и одной рукой передвигайте треугольник вдоль этой прямой; в другую руку возьмите карандаш и его острием М натягивайте нитку, прижимая ее к катету ВС треугольника.
Легко видеть, что отрезки MF и МС равны и, следовательно, острие М карандаша описывает параболу. Кропотливо? Да, но красиво!
Парабола как нитка с бусинками
- Начертите прямую d и на расстоянии р от нее отметьте точку F (рис. 6).

Рис. 6.
- Выберите достаточно много чисел r, удовлетворяющих
р неравенству

- Для каждого выбранного числа r проведите параллельно прямой d прямую l, удаленную от d на расстояние r.
- Опишите дугу s радиуса r с центром в точке F.
- Точки пересечения построенных прямых l и соответствующих дуг s будут (как бусинки на нитку) нанизываться на параболу, поскольку они находятся на одинаковом расстоянии от фокуса F и директрисы d параболы.
2. “Об одной из математических моделей”
“История развития человечества доказала уже много раз, что математика — красивейшая наука, без которой не может развиваться ни одна другая. Продуктивнейший метод познания природы – математическое моделирование. В математике прежде всего поражает удивительная универсальность ее моделей и их эффективность в применении для других наук.
Правда, математическая модель не всегда дает немедленную практическую отдачу. Бывает, что она оказывается полезной только через тысячу лет.
Пример тому — конические сечения. Они были открыты в Древней Греции и описаны Аполлонием Пергским (ок. 260 — ок. 170 гг. до н. э.). Коническими сечениями называют эллипс, гиперболу и параболу, так как эти кривые можно получить на поверхности круглого конуса в пересечении плоскостью, не проходящей через вершину конуса. При этом поверхность конуса мыслится неограниченно продолженной в обе стороны от вершины. Почти 2 тыс. лет казалось, что теория конических сечений применима только к решению чисто математических задач. Но в XVI в. математик и астроном Иоганн Кеплер, стараясь описать законы движения планет, высказал гипотезу, что траектории движения планет Солнечной системы — это эллипсы. Правда, доказать это смог не Кеплер, а Исаак Ньютон в 1687 г. в своей книге "Математические начала натуральной философии", которая послужила основой всей современной теоретической физики. Ньютон, хорошо знавший древнюю теорию конических сечений, справился с задачей доказательства эллиптичности планетных траекторий при помощи хитроумных геометрических построений и закона всемирного тяготения.
После того как в XVII в. философ и математик Р. Декарт ввел понятие координатной плоскости, оказалось возможным записать каждую линию на плоскости уравнением, связывающим ее текущие координаты. Уравнения, задающие эллипс (в частности окружность), гиперболу и параболу, во всякой системе декартовых координат являются уравнениями второй степени. Поэтому соответствующие линии называются кривыми второго порядка.
Кривые второго порядка часто фигурируют при математическом описании законов природы. Почему эта модель оказалась столь плодотворной для приложений? Почему, в частности, сечение конуса описывает движения планет? Загадка. Ответа на этот вопрос пока нет. Но ясно, что если бы теория конических сечений не была заранее разработана математиками, то фундаментальные законы природы не были бы своевременно открыты, а это затормозило бы развитие науки.
В школе рассматривается подробнее всего одно из конических сечений — парабола”.
3. “О замечательных оптических свойствах параболы”
“Слово "фокус" в переводе с латинского означает очаг, огонь; оно оправдывается следующим замечательным свойством параболы.”
Если изогнуть узкую полоску хорошо отполированного металла по дуге параболы и направить на нее пучок световых лучей, параллельный оси симметрии параболы, то после отражения от такой полоски все лучи пройдут через фокус. Наоборот, лучи точечного источника света, помещенного в фокусе, отразившись от полоски, пойдут параллельно оси параболы.
Указанное свойство параболы используют, изготовляя параболитические отражатели для автомобильных фар и прожекторов. Если зеркало с поверхностью, образованной вращением параболы около ее оси симметрии, направить на Солнце, то в фокусе параболы действительно будет очаг, в котором при достаточном размере зеркала можно было бы даже плавить сталь.
Американский физик Роберт Вуд получил параболическое зеркало, вращая сосуд с налитой в него ртутью. Зеркало получилось отличным. Поверхность такого зеркала называется параболоидом вращения. Если параболоид вращения пересекать плоскостями, то будут получаться в сечении либо эллипсы, либо параболы...”
4. “О том, что парабола не допускает даже мысли не подчиняться личной директрисе”
“Мы уже говорили, что планеты движутся по кривым, называемым эллипсами, которые похожи на вытянутые окружности. Кометы же могут двигаться как по очень вытянутым в длину эллипсам, так и по параболам или гиперболам. В двух последних случаях, появившись в окрестности Солнца, они уходят в межзвездное пространство и больше к Солнцу уже никогда не возвращаются. То, что кометы могут двигаться по кривым трех различных видов, наводит на мысль: не связаны ли три линии — эллипс, гипербола и парабола какими-то общими геометрическими свойствами?
Действительно, все три линии можно охарактеризовать одним и тем же геометрическим свойством, которое мы сейчас установим.
Возьмем произвольную прямую l и точку F на
расстоянии р от нее и рассмотрим геометрическое место точек
М, для которых выполняется условие FM/МК=
=const, где МК – длина
перпендикуляра, опущенного из точки М к прямой l.

Рис. 7.
Оказывается, если 0 <
< 1, то получится — эллипс, если
> 1 – гипербола, если
= 1 — парабола (рис. 7).
Теперь мы можем дать чисто геометрическое определение параболы: параболой называется геометрическое место точек, равноудаленных от некоторой точки, называемой фокусом, и некоторой прямой, называемой директрисой параболы. (Обычно фокус обозначают буквой F, а директрису — буквой l)
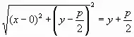
Расположим ось абсцисс параллельно директрисе на равном расстоянии от директрисы и фокуса, а ось ординат пусть проходит через фокус (рис. 8). Если р — расстояние от фокуса до директрисы, то в указанной системе координат фокус есть точка F(0; р/2), а директриса задается уравнением у=р/2. Пусть М(x, у) — произвольная точка искомой параболы. Условие MF= МК в переводе на алгебраический язык даст равенство:
.
Преобразовав данное уравнение, получим x2 = 2py. Это каноническое уравнение параболы. (Если систему координат расположить иначе, то и уравнение получится другим.)"
II. Решение задач.
На этом этапе занятия рассматривались четыре задачи.
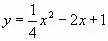
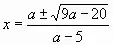
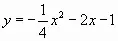
Задача 1. Найти нули функции ![]()
Решение. По определению, нули функции – это абсциссы
точек графика с координатами (х;0). Отсюда получаем
уравнение
.
При а=5 уравнение
имеет вид -10х+5-4=0, отсюда
х=0,1; значит, функция имеет один нуль х=0,1.
При
, имеем D=4a2-4(a-5)(a-4)=36a-80;
а) если D<0, т.е. a<
, то уравнение
корней не
имеет;
б) если D=0, т.е. a=
, то уравнение
имеет один
корень х=-0,8; значит, функция имеет один нуль
х=-0,8;
в) если D>0, т.е. a>
и
, то уравнение
имеет два
корня
.
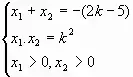
Задача 2. Найти все значения k, при которых все корни функции y = x2 + (2k – 5) x + k2 положительны.
Решение. Прежде всего нужно обеспечить существование корней уравнения
x2 + (2k – 5) x + k2=0. Для этого необходимо и достаточно, чтобы дискриминант D был больше или равен нулю, т.е.
D = (2k – 5)2 – 4k2 = 25 – 20k20.
Теперь воспользуемся теоремой Виета и условием положительности корней:
отсюда 
Тогда k ![]()
Задача 3. Найти все значения l, при которых график функций
f (x) = lx2 – 2 (l – 6) x +3 (l – 2) весь расположен ниже оси Ox.
Решение. Из условия следует, что l<0 , а дискриминант D уравнения
lx2 – 2 (l – 6) x +3 (l – 2) = 0 меньше 0:
D = 4 (l – 6)2 – 4 · l · 3 (l –2) < 0, т.е. l2 + 3l – 18 > 0.
По теореме разложения квадратного трехчлена на множители имеем
l2 + 3l – 18 = (l +6)( l
-3). Решая неравенство (l + 6)( l – 3) > 0 методом
интервалов, получаем l
Учитывая условие l <0,
окончательно имеем l![]()
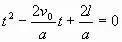
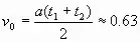
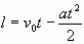
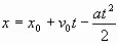
Задача 4. Вдоль наклонной доски пустили катиться снизу вверх шарик. На расстоянии 0,5 м от начала пути шарик побывал дважды: через 1 и 4 с после начала движения. Считая движение равнопеременным, определить его начальную скорость и ускорение.
Решение. Здесь
с и
c есть абсциссы точек пересечения
параболы, задаваемой формулой
(где
), с прямой x = l =
0,5. Другими словами, при x = l,
и
есть корни
квадратного уравнения
, или ![]()
Используя теорему Виета, получаем:
, значит
(м/с2) и
(м/с2).
III. Карточка задание.

Рис. 8.
По рисунку 8 ответить на вопросы:
- Указать область определения функции;
- Назвать точки экстремумов функции;
- Назвать нули функции;
- Указать промежутки, в которых функция больше (меньше) 0.
IV. Задания для устного ответа:
- Решить неравенство
, если
. - Изобразить на координатной плоскости множество точек, каждая из
которых равноудалена от точки
и от прямой
. - Функция
является четной. Известно, что
при
. Построить
график функции
. Задайте данную функцию одной формулой. - Найти наименьшее значение функции и значение аргумента, при
котором достигается это наименьшее значение, если
и
. - Построить график

V. Работа на компьютере.

Вопрос № 1. Найти координаты
вершины параболы (1).
Ответы:
1. (-5; 0);
2. (5; 0);
3. (0; -5);
4. (0; 5);
5. (-5; -5).
Вопрос № 2. Написать уравнение симметрии параболы (2).
Ответы:
1. y=-1;
2. x=-1;
3. x=1;
4. y=0;
5. x=-2.
Вопрос № 3. Чему равен свободный член квадратного трехчлена, график которого (1).
Ответы:
1. с=0;
2. с=-5;
3. с=-12,5;
4. с=-10;
5. x=-0,5.
Вопрос № 4. Указать промежутки возрастания и убывания функции (3).
Ответы:
1. Монотонно возрастающая на (-
; +
);
2. Возрастает на (-
; -1]
и убывает на [-1; +
);
3. Возрастает до -1 и убывает до -
;
4. Возрастает на (-
; 3]
и убывает на [3; +
);
5. Монотонно убывает на (-
; +
).
Вопрос № 5. Восстановить формулу функции, график которой (4).
Ответы:
1.
;
2.
;
3.
;
4.
;
5.
.