Элементы комбинаторики. Методы решения некоторых задач
1) Немного истории.
В математике и ее приложениях часто приходится иметь дело с различного рода множествами и подмножествами: устанавливать их связь между элементами каждого, определять число множеств или их подмножеств, обладающих заданным свойством. Такие задачи приходится рассматривать при определении наиболее выгодных коммуникаций внутри города, при организации автоматической телефонной связи, работы морских портов, при выявлении связей внутри сложных молекул, генетического кода, а также в лингвистике, в автоматической системе управления, значит и в теории вероятностей, и в математической статистике со всеми их многочисленными приложениями.
Поговорим об одном из разделов теории вероятности - комбинаторике.
Комбинаторика - ветвь математики, изучающая комбинации и перестановки предметов. Еще комбинаторику можно понимать как перебор возможных вариантов. Комбинаторика возникла в 17 веке.
Долгое время она лежала вне основного русла развития математики.
С задачами, в которых приходилось выбирать те или иные предметы, располагать их в определенном порядке и отыскивать среди разных расположений наилучшие, люди столкнулись еще в доисторическую эпоху,
выбирая наилучшее положение охотников во время охоты, воинов - во время битвы, инструментов - во время работы.
Комбинаторные навыки оказались полезными и в часы досуга. Нельзя точно сказать, когда наряду с состязаниями в беге, метании диска, прыжках появились игры, требовавшие, в первую очередь, умения
рассчитывать, составлять планы и опровергать планы противника.
Со временем появились различные игры (нарды, карты, шашки, шахматы и т.д.). В каждой из этих игр приходилось рассматривать различные сочетания фигур, и выигрывал тот, кто их лучше изучил, знал
выигрышные комбинации и умел избегать проигрышных. Не только азартные игры давали пищу для комбинаторных размышлений математиков. Еще с давних пор дипломаты, стремясь к тайне переписки, изобретали
сложные шифры, а секретные службы других государств пытались эти шифры разгадать. Стали применять шифры, основанные на комбинаторных принципах, например, на различных перестановках букв, заменах букв
с использованием ключевых слов и т.д.
Комбинаторика как наука стала развиваться в 18 веке параллельно с возникновением теории вероятностей, так как для решения вероятностных задач необходимо было подсчитать число различных комбинаций
элементов. Первые научные исследования по комбинаторике принадлежат итальянским ученым Дж.Кардано, Н.Тарталье (1499-1557), Г.Галилею (1564-1642) и французс- ким ученым Б.Паскалю (1623-1662) и
П.Ферма.
Комбинаторику как самостоятельный раздел математики первым стал рассматривать немецкий ученый Г.Лейбниц в своей работе " Об искусстве комбинаторики ", опубликованной в 1666 году. Он также впервые
ввел термин "комбинаторика". Значительный вклад в развитие комбинаторики внес Л.Эйлер. В современном обществе с развитием вычислительной техники комбинаторика "добилась" новых успехов. В настоящее
время в образовательный стандарт по математике включены основы комбинаторики, решение комбинаторных задач методом перебора, составлением дерева вариантов (еще его называют "дерево возможностей") с
применением правила умножения. Так, например, "дерево возможностей" помогает решать разнообразные задачи, касающиеся перебора вариантов происходящих событий. Каждый путь по этому "дереву"
соответствует одному из способов выбора, число способов выбора равно числу точек в нижнем ряду "дерева". Правило умножения заключается в том, что для того, чтобы найти число всех возможных исходов
независимого проведения двух испытаний А и В, следует перемножить число всех исходов испытания А и число всех исходов испытания В. В задачах по комбинаторике часто применяется такое понятие как
факториал (в переводе с английского "factor" - "множитель").
Итак, произведение всех натуральных чисел от 1 до n включительно называют n-факториалом и пишут: n!=1 2 3 … (n-1) n
В комбинаторике решаются задачи, связанные с рассмотрением множеств и составлением различных комбинаций из элементов этих множеств. В зависимости от правил составления можно выделить три типа
комбинаций: перестановки, размещения, сочетания.
2) ЗАДАЧИ
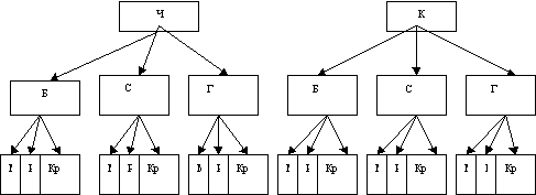
1. В школьной столовой на первое можно заказать борщ, солянку, грибной суп, на второе - мясо с макаронами, рыбу с картошкой, курицу с рисом, а на третье - чай и компот. Сколько различных обедов можно составить из указанных блюд?
1 способ. Перечислим возможные варианты
|
Чай(Ч)
|
Мясо с макаронами(М) |
Рыба с картошкой(Р) |
Курица с рисом(Кр) |
|
Борщ (Б) |
БМЧ/ БМК |
БРЧ/БРК |
БКрЧ/БКрК |
|
Солянка(С) |
СМЧ/ СМК |
СРЧ/СРК |
СКрЧ/СКрК |
|
Грибной суп(Г) |
ГМЧ/ГМК |
ГРЧ/ГРК |
ГКрЧ/ГКрК |
18 вариантов.
2 способ. Дерево возможностей.

3 способ. Используя правило умножения, получаем: 3х3х2=1
2. Свете на день рождения подарили 4 плюшевых игрушки, 2 мяча и 5 кукол. Мама положила все игрушки в большую коробку. Сколькими способами Света сможет достать из коробки 1 плюшевую игрушку, 1 мяч и 1 куклу?
1 способ. Обозначим мячи - М1, М2, игрушки- И1,И2,И3, И4, куклы- К1,К2, К3, К4, К5.
Перечислим возможные варианты:
М1-И1-К1, М1-И1-К2, М1-И1-К3, М1-И1-К4, М1-И1-К5,
М1-И2-К1, М1-И2-К2, М1-И2-К3, М1-И2-К4, М1-И2-К5,
М1-И3-К1, М1-И3-К2, М1-И3-К3, М1-И3-К4, М1-И3-К5,
М1-И4-К1, М1-И4-К2, М1-И4-К3, М1-И4-К4, М1-И4-К5
М2-И1-К1, М2-И1-К2, М2-И1-К3, М2-И1-К4, М2-И1-К5,
М2-И2-К1, М2-И2-К2, М2-И2-К3, М2-И2-К4, М2-И2-К5,
М2-И3-К1, М2-И3-К2, М2-И3-К3, М2-И3-К4, М2-И3-К5,
М2-И4-К1, М2-И4-К2, М2-И4-К3, М2-И4-К4, М2-И4-К5
Ответ: 40 вариантов.
2 способ. Используя правило умножения, получаем: 2х4х5= 40
3. Сколько четных двузначных чисел можно составить из цифр 0, 2, 3, 6, 7, 9?
1 способ.
Перечислим возможные варианты.
|
0 |
2 |
6 |
|
|
2 |
20 |
22 |
26 |
|
3 |
30 |
32 |
36 |
|
6 |
60 |
62 |
66 |
|
7 |
70 |
72 |
76 |
|
9 |
90 |
92 |
96 |
2 способ. Дерево возможностей.

3 способ. Используя правило умножения, получаем: 5х3=15 .
4. Мисс Марпл, расследуя убийство, заметила отъезжающее от дома мистера Дэвидсона такси. Она запомнила первую цифру "2". В городке номера машин были трехзначные и состояли из цифр 1,2,3,4 и 5. Скольких водителей, в худшем случае, ей придется опросить, чтобы найти настоящего убийцу?
1 способ. Перечислим возможные варианты номеров такси:
|
1 |
2 |
3 |
4 |
5 |
|
|
1 |
211 |
212 |
213 |
214 |
215 |
|
2 |
221 |
222 |
223 |
224 |
225 |
|
3 |
231 |
232 |
233 |
234 |
235 |
|
4 |
241 |
242 |
243 |
244 |
245 |
|
5 |
251 |
252 |
253 |
254 |
255 |
Ответ: 25 человек.
2 способ. Используя правило умножения, получаем: 5х5=25
5. Саша, Петя, Денис, Оля, Настя часто ходят в кафе. Каждый раз, обедая там, они рассаживаются по-разному. Сколько дней друзья смогут это сделать без повторения?
1 способ. Пронумеруем стулья, на которых должен сесть каждый, и будем считать, что они рассаживаются поочередно:
№1 - Саша - есть возможность выбрать из 5 вариантов (стульев)
№2 - Петя - 4 варианта
№3- Денис - 3 варианта
№4- Оля - 2 варианта
№5 - Настя- 1 вариант
Используя правило умножения, получаем: 5х4х3х2х1=120
2 способ. Решаем, используя понятие факториала: 5!=120
6. Из учащихся пяти 11 классов нужно выбрать двоих дежурных. Сколько пар дежурных можно составить (ученики в паре не должны быть из одного класса)?
1 способ. Перечислим возможные варианты состава пары:
11А-11Б, 11А-11В, 11А-11Г, 11А-11Д,
11Б-11В, 11Б-11Г, 11Б-11Д, 11В-11Г, 11В-11Д, 11Г-11Д
Ответ: 10 пар.
2 способ. Из пяти классов нужно выбрать 2 дежурных.
Число элементарных событий =
= 10
7. В 8 "а" классе лучше всех математику знают 5 учеников: Вася, Дима, Олег, Катя и Аня. На олимпиаду по математике нужно отправить пару, состоящую из 1 мальчика и 1 девочки. Сколькими способами учительница может эту пару выбрать?
1 способ. Обозначим имена детей первыми заглавными буквами.
Получаем следующие пары:
В-К, В-А, Д-К, Д-А, О-К, О-А.
Ответ: 6 пар.
2 способ. Мальчиков 3, из них 1 можно выбрать
, девочек 2, из них можно 1 выбрать
, используя правило умножения, получаем:
х
= 6
8. В соревнованиях по фигурному катанию принимали участие россияне, итальянцы, украинцы, немцы, китайцы и французы.
Сколькими способами могут распределится места по окончании соревнований?
Обозначим участников по первой заглавной букве страны и пронумеруем: Р1, И2, У3, Н4,К5, Ф6
Р1 - имеют возможность занять с1-6 места, т.е. 6 вариантов
И2 - 5 вариантов
У3- 4 варианта
Н4- 3 варианта
К5- 2 варианта
Ф6- 1 вариант
Используя правило умножения, получаем: 6х5х4х3х2х1= 720
2 способ. Используя понятие факториала, получаем: 6!=720
9. В 9 "б" классе 6 человек (Галя, Света, Катя, Оля, Максим, Витя) учатся на все пятерки. Департамент образования премировал лучших учащихся путевками в Анапу. Но, к сожалению, путевок всего четыре. Сколько возможно вариантов выбора учеников на отдых?
Обозначим первыми заглавными буквами имен учащихся.
Возможны следующие тройки:
Г-С-К-О, Г-С-К-М, Г-С-К-В,
Г-С-О-М, Г-С-О-В, Г-С-М-В
С-К-О-М, С-К-О-В, С-К-М-В,
К-О-М-В, С-О-М-В, Г-К-О-В,
Г-К-О-В, Г-О-М-В, Г-К-М-В
2 способ. Из 6 человек нужно выбрать 4, число элементарных событий равно
= 15
10. Пете на день рождения подарили 7 новых дисков с играми, а Вале папа привез 9 дисков из командировки. Сколькими способами они могут обменять 4 любых диска одного на 4 диска другого?
Вычислим, сколько четверок из 7 дисков можно составить у Пети:
=35, число четверок у Вали из 9 дисков -
= 126
По правилу умножения находим число обменов 35х126=4410
11. Войсковое подразделение состоит из 5 офицеров, 8 сержантов и 70 рядовых. Сколькими способами можно выделить отряд из 2 офицеров, 4 сержантов и 15 рядовых?
Из 5 офицеров выбрать 2 можно с помощью числа сочетаний
=10 способами, из 8 сержантов 4 -
=70, из 70 рядовых 15 -
. По правилу умножения находим число выбора отряда:
10х70х
= 700х![]()
12. В ювелирную мастерскую привезли 6 изумрудов, 9 алмазов и 7 сапфиров. Ювелиру заказали браслет, в котором 3 изумруда, 5 алмазов и 2 сапфиров. Сколькими способами он может выбрать камни на браслет?
Из 6 изумрудов 3 он может выбрать
=20 способами, из 9 алмазов 5 -
=126, из 7 сапфиров 2
-
=21. По правилу умножения находим число вариантов 20х126х21=52920
13. На выборах победили 9 человек - Сафонов, Николаев, Петров, Кулаков, Мишин, Гусев, Володин, Афонин, Титов. Из них нужно выбрать председателя, заместителя и профорга. Сколькими способами это можно сделать?
Здесь речь идет о размещениях
Можно было решать по-другому. На должность председателя выбираем из 9 человек, на заместителя - из 8, на профорга - из 7
По правилу умножения получаем 9х8х7=504
14. В районе построили новую школу. Из пришедших 25 человек нужно выбрать директора школы, завуча начальной школы, завуча среднего звена и завуча по воспитательной работе. Сколькими способами это можно сделать?
На должность директора выбираем из 25 человек, на завуча начальной - из 24, завуча среднего звена - из 23, завуча по воспитательной работе - 22. По правилу умножения получаем:
25х24х23х22 = 303600
Или, зная формулу размещения, получаем ![]()
15. В студенческом общежитии в одной комнате живут трое студентов Петя, Вася и Коля. У них есть 6 чашек, 8 блюдец и 10 чайных ложек (все принадлежности отличаются друг от друга). Сколькими способами ребята могут накрыть стол для чаепития (так, что каждый получит чашку, блюдце и ложку)?
Для Пети набор можно набрать 6х8х10=480 способами, для Васи - 5х7х9=315, для Коли - 4х6х8=192. По правилу умножения получаем
480х315х192=29030400 способами.
16. В кабинете заведующего ювелирного магазина имеется код, состоящий из двух различных гласных букв русского алфавита, за которой следуют 3 различные цифры. Сколько вариантов придется перебрать мошеннику, чтобы раздобыть драгоценности, которые там хранятся?
В русском языке 9 гласных букв - а, е, е, и, о, у, э, ю, я. Выбрать из них 2 можно
=36 способами. Из 10 цифр выбрать 3 можно
=120 способами. Применяя правило умножения, получаем:
36х120=4320
17. Сколькими способами можно составить трехцветный флаг из полос разной ширины, если имеются материи из 8 тканей?
Эта задача на размещение ![]()
Другой способ решения.
1цвет выбирается из 8 тканей 8 способами
2цвет выбирается 7 способами
3 цвет - 6способами
Используя правило умножения, получаем 8х7х6=336 способов.
18. В 9 классе 15 предметов. Завучу школы нужно составить расписание на субботу, если в этот день 5 уроков. Сколько различных вариантов расписания можно составить, если все уроки различные?
Из 15 предметов 5 любых можно выбрать 
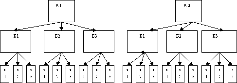
19. В огороде у бабушки растут 3 белые, 2 алые и 4 чайных розы. Сколькими различными способами можно составить букет из трех роз разного цвета?
1 способ. Обозначим белые - Б1, Б2, Б3, алые - А1,А2, чайные - Ч1, Ч2, Ч3,Ч4
Перечислим возможные варианты
Б1-А1-Ч1, Б1-А1-Ч2, Б1-А1-Ч3, Б1-А1-Ч4, Б1-А2-Ч1,Б1-А2-Ч2, Б1-А2-Ч3, Б1-А2-Ч4
Б2- А1-Ч1, Б2-А1-Ч2, Б2-А1-Ч3, Б2-А1-Ч4, Б2-А2-Ч1,Б2-А2-Ч2, Б2-А2-Ч3, Б2-А2-Ч4
Б3- А1-Ч1, Б3-А1-Ч2, Б3-А1-Ч3, Б3-А1-Ч4, Б3-А2-Ч1,Б3-А2-Ч2, Б3-А2-Ч3, Б3-А2-Ч4
Ответ: 24 варианта.
2способ. Дерево возможностей

3 способ. Используя правило умножения, получаем: 2х3х4=24
20. К 60-летию Победы группа школьников отправилась по местам боевых действий в Смоленской области. Они планировали осуществить поход по маршруту деревни Сосновка-Быковка- Масловка- Видово. Из С в Б можно проплыть по реке или пройти пешком, из Б в М- пешком или на автобусе, из М в В - по реке, пешком или автобусе. Сколько вариантов похода есть у щкольников?
1 способ. Обозначим СБ - путь из Сосновки в Бытовку, ВГ - путь из Быковки в Масловку, МВ - путь из Масловки в Видово.
По реке -Р, пешком - П, на автобусе - А
Перечислим возможные варианты:
СБР- БМП-МВР, СБР- БМП-МВП, СБР- БМП-МВА
СБР-БМА-МВР, СБР-БМА-МВП, СБР-БМА-МВА
СБА- БМП-МВР, СБА- БМП-МВП, СБА- БМП-МВА
СБА-БМА-МВР, СБА-БМА-МВП, СБА-БМА-МВА
Ответ: 12 вариантов.
2 способ. Дерево возможностей

ЛИТЕРАТУРА
1) Еженедельное учебно-методическое приложение "Математика" Изд. Пресса. Москва.1999 г
2) Ю.Н.Макарычев и др. Алгебра 9. Учебник для класса с углубленным изучением математики. Изд. Мнемозина, Москва.2005 год.
3) Л.Г. Петерсон. Математика 4 класс. Изд. Баласс. Москва.1999 г.
4) Ю.Н. Тюрин и др. Теория вероятностей и статистика. МЦНМО. Москва. 2004 год.