Урок-семинар по теме: "Решение уравнений, содержащих знак абсолютной величины (модуля)"
"При изучении наук, примеры не менее
поучительны, нежели правила"
(Ньютон)
"Примеры учат больше, чем теория"
(Ломоносов)
Цель урока: Обобщение и систематизация знаний учащихся , развитие навыка решения уравнений и логического мышления учащихся.
Оборудование урока: таблица "Модуль", плакаты с изображением уравнений содержащих переменую под знаком модуля и с графическим способом решения уравнений.
Подготовка к уроку-семинару (на подготовку к семинару отводится две недели).
I.Всем учащимся даются задания для самостоятельного решения:
|
Записать в тетради решения уравнений вида: 1. |2x-3|=11 2. |2x-5|=5-4x 3. |4x-3|=4x-3 4. |x+2|+|x-3|=5 5. |x+1|-|x-2|+|3x+6|=5 6. 2u+v=7 |u-v|=2 7. 3|x+1|+2|y-2|=20 x+2y=4 8. 1+2|sinx|=2cos2x 9. x+1|+|y+1|=8 2x-|y+1|=5 10. |x+1|-|x|+3|x-1|-2|x-2|=x+2 11. Найти все значения, при которых система уравнения ах+(а-1)y = 2+4а 3|x|+2у=а-5. Имеет единственное решение. Найти это решение. |
Где решались: на вступительных экзаменах МИЭТ МГУЛ МГАТУ КПИ МФТИ МГУ
МГУ МГУ
Окружная олимпиада Московская олимпиада
МГТУ им. Баумана
|
Сообщается план семинара.
- Вступительное слово учителя.
- Сообщения об уравнениях.
- Некоторые способы решения уравнений, содержащих переменную под знаком модуля. (Сообщения учащихся).
а)Метод интервалов.
б)Графический метод.
в)Раскрытие модуля по определению
г)Два способа замены совокупностью систем.
д)Возведение обеих частей в квадрат
е)Метод замены неизвестного - Системы рациональных уравнений.
- Решение уравнения, в котором под знаком модуля находится выражение, тоже содержащее модуль. (Сообщение учителя).
- Подведение итогов семинара.
Сведения для учащихся (данные на предыдущих уроках)
Абсолютная величина в курсе средней школы.
Существенной характеристикой числа, как в действительной, так и в комплексной области является понятие его абсолютной величины (модуля).
Это понятие имеет широкое распространение в различных отделах физико-математических наук. Так, в математическом анализе одно из первых и фундаментальных понятий - понятие предела - в своем определении содержит понятие абсолютной величины числа. В теории приближенных вычислений первым, важнейшим понятием, является понятие абсолютной погрешности приближенного числа. В механике основным первоначальным понятием является понятие вектора, важнейшей характеристикой которого служит его абсолютная величина (модуль).
В практике преподавания математики в средней школе и других средних учебных заведениях понятие абсолютной величины числа (модуля числа) встречаются неоднократно.
В VI классе, в курсе приближенных вычислений, при уяснении понятия абсолютной погрешности приближенного числа формируется понятие абсолютной величины числа. Во втором полугодии VI класса вводится определение абсолютной величины числа, с помощью этого понятия формулируются правила действий над рациональными числами.
В VIII классе при рассмотрении свойств арифметического квадратного корня находит свое новое приложение понятие абсолютной величины числа.
В VIII классе при рассмотрении свойств арифметического квадратного корня находит свое новое приложение понятие абсолютной величины числа.
Например:
;
, где a*b>0, и другие.
В IX классе в теме "Степень с рациональным показателем" рассматриваются свойства корней n - й степени, где также используется понятие абсолютной величины числа; так, например,
, если m - четное;
, если m - нечетное.
В IX классе при изучении предела последовательности учащиеся необходимо встречаются с выражениями вида: ![]()
В X классе понятие абсолютной величины числа встречается при изучении предела функций, при исследование функций на ограниченность и при изучение комплексных чисел, где понятие абсолютной величины получает свое дальнейшее развитие в более общей числовой области.
Таким образом, во всех классах, в соответствии с учебной программой, следует включать и рассматривать упражнения, содержащие знак абсолютной величины числа.
В VI классе можно решать уравнения вида:
k * |x| + b = k1 * |x| + b1 и |k*x+b|=a.
В VII классе имеется возможность рассматривать решения уравнений вида |k*|x|+b|=c; |kx+b|=ax+c и т.п., систем уравнений вида:
|2x-y|=1
|x+2y|=2x-4
а так же построение графиков функций вида:
y=k*|x|+b; y=|k*x+b|; y=|k*|x|+b|; y=1/|x| и др.
В VIII классе приложения понятия абсолютной величины распространяются на квадратные уравнения, график квадратного трехчлена и др. Можно решать уравнения вида:
ax2+b*|x|+c=0;![]()
Можно рассмотреть построение графиков функций:
;
y=ax2+b*|x|+c;
y=|ax2+bx+c|;
y=|ax2+b*|x|+c|;
;
;
y=||||x|-2|+1|-3| и др.
При построении графиков целесообразно пользоваться методом преобразования графиков (Параллельный перенос, симметрия и др.).
В IX-X классе решение уравнений, систем уравнений, неравенств и построение графиков функций, аналитические выражения которых содержат знак абсолютной величины, рассматриваются для трансцентдентных функций и уравнений, изучаемых в школе.
При изучении комплексных чисел можно рассмотреть простейшие упражнения на равенство и неравенство модулей комплексных чисел.
В настоящей работе подобраны решения лишь таких вопросов, связанных с понятием абсолютной величины, какие могут быть рассмотрены в средней школе.
Вместе с этим в настоящей работе имеются такие вопросы и примеры, рассмотрение которых целесообразно в системе внеклассной работы. Эта работа может быть рекомендована и наиболее любознательным учащимся для самостоятельного ознакомления их со всеми рассмотренными здесь вопросами. При решении некоторых практических задач часто возникает необходимость рассмотрения абсолютных значений исследуемых абсолютными величинами. Например:
Задача №1.
Смежные стороны четырехугольника равны 3 и 2. Две другие вместе с диагональю образуют правильный треугольник. Найти наибольшее значение второй диагонали.
Задача №2.
Найти наименьшее значение функции:
![]()
Задача №3.
Найти функцию, обратную функции y=|x|+2, где x>0 и установить область определения новой функции.
Ход урока.
Вступительное слово учителя. Сообщается план семинара и почему именно эта тема выбрана.
Вступительное слово учителя.
Математика за 2500 лет своего существования накопила богатейший инструмент для исследования окружающего нас мира. Однако, как заметил один из ведущих математиков, кораблестроителей академик Крылов, человек обращается к математике не затем, чтобы любоваться неисчислимыми сокровищами, ему, прежде всего, необходимо ознакомиться со столетними испытанными инструментами, научится ими искусно владеть.
Существенной характеристикой действительного числа является абсолютная величина. Это понятие имеет широкое распространение в различных отделах физико-математических и технических наук. Так в математическом анализе одно из первых и фундаментальных понятий - понятие предела - в своем определении содержит понятие абсолютной величины числа. В теории приближенных вычислений первым важнейшим понятием является понятие абсолютной погрешности приближенного числа. В механике основным первоначальным понятием является понятие вектора, важнейшей характеристикой которого служит его абсолютная величина.
При решении уравнений, содержащих переменную под знаком модуля, чаще всего применяются следующих методы: 1) раскрытие модуля по определению, 2) возведение обоих частей в квадрат, 3) метод разбиения на промежутки, 4) графический метод…
Сообщение №1 Уравнения.
Записывать и решать уравнения начали арабы в первом тысячелетие нашей эры. До тех пор решение задач было исключительно арифметическим - из многих действий. В тот момент, когда появилась блестящая идея находить неизвестное из этих соотношений, родилась алгебра.
Слово "алгебра" - арабского происхождения; великий ученый арабского мира Аль-Хорезми называл перенесение членов из одной части равенства в другую так, чтобы они стали положительными, слово "аль-джебр" (восстановление), а словом "аль-мукабала" (противопоставление), исчезнувшим ныне из математического языка, называлось приведение подобных членов, в результате которого в уравнении для каждой степени неизвестного остается только один положительный член.
В те времена не было еще общепринятых теперь обозначений переменных буквами, а действий - знаками. Уравнения записывались словами. Но и в такой "словесной форме" уравнения существенно облегчали жизнь. Арифметика (как и классическая геометрия) не знала общих подходов к решению задач, но для каждой новой задачи нужно было подбирать новое решение.
Применение уравнений упрощает решение задач; но самое замечательное то, что одним и тем же уравнением могут описываться совершенно разные ситуации. Научившись решать некоторый тип уравнений, можно тем самым справится с целыми классами задач, описывающихся уравнениями этого типа.
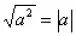
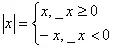
Сообщение №2 "Некоторые способы решения уравнений с модулями". Напомним сначала определение числа x:
![]()
Приведем также основные свойства модуля, часто применяемых в решение задач:
- |ab|=|a||b|;
2) |a|n=|an|;

- |x|=0, если x=0
Поговорим о некоторых способах решения задач с модулем. Среди них один занимает самое главное место, так как он является самым общим, однако, иногда не самым рациональным. Заключается он в следующем.
Метод интервалов.
Предположим, что имеется уравнение или неравенство, в которое входят один или несколько модулей.
- Первым делом нужно отделить критические точки. Под этим мы понимаем все значения переменной, при которых один из модулей обращается в нуль.
- Нанесите полученное множество значений на ось данной переменной, например Ox. Прямая разобьется на несколько конечных и два бесконечных интервала. Каждый интервал соответствует знакопостоянству подмодульных выражений.
- Рассмотреть столько случаев решения, сколько получилось интервалов. При этом освобождаться от модулей нужно, проверяя знак подмодульного выражения. Т.е. изменять его на противоположный, если выражение отрицательно и оставлять его прежним в противном случае. Важно не забыть, что частным ответом в каждом из полученных случаев является пересечение интервала и найденного решения.
- Объединить полученные в каждом интервале ответы в один.
Рассмотрим подробнее этот метод на следующем примере.
|x + 2| + |x - 3| = 5
Нанесем на числовую прямую значение x, при котором x + 2 = 0 и значение x, при котором x - 3 = 0. Числовая прямая разобьется на промежутки (-
; -2), [-2; 3], (3; +
).
![]()
Решим уравнений на каждом из этих интервалов.
|
X |
(- |
[-2;3] | (3; + |
|
X+2 |
- | + -+ | + |
|
x-3 |
- | - - | + |
Рассмотрим первый промежуток, чтобы определить знак подмодульного выражения, возьмем контрольную точку x = 3, подставим ее в наше уравнение -3 + 2 < 0 и во второе -3 - 3 < 0. Аналогично рассмотрим знаки подмодульных выражений на втором и третьем промежутках.
Решим уравнение на каждом из этих промежутков, т.е. решим равносильную уравнению совокупность смешанных систем:
1)
![]()
-х - 2 - х + 3 = 5
-2х + 1 = 5
-2х = 4
х = -2
-2![]()
Не может быть корнем.
2)
![]()
х + 2 - х + 3 = 5
0х = 0
x любое число из [-2; 3].
3)
![]()
х + 2 + х - 3 = 5,
x = 3
3, не может быть корнем.
Вывод: Решение второй системы является объединением решений 3-х систем.
Ответ: x принадлежит [-2;3] или все значения сегмента [-2;3].
Сообщение №3 Графический метод.
Этот способ уже не столь универсален, но им нельзя пренебрегать, если он применим. Часто уравнение или неравенства с модулем содержит только линейные выражения относительно переменной. В этом случае существует очень простой рецепт построения графиков с модулями, что часто существенно облегчает решение задачи. Он базируется на простом замечании - графики таких выражений состоят из кусков линий, т.е. являются ломаными. Метод состоит в следующем:
- Найти, как и раньше, все критические точки и нанести их на ось абсцисс. Найти непосредственно значения заданной функции в этих точках (это удобно делать с помощью отдельной таблицы) и нанести их на координатную плоскость.
- В каждой из конечных интервалов, получаемых после разбиения критическими точками, график является прямой и может быть простым соединением нанесенных в предыдущем пункте точек на координатной плоскости.
- Выбрать две удобные для вычисления точки, расположенные в левом и правом бесконечных интервалах и аналогично п.1 найти значения функций в них. Окончательно, соединяя построенный участок графика с оставшимися двумя точками, получим требуемый график.
Проиллюстрируем это на примере построения графика |x+2|+|x-3|=5. Построим график функции
у = |x + 2| + |x - 3| и y = 5
х + 2 = 0 x -3 = 0
x1 = -2 x2 = 3
![]()
Наносим на ось корни линейных функций стоящих под знаком модуля. На каждом из трех промежутков знаки этих линейных функций постоянны и мы можем избавиться от знака модуля.
если x < - 2, то y =-(x + 2) - (x - 3) = -2x + 1
если -2 < x < 3, то y = +(x + 2) - (x - 3) = x + 2 - x + 3 = 5
если x > 3, то y = +(x + 2) + (x - 3) = 2x - 1
При построении графика провести вертикальные прямые x = -2 и x = 3, которые разобьют плоскость на три части. В левой части надо провести прямую y = -2x + 1, в центральной полосе y = 5 и в правой y = 2x - 1: (для контроля надо следить, чтобы ломаная была непрерывной, т.е. чтобы значения в разделяющих точках изломах, вычисленные по соседним формулам совпали). В нашем случае при x - 2 значение функции y = -2x + 1 совпадает со значением y = 5, точно так же при x = 3 совпадают значения функции y = 5 и y = 2x - 1.
Строим график
, y = 5
1) y = -2x + 1
|
Х |
-3 |
-4 |
|
У |
7 |
9 |
2) у = 5
3) y = 2x - 1
| Х | 4 | 5 |
| У | 7 | 9 |

Графики y = |x + 2| + |x - 3| и y = 5 пересекаются на промежутке, если x принадлежит [-2; 3]
Ответ: x принадлежит [-2; 3]
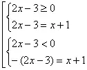
Сообщение №4 Раскрытие модуля по определению и возведение обеих частей уравнения в квадрат.
Решим уравнение
|2x - 3| = x + 1
Решение. Это уравнение, может быть решено по определению. При решении получим равносильную уравнению следующую совокупность смешанных систем.

1) ![]()
является корнем уравнения.
2) ![]()
2.3
является корнем уравнения.
Ответ. х1 = 4, х2 = 2.3.
