Решение задач по теме "КПД тепловых двигателей. Термодинамика". 10-й класс
Скачать презентацию (5.71 МБ)
Цели урока:
- научиться применять физические законы к решению задач;
- осознание практической значимости применения физических законов;
- научиться оценивать работу.
Оборудование: задачник А.П.Рымкевич, карточки для проверки д.з. (&81-83, в тетради), ПК, презентация.
План-конспект урока
|
Этап урока |
Деятельность учителя |
Деятельность учащихся |
время |
||
|
1. Организационный момент |
Приветствие
|
Повторяют д.з. |
1-3 мин. |
||
|
2. Сообщение темы.
|
- Запишем тему урока: «Решение задач по теме «КПД тепловых двигателей»». Д. З.: &81-83, в тетради + задачи (№676, 678 Рымкевич). - Какие цели мы сегодня поставим перед собой, исходя из темы урока? - Чем для вас может быть важна тема урока? - Скажите, данная тема вам знакома? Откуда? - Напомните, наука физика - какая? |
Записывают тему урока (слайд 1)
Предлагают варианты ответов (экспериментальная, точная, сложная, жизненная и др.) Пытаются ответить на вопрос
|
5-7 мин. |
||
|
- Тогда такой вопрос: можем ли мы себя считать тепловым двигателем? - Какие основные элементы у нас для этого должны быть? |
- нагреватель, рабочее тело, холодильник);
- у нас есть внутренние и внешние нагреватели; - рабочее тело - органы и организм в целом; - у нас есть выделительные системы - мочеполовая, дыхательная, кожная), за счет которых мы регулируем внутренние процессы. Если дети затрудняются - наводящие вопросы. |
||||
|
3. Создание ситуации затруднения. Повторение изученного материала. Закрепление |
- Итак, прежде чем приступить к решению задач, давайте, выясним, достаточно ли у нас знаний по теме и проверим себя:
- У вас 3 мин. На выполнение задания.
|
Слушают учителя
Передают задания с 1-й последующим партам
Проверяют работу соседа |
5-7 мин. |
||
|
|
15-17 мин. |
||||
|
4. Выполнение заданий |
- Применим полученные знания к решению задач.
|
Берут задачник |
1 мин. |
||
|
- Напоминаю, что ≈70% успешности решения задач - это верно проанализированное условие задачи и полное составление «Дано». Для этого прочтем условие задачи несколько раз и перескажем его (по желанию). У вас 0,5 мин. |
Вникают в условие задачи |
0,5 мин. |
|||
|
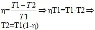
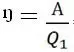
- Теперь оформим «Дано». Начинаем с искомой величины. - Про Q2 в задаче ничего не сказано =˃ его в «Дано» не будет (холодильник).
- Есть ли вопросы? |
Следят за объяснениями учителя
- с готовой формулы для искомой величины;
- с формулы, связывающей известные величины:
Подсказывают формулу:
|
7-9 мин. |
|||
|
|
27-29 мин. |
||||
|
5. Рефлексия |
- Сейчас я вам предлагаю проверить себя и самостоятельно решить задачу на оценку. Приготовьте лист, подпишите, если есть желание - можно решить у доски (закрыть). Задание на доске
(слайд 7), у вас 7 мин.:
|
Достают листы, подписывают, решают в тетради |
7-8 мин.
1-2 мин. |
||


