Элективный курс "Изображение пространственных фигур"
Пояснительная записка
Предлагаемая программа предназначена для учащихся 10-11 классов средних школ. Программа позволяет получить представление о целях и содержании обучения изображения пространственных фигур при обучении по учебному пособию для общеобразовательных учреждений И.М.Смирновой, В.А.Смирнова «Изображение пространственных фигур» элективный курс 10-11 классы, которое допущено Министерством образования и науки Российской Федерации, издательство Мнемозина. Москва 2007 г.
Курс имеет общие цели - углубить знания учащихся, получаемые ими при изучении основного курса стереометрии, развивать их интерес к предмету, любознательность, смекалку, повышать логическую культуру. Умение изображать пространственные фигуры необходимо не только будущему математику, физику, инженеру, конструктору, но и скульптору, архитектору, художнику, дизайнеру.
Темы курсовых занятий примыкают к основному курсу, углубляя отдельные, наиболее важные вопросы, систематизируя материал, изучаемый на уроках в разное время, дополняя основной курс сведениями, важными в общеобразовательном или прикладном отношении.
Обучаясь правильно изображать пространственные фигуры, ученик знакомится с законами восприятия окружающих его предметов, приобретает необходимые практические навыки, формирует пространственные представления.
Особое внимание уделяется решению задач повышенной трудности, так как математика является профилирующим предметом на вступительных экзаменах в вузы по широкому спектру специальностей.
Отдельно рассматривается вопрос об использовании компьютерных графических редакторов для получения изображений пространственных фигур на экране монитора.
Программа рассчитана на 17 часов.
Цели:
- повышение интереса учащихся к изучению геометрии, углубление понимания ими изучаемого фактического материала;
- расширение умственного кругозора учащихся и повышение их общей «геометрической» культуры.
Задачи:
- формирование системы математических знаний учащихся;
- создание условий, способствующих повышению уровня образованности учащихся;
- развитие пространственного мышления.
Содержание
1. Параллельное проектирование.
Определение параллельного проектирования. Свойства параллельного проектирования и их доказательства.
Основная цель - обобщить и систематизировать знания о параллельном проектировании, научить применять свойства: о параллельном проектировании прямой, отрезка, двух прямых при решении задач.
2. Параллельные проекции плоских фигур.
Дать понятие о параллельном проектировании треугольника, правильного шестиугольника, окружности.
Основная цель - научить изображать проекции различных плоских фигур, конфигураций треугольника и окружности, квадрата и окружности, окружности и правильных многоугольников. Научить видеть в какую фигуру могут проектироваться различные плоские многоугольники при параллельном проектировании. Восстанавливать исходную фигуру по ее проекции.
3. Изображение пространственных фигур в параллельной проекции.
Привести примеры изображений пространственных фигур на плоскости: куба, пирамиды, призмы, конуса, Познакомить с импоссибилизмом в живописи.
Основная цель - научить правильно изображать пространственные фигуры на плоскости, находить элементы фигуры, если дано его изображение.
Расширить геометрический кругозор.
4. Сечение многогранников.
Метод нахождения точки пересечения прямой и плоскости по заданным двум точкам этой прямой и их проекциям на плоскость. Сечения куба, пирамиды с помощью следов.
Основная цель - научить строить сечения многогранников. Определять форму сечения различных многогранников.
5. Ортогональное проектирование.
Определение ортогонального проектирования. Свойства ортогонального проектирования. Использование его для изображения тел вращения: цилиндра, конуса, сферы, а также комбинаций многогранников и тел вращения. Построение ортогональной проекции прямого трехгранного угла.
Основная цель - научить правильно изображать комбинации тел: куба и сферы, пирамиды и сферы, сферы и плоских фигур.
6. Центральное проектирование. Перспектива.
Центральное проектирование. Перспектива. Три основные части перспективы. Линейная перспектива. Свойства и теоремы центрального проектирования.
Основная цель - изучить свойства центрального проектирования, использовать их при восстановлении изображения фигур при данном проектировании. Научить строить сечения конуса, строить центральные проекции куба, пирамиды, находить элементы данных тел по их проекциям.
7. Использование графического редактора «ADOBE ILLUSTRATOR» или CorelDraw X3 для изображения пространственных фигур.
Графический редактор «Adobe illustrator». Его преимущества перед построением циркулем и линейкой.
Основная цель - изучить программу, использовать при изображении пространственных фигур.
Методы работы.
- Лекции, беседы, объяснения.
- Выполнения тренировочных упражнений.
Формы работы
- Устные сообщения учащихся.
- Практикум по решению задач.
- Написание творческих работ.
- Семинар, презентация проектов.
Литература
- Бескин Н.М. Методы изображений. Энциклопедия элементарной математики. Кн. IV. - М.: Физматлит, 1963.
- Василевский А.Б. Метод параллельных проекций. - Минск: Народная асвета, 1985.
- Васильев Н.Б., С.А. Молчанов и др. Математические соревнования (геометрия). «Наука» Москва 1974.
- Костицин В.Н. Моделирование на уроках геометрии. - М: Владос, 2000.
- Корнеева А.О. Геометрические построения в курсе средней школы. Учебное пособие. Саратов «Лицей» 2003.
- Макарова М.Н. Перспектива. - М.: Просвещение, 1989.
- Польский И.Г. Проекционный чертеж и построения на нем. - М.:Учпедгиз, 1962.
- Смирнова И.М., Смирнов В.А. Геометрия. Учебник для 10 - 11 классов общеобразовательных учреждений. - М.: Мнемозина, 2003.
- Смирнова И.М., Смирнов В.А. Изображение пространственных фигур. Элективный курс. 10 - 11 классы. - М.: Мнемозина 2007.
- Четвертухин Н.Ф. Чертежи пространственных фигур в курсе геометрии. - М.: Учпедгиз, 1946.
- Четвертухин Н.Ф. Стереометрические задачи на проекционном чертеже. Педагогическая библиотека учителя. АПН РСФСР Москва 1948 Ленинград.
- Четвертухин Н.Ф. Стереометрические задачи на проекционном чертеже. - 3-е изд. - М.: Учпедгиз, 1955.
Тематическое планирование материала
|
Пункт
|
Содержание |
Количество часов |
|
1 |
Параллельное проектирование |
2 |
|
2 |
Параллельные проекции плоских фигур |
2 |
|
3 |
Изображение пространственных фигур в параллельной проекции |
2 |
|
4 |
Сечение многогранников |
2 |
|
5 |
Ортогональное проектирование |
2 |
|
6 |
Центральное проектирование. Перспектива. |
3 |
|
7 |
Использование графического редактора «Adobe illustrator» |
2 |
|
8 |
Зачет |
2 |
|
|
Итого: |
17 |
Занятие № 1. Тема: «Параллельное проектирование»
План.
- Вступительное слово учителя.
- Изложение нового материала.
- Решение задач на закрепление нового материала.
- Домашнее задание.
Оборудование:
- Мультимедийный проектор, экран.
- Макеты плоскостей, прямых.
Ход работы
1. Вступительное слово учителя.
Данный курс посвящен изображению пространственных фигур. Мы рассмотрим способы изображения пространственных фигур с использованием различных проекций: параллельной, ортогональной, центральной. Параллельная проекция удобна для изображения многогранников и построения их сечений. Ортогональное проектирование используется для изображения тел вращения: цилиндра, конуса, сферы, а также комбинаций многогранников и тел вращения. Центральное проектирование, или перспектива, наиболее близко к зрительному восприятию человеком окружающих предметов. Для указанных проекций доказываются свойства.
2. Параллельное проектирование.
Все мы видели тени предметов на земле от пучка параллельных солнечных лучей, это и есть параллельная проекция данного предмета на плоскость - землю. Построим параллельную проекцию точки А на плоскость α по направлению прямой ŀ. Для этого через произвольную точку А, не принадлежащую прямой l, проведем прямую а, параллельную прямой l. Точка пересечения этой прямой с плоскостью, точка А/, называется параллельной проекцией точки А на плоскость α в направлении прямой l. (слайд 2).
Каждой точке пространства сопоставляется ее проекция на плоскость. Это соответсвие называется параллельным проектированием на плоскость α в направлении прямой ŀ.


Слайд 3
Проекцией некоторой фигуры Ф на плоскость есть проекции ее точек на эту плоскость, которые образуют некоторую фигуру Ф'. Чертежи, полученные при помощи параллельного проектирования, обладают геометрическими свойствами, которые следуют иметь в виду при построениях на проекционных чертежах. (Слайд 3)
В чем же заключаются эти свойства?
Свойство 1. Если прямая параллельна или совпадает с прямой l, то ее проекцией в направлении этой прямой является точка пересечения этой прямой и плоскости. Если прямая не параллельна и не совпадает с прямой l, то ее проекцией является прямая.
Доказательство. (слайд 4)

Слайд 4
Ясно, что если прямая k параллельна или совпадает с прямой l, то ее проекцией в направлении этой прямой на плоскость α будет точка пересечения прямой l и плоскости α. Пусть k не совпадает с прямой l. Возьмем какую-нибудь точку А на прямой k и проведем через нее прямую а, параллельную l. Ее пересечение с плоскостью проектирования α даст точку А', являющуюся проекцией точки А. Через прямые а и k проведем плоскость β . Ее пересечением с плоскостью α будет искомая прямая k' , являющуюся проекцией прямой k.
Свойство 2. (слайд 5) Проекция отрезка при параллельном проектировании есть точка или отрезок, в зависимости от того лежит он на прямой l, параллельной или совпадающей с прямой l, или нет. Параллельное проектирование сохраняет отношение длин отрезков, лежащих на прямой, не параллельной и не совпадающей с прямой l. В частности, при параллельном проектировании середина отрезка переходит в середину соответствующего отрезка.
Доказательство.
Ясно, что если отрезок лежит на прямой, параллельной или совпадающей с прямой l, то его проекцией будет точка. Пусть точки A, B, и C лежат на прямой k , не параллельной и не совпадающей с прямой l;k' - проекция прямой k на плоскость α в направлении прямой l; A'; B'; C' - проекции точек A, B, и C соответственно; a; b; c - соответствующие прямые, проходящие через эти точки и параллельные прямой l. Тогда из теоремы Фалеса планиметрии следует равенство отношений AB : BC = A'B' : B'C'. В частности, если точка B - середина отрезка AC, то B' - середина отрезка A'C'.

Слайд 5
Свойство 3. Если две параллельные прямые, не параллельны прямой l, то их проекции в направлении l могут быть или параллельными прямыми, или одной прямой.
Доказательство (слайд 6; 7)
Пусть k1, k2 - параллельные прямые, не параллельные прямой l. Так же как и доказательстве свойства 1, рассмотрим плоскости α1; α2, линии пересечения которых с плоскостью α дают проекции k1', k2' прямых k1, k2 соответственно. Если плоскости α1 и α2 совпадают, то проекции прямых k1, k2 также совпадают. Если эти плоскости различны, то они параллельны между собой, по признаку параллельности плоскостей (прямая k1 параллельна прямой k2, прямая A1A1' параллельна прямой A2A2'). В силу свойства параллельных плоскостей, линии пересечения этих плоскостей с плоскостью α параллельны.

3. Решение задач на закрепление нового материала.
Решить устно № 1; 4; 5.
Решить письменно с чертежами: № 2; 3; 6; 20 решение на слайдах.
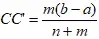
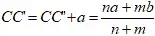
№ 20. Решение:

Пусть A', B',C' - проекции точек A, B, C соответственно. Если числа a и b равны, то CC' также им равняется. Предположим, что
a<b. Через точку A проведем прямую, параллельную A'B', и точки ее пересечения с прямыми BB', CC' обозначим B', C'. Из
подобия треугольников ABB' и ACC' следует, что CC':BB'=m:(n+m). Так как BB'=b-a, имеем
и, следовательно,
.
4. Домашнее задание № 19; 13; 10.