Активизация мыслительной деятельности на уроке математики
Главный плацдарм педагогического творчества - это школьный урок: на нем полностью может реализоваться извечная учительская потребность - передать, отдать, обучить.
«Преподавание» - есть искусство, а не ремесло в этом самый корень учительского дела. Перепробовать десять методов и выбрать cвой, пересмотреть десять учебников и не держаться ни одного неукоснительно - вот единственно возможный путь живого преподавания.
Главное богатство творческой лаборатории учителя - его личность, ее идейная убежденность, активная социально-профессиональная позиция доверенного лица общества в деле народного образования.
Основная форма работы учителя - урок.
Зарождение урока - это проявление его замысла. Он складывается из ряда элементов и важнейший из них - материал, установленный государственной программой. Учитель должен очень внимательно вчитываться в программу, изучать ее, по программе формулировать каждую тему урока. Кроме того надо ясно представлять, для кого готовится урок, кого учитель будет обучать. Ведь у каждого класса есть свой облик, и мы, как правило определяем его «умный класс», «очень способны, и добросовестный» или «Ох, уж этот 6-й» и т.д. Но мы знаем, что в обобщенном облике класса каждый ученик - это личность, каждый - целый мир. Есть ребята яркого ума, удивительной восприимчивости, пытливости, показывающие большую результативность иметь по данному предмету, или «засекреченные» мудрецы, остроумцы, люди необычайно, находчивости, а есть и равнодушные, высокомерные, бездушные, как в сказке «неразбуженные», словом всякие учим мы всех вместе, всех развиваем положительно - в этом наша обязанность и смысл нашего труда.
Научность, систематичность, последовательность, доступность, наглядность, сознательность, прочность знаний, умений, навыков должны в выступить в комплексе, находя свое оптимальное выражение в выбранных способах обучения. «Только целостное применение всех принципов дидактики, в тесном единстве и в необходимой мере, обеспечивает эффективное обучение в современной школе. Гарант такого рационального использования принципов дидактики и является принцип оптимизации всех элементов обучения и учебно-воспитательного процесса в целом», - подчеркивает Ю.К.Бабанский.
Учитель ищет разнообразные формы построения уроков, которые побуждали бы учиться к активной, самостоятельной деятельности. Урок - педагогическое произведение, в создании которого учитель выступает творцом, а не исполнителем чьей-либо указки.
Какие же методы обучения можно использовать в процессе учебном.
Нам близки и понятны такие методы обучения, как рассказ, беседа, лекция, показ иллюстраций, показ демонстрационных устройств и приборов, выполнение упражнений, трудовых заданий, лабораторных опытов, применение познавательных игр, учебных дискуссий, методов порицания и поощрения в учебной деятельности, применения проблемного изложения учебного материала, проблемных бесед, использования аналогий, применения методов самостоятельной работы с книгой, с обучающими машинами, использования устного опроса, письменных работ. Нам надо применить такие методы обучения, которые бы значительно лучше формировали у учащихся общеучебные умения и навыки, приемы самостоятельного овладения знаниями, формировать у учеников умение работать с книгой и другими источниками знания. Проблемно-направленные методы могут способствовать развитию творческих черт личности. Нам надо, чтобы школа стала школой активной учебы, упорного труда, гражданского становления подрастающего поколения.
Курс математики должен формировать возникновение сознательных и прочных вычислительных навыков. Вычислительная культура формируется на всех этапах изучения математики.
Одним из важнейших умений, которые обязана дать девятилетняя школа, является сознательное, быстрое и безошибочное выполнение действий над числами. Чтобы этого достичь, каждый урок начинается с устного счета (5 мин), или где могут быть использованы 3 вида вычислений: письменное, устное и письменное с промежуточными устными вычислениями.
Качество вычислительных умений определяется знанием правил и алгоритмов вычислений. Потому степень овладения вычислительными умениями зависит от четкости сформулированного правила и от понимания принципа его использования. Умение формируется в процессе выполнения целенаправленной системы упражнений. Очень важно овладение некоторыми вычислительными умениями доводить до навыка.
Например, с 5-классниками надо учить использовать распределительный, закон умножения:
- 13∙5 = (10 + 3) ∙5 = 10∙5 + 3∙5 = 50 + 15 = 65;
- 143∙5 = 500 + 200 + 15 = 715;
- 13∙22 = 13∙20 + 13∙2 = 260 + 26 = 286;
- 43∙25 = 43∙20 + 43∙5 = 860 + 215 = 1075.
Или же умножение на 11:
- 15∙11 = 165;
- 43∙11 = 473;
- 59∙11 = 649;
Или умножение числа с одинаковыми десятками:
- 12∙18 = 216;
- 43∙47 = 2021;
- 45∙45 = 2025.
Организация устных вычислений в методическом отношении представляет собой большую ценность. Устные упражнения используются как подготовительная ступень при объяснении нового материала как иллюстрация изучаемых правил, законов, для закрепления и повторения изученного, как метод активизации мыслительной деятельности учащегося. Готовясь к уроку надо отобрать материал, расположить его в систему, подумать переход от одного упражнений я к другому в соответствии с целью обучения. Особенно большое значение имеют устное упражнения для формирования сознательного усвоения законов и свойств арифметических действий.
Учащимся следует напомнить о том, что скорость и точность вычисления зависит во многом от того, как ведется оформление вычислительных работ на бумаге, письменные вычисления является основным видом вычислительной работы в школе на уроках физики, химии и других предметов. Полезно напоминать учащимся о том, что цифры надо писать четко, располагать при соответствующих вычислениях по вертикали одну под другую, не пропускать математические знаки, в многозначных числах не ставить точки. Приведу примеры устных упражнение.
Найти значение выражения:
|
25∙39∙4; |
(25 + 7)∙4 - 4; │5 кл |
|
59∙47 - 49∙47; |
288 + 0:9. │ |
|
139∙1 - 1∙0; |
|
Выполним действия:
- 73,2 : 30 - 20∙1,2 - 30,8 : 200 = 2,44 - 24 - 0.154 = ?
- (181,3 - 65,7) : 10 - 3(4,02 - 2,24) = ?
- 7,2 : 0,1 + 2(0,82 : 0,4 - 0,35) = ?
В пятом классе при изучении темы «Дополнение дроби до I» Можно использовать устные управления вида:
- 5 - 0,8;
- 6 - 3,13;
- 7 - 1,49;
- 2 - 0,103;
Для правильного выполнения сложения и вычитания дробей необходимо хорошее владение приведением дробей к наименьшему общему знаменателю. Здесь можно использовать такие устные управления.
Привести к общему знаменателю:
![]()
Находя их сумму и разность.
В 7 классе больше уделять внимания рациональным способам вычислений применение законов действий, различных приемов умножения, в частности не десятичные дроби: 0,2; 0,5; 0, 25; 0,125;
Например:

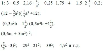
В 7 классах при отработке у учащихся приемов счета необходимо включать вычислительные примеры, устное выполнение которых предусматривает использование тождеств сокращенного умножения, разложение многочлена на множители, табличное умножение.
- 22;
- 392;
- 512;
- 10,12;
- 9,92;
- 352 - 432;
- 7,22 - 2,82;
- 47∙53;
- 29∙31;
- 132 + 2∙13∙7 + 72
- 0,32 + 2∙0,3∙0,2 + 0,22
С целью подготовки учащихся к изучению вопроса о сложении алгебраических дробей с различными знаменателями рекомендуется для повторения предложить на дом, а затем разобрать на уроке по теме «Сумма дробей, имеющих различные знаменатели» упражнения, подобные следующим:

Для активизации внимания уч-ся к вычислениям при изучении «Квадратные корни» предлагается внести некоторые изменения и дополнения в отдельно имеющиеся в учебнике упражнения.

Система устных вопросов может реализоваться в различных формах при опросе учащихся, при проведении беседа с классом, в виде различного вида фронтальных самостоятельных работ. Но наиболее эффективно проводить математические диктанты. Это позволяет достаточно четко определить уровень знаний каждого ученика в любой момент педагогического процесса, помогает воспитывать у учащихся ответственное отношение к работе: учащиеся привыкают к тому, что по каждой порции знаний проверка обязательна.
Можно предположить такую форму проведения математических диктантов в 5-6 классах. Перед началом занятия ученики в карточке записывают ответы на задания. После диктанта карточки собираются лаборанты, тут же проверяют ответы (формально опрашивается класс по заданиям диктанта), ответы записываются на доске. Тут же на уроке лаборанты-ученики проверяют карточки и зачеркивают неверные ответы и в графе «оценка» записывают количество правильно решенных заданий. В конце недели выставляется общая оценка за диктант.
В 5 классе при изучении темы «умножение десятичных дробей» можно предложить на неделю такие диктанты:
|
Дата |
1 задание |
2 |
3 |
4 |
5 |
Оценка |
|
Понедельник |
|
|
|
|
|
|
|
Вторник |
|
|
|
|
|
|
|
Среда |
|
|
|
|
|
|
|
Четверг |
|
|
|
|
|
|
|
Пятница |
|
|
|
|
|
|
|
Суббота |
|
|
|
|
|
|
Диктант 1.
1. Увеличить 3,2 на 0,9;
2. Уменьшить 16,3 на 8,4;
3. Какое число на 4, 08 меньше 5;
4. Округлив 12, 345 до сотых;
5. Собственная скорость баржи 20,2 км/ч, скорость течения реки 3,5 км/ч. С какой скоростью шла баржа по течению?
Диктант 2.
1. Выполнение умножение:
а) 10∙0,8;
б) 6∙0,2;
в) 0,18∙0
г) 0,3∙0,4
5. Купили 4 коробки конфет по 1,6 р. 2 пачки чая по 0,6 р. Сколько стоит вся покупка?
Диктант 3.
1. Выполнить умножение:
а) 0,7∙0,3;
б) 0,3∙0, ;
в)5∙0,1;
г) 0,01∙0,1.
2. Собственная скорость катера 12,3 км/ч, Скорость течения реки 2,3км/ч. Какое расстояние проплывает катер за 2 ч по течению реки?
Диктант 4.
1. Выполнить умножение:
а) 0,4∙1,3∙5
б) 0,8∙1,3∙10
в) 0,125∙1,1∙4
2. Решить уравнение.
1,3 + n = 6,7 - 3,4
3. В куске было 12,8 м шелка. Сколько метров шелка останется, если от него отрезать два по 3,5 м?
Диктант 5.
1. Выполнить умножение:
а) 0,3∙2;
б) 0,4∙3;
г) 0,4∙5;
д) 1,3∙4;
2. Миша заплатил за альбом 0,23 р. Сколько денег заплатил Сережа, если он купил 3 альбома?
Диктант 6.
1. Выполните действия:
а) 0,46∙1,3 + 0,54∙1,3;
б) 1,76∙9,8 - 0,76∙9,8;
в) 5,73∙6,2 - 0,73∙6,2 ;
г) 1,2 ∙ 1,4 ∙ 5.
2. Купили 2 кг яблок по 0,8 р. И 2 кг груш по 1,2 р. Сколько стоит вся покупка?
Использование различных приемов проверок решения повышает как вычислительную культуру, так и интерес к вычислениям.
Готовясь к уроку надо продумывать прием, которым надо пользоваться на уроке, для достижения цели.
Так при изучении деления рациональных чисел ученики устанавливают правило: при делении нуля на любое число получается нуль, делить же число на нуль - нельзя, это не имеет смысла. Дети принимает правило как истину, но в работе часто путают, меняя местами данные, ибо не проникли в тайну деления. Чтобы ее раскрыть и добиться полного усвоения правила в разработке замысла урока надо использовать математический софизм.
«4» = 5
20 + 4 - 24 = 25 + 5 - 30
4(5 + 1 - 6) ≠ 5(5 + 1 - 6) делить на 0 нельзя!
4 = 5
Или в 7 классе
4 = 5
16 - 36 = 25 - 45
16 - 36 + 20¼ = 25 -45 + 201∙4
(4 - 9/2)2 = (5 - 9/2)2
Такие вещи, конечно, лучше запомнятся!
При формировании практических умений, высока роль репродуктивных действий личности. Для развития абстрактного, словесно-логического мышления школьника можно отнести словесные, наглядные, практические методы. Более высоко можно оценить возможности проблемно-поисковых методов по сравнению с репродуктивными, хотя и последние вносят свой вклад в развитие целого ряда важных мыслительных операций. Дедуктивные методы входят на первый план в подгруппе логических методов обучения. При решении этой задачи трудно отдать предпочтение методам самостоятельной работы и методом работы под руководством учителя, т.к. развитие мышления в широком смысле этого слова, а не самостоятельности ей протекает на первом этапе под воздействием учителя, а затем уже в ходе самостоятельных упражнений. Поэтому возможности этих методов одинаковы. Контроль за степенью развития абстрактного мышления рационально осуществлять словесными, методами.
Для развития наглядного мышления особое значение имеют наглядные репродуктивные методы, дедуктивные методы, разнообразные познавательные игры.
Для развития самостоятельности мышления особенно эффективно можно использовать практические методы, связанные с выполнением логических упражнений, решением задач. Например, для 5 кл. можно использовать такую практическую работу.