Подготовка к ЕГЭ. Решение сложных заданий ЕГЭ-2019 по математике профильный уровень

09.01.2020

Скачать презентацию (3.30 МБ)

В данной работе предлагаются решения сложных заданий (№13 – №19) ЕГЭ-2019 по математике профильный уровень. Представленный здесь материал предназначен для подготовки к ЕГЭ учащихся, имеющих навыки в решении заданий подобного уровня сложности.

Задания №13, №14, №15, №17 могут быть предложены сильным учащимся обычных классов, а вот задания №16, №18, №19 целесообразно решать только с учащимися физико-математических классов, причем задание №19 под буквой «в» под силу только тем, кто имеет определенную подготовку в решении олимпиадных задач.

В задании №18 предлагается два метода решения (аналитический и координатно-параметрический), а так же отдельные этапы решений заданий №15 и №18 рассмотрены двумя способами.

Для оформления всех решений использована мультимедиа презентация, где материал представлен наглядно в ярком, интересном и доступном виде, что для учителя и учащихся будет ценно и полезно. Эту презентацию можно применять как на уроке, так и для индивидуальной работы.

Условия заданий и методические рекомендации по их решению.

№13

а) Решите уравнение .

б) Укажите корни этого уравнения, принадлежащие отрезку .

Задание №13 считается одним из самых легких среди заданий второй части ЕГЭ. Применяя основное тригонометрическое тождество и формулу приведения, получаем в левой части данного уравнения тригонометрическое выражение относительно sinx, которое можно способом группировки разложить на множители. Но гораздо легче будет привести подобные слагаемые и решить это уравнение, как квадратное относительно sinx.

Решить простейшее тригонометрическое уравнение предлагается с помощью числовой окружности. Важно, чтобы учащиеся имели хорошие навыки в работе с этой математической моделью.

Тогда и отбор корней лучше всего сделать на числовой окружности. Для этого нужно построить другую окружность, на которой изобразить данный отрезок и точки, соответствующие корням тригонометрического уравнения.

№14

В правильной треугольной пирамиде SABC сторона основания AB равна 6, а боковое ребро SA равно 7. На ребрах AB и SC отмечены точки К и М соответственно, причем АК:КВ = SM:MC = 1:5. Плоскость α содержит прямую КМ и параллельна прямой ВС.

а) Докажите, что плоскость α параллельна прямой SA.

б) Найдите угол между плоскостями α и SBC.

Стереометрическая задача  №14 является одной из самых сложных, не смотря на то, что она оценена всего лишь 2 баллами. В лучшем случае учащимися выполняется только  первая часть задачи на доказательство, тогда, как вторая часть под силу лишь не многим.

В предложенной задаче нужно сначала построить сечение пирамиды, плоскостью, проходящей через две точки и параллельно указанному ребру. Тогда линии пересечения секущей плоскости с соответствующими гранями должны быть параллельны этому ребру. Далее необходимо найти условия для применения признака параллельности прямой и плоскости.

Во второй части задачи нужно найти угол между плоскостью сечения и боковой гранью пирамиды. Здесь нужно хорошо знать признак перпендикулярности прямой и плоскости, свойства параллельных прямых, перпендикулярных плоскости, уметь находить линейный угол двугранного угла.

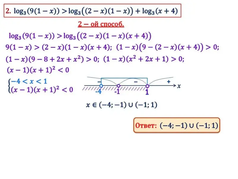
№15

Решите неравенство

Это не сложное 2-балльное задание. При решении логарифмического неравенства важно найти ОДЗ и, применяя свойства логарифмов и монотонность логарифмической функции, перейти к рациональному неравенству, которое легко решается методом интервалов.

№16

Точка О – центр вписанной в треугольник АВС окружности. Прямая ВО вторично пересекает описанную около этого треугольника окружность в точке Р.

а) Докажите, что ОР = СР.

б) Найдите радиус описанной около треугольника АВС окружности, если расстояние от точки Р до прямой АС равно 18, а угол АВС равен 60°.

Данная планиметрическая задача является не такой уж и сложной для тех, кто хорошо знает, где находится центр вписанной  в треугольник окружности, свойства биссектрисы, вписанных углов, свойства и признаки равнобедренного треугольника, теорему синусов для нахождения радиуса описанной около треугольника окружности.

№17

15-го января планируется взять кредит в банке на 49 месяцев. Условия возврата таковы:

- 1-го числа каждого месяца долг возрастает на 1% по сравнению с концом предыдущего месяца;

- со 2-го по 14-е число каждого месяца необходимо выплатить часть долга;

- 15-го числа каждого месяца долг должен быть на одну и ту же сумму меньше долга на 15-е число предыдущего месяца.

Какую сумму следует взять в кредит, чтобы общая сумма выплат после полного его погашения равнялась 2 млн. рублей?

Эта стандартная задача на дифференцированный платеж. Здесь важно иметь навыки решения задач такого типа. В работе предлагается табличный способ решения задачи, где все величины и данные и искомые обозначаются переменными, устанавливается между ними зависимость, а числовые данные подставляются в самом конце, чтобы получить уравнение с одной переменной и решить его.

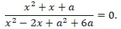
№18

Найдите все значения а, при каждом из которых имеет ровно два различных корня уравнение

Лучше всего решать это уравнение с параметром графическим методом. В знаменателе данной дроби нужно увидеть уравнение окружности и записать его в явном виде. Построив в координатной плоскости xOa  графики параболы и окружности, легко можно найти  значения параметра а, удовлетворяющие условию задачи.

Но можно решить это уравнение и аналитическим методом.

№19

Последовательность (аn) состоит из 100 натуральных чисел. Каждый следующий член последовательности, начиная со второго, либо вдвое меньше предыдущего, либо больше него на 90.

а) Может ли такая последовательность быть образована ровно четырьмя различными числами?

б) Чему может быть равно а100, если а1 = 89?

в) Какое наименьшее значение может принимать самое большое из чисел в такой последовательности?

В этой задаче вполне решаемые первые два пункта.

В пункте а) можно просто подобрать четыре числа, удовлетворяющие условию задачи и обязательно нужно показать и несколько следующих членов последовательности.

В пункте б) важно обосновать, что все числа в последовательности нечетные и образуют арифметическую прогрессию.

Решение в пункте в) сложное, здесь применяется метод: оценка плюс пример.


aid: 678765