Урок-обобщение по теме "Дифракционная решетка". 11-й класс
Тип урока: урок обобщения и систематизации знаний.
Форма организации урока: фронтальная, групповая.
Цели урока:
- обучающие: повторение, систематизация и углубление знаний учащихся по данной теме;
- развивающие: развитие логического мышления, устной речи, познавательной активности, самостоятельности, умения мыслить, сравнивать и обобщать, полученные результаты, делать выводы;
- воспитательные: воспитание упорства, трудолюбия, честности.
Оборудование: компьютер, видеопроектор, интерактивная доска.
Пояснительная записка
Данный материал рекомендуется при обобщении знаний по данной теме или при подготовке к ЕГЭ. Занятие рассчитано на два урока.
Перечень задач составлен на основе предварительной работы учащихся, т.е. ребята находят в различных источниках задачи по данной теме.
Учитель объединяет их по группам и предлагает для общего рассмотрения. Для работы класс делим на уроке на группы, каждой группе предлагается решить по две задачи. Решение задачи группа представляет на обсуждение всему классу. Для закрепления данной темы предлагаются две задачи для самостоятельного решения дома.
Повторение теоретических вопросов (сообщение учителя):
- Определение дифракции света.
- Условие наблюдения дифракции света.
- Понятие дифракционной решетки.
- Формула дифракционной решетки.
- Способ определения длины световой волны с помощью дифракционной решетки.
На данном занятии рекомендуется рассмотреть следующие типы задач:
- Определение угла отклонения световых лучей.
- Определение максимального значения порядка спектров.
- Определение числа штрихов дифракционной решетки.
- Определение расстояния от центра до данной линии в дифракционном спектре.
- Определение ширины спектра.
- Решение задач, если происходит перекрытие спектров.
Структура урока
- Организационный момент. Постановка цели и задач урока. - 1 мин
- Фронтальное повторение. Актуализация задач урока - 10 мин
- Итоговые вопросы учащихся и учителя, подкрепленные фронтальными демонстрациями. - 15 мин
- Решение задач с использованием интерактивной доски. - 60 мин
- Домашнее задание. Итоги урока - 4 мин
Ход урока
I. Организационный момент. Постановка задач урока
II. Фронтальное повторение. Актуализация задач урока (Сообщение учителя)
Теоретический материал с фронтальными демонстрациями и фотографиями на слайдах презентации.
- Определение дифракции света.
- Опыт Томаса Юнга по дифракции света.
- Дифракционная решетка.
- Дифракционный спектр.
- Формула дифракционной решетки.
- Определение длины волны света при помощи дифракционной решетки.
- Примеры наблюдения дифракции света.
- Различие дифракционного и дисперсионного спектров.
III. Итоговые вопросы учащихся и учителя
А) «Вопрос - ответ».
Примерные вопросы учащиеся задают друг другу (вопросы были заготовлены ребятами дома):
1. Дать определение, что является когерентным источником света.
2. Что называется дифракционной решеткой?
3. При каких условиях наблюдается дифракция света?
4. Отражательная дифракционная решетка, из чего она состоит?
5. Прозрачная дифракционная решетка, из чего она состоит?
6. Какая дифракционная решетка лучше, в которой 100 или 600 штрихов на 1 мм?
7. При каком условии наблюдается дифракция?
8. Для чего используется дифракционная решетка?
Б) Дополнительные вопросы учителя.
1. При изготовлении искусственных перламутровых пуговиц используется технология нанесения множества штрихов на их поверхность. Почему в результате они приобретают радужную окраску?
2. Почему имеет радужную окраску лазерный диск?
3. Чем отличается дифракционный спектр от дисперсионного (призматического спектра)?
4. Зависит ли положение главных максимумов дифракционного спектра от числа щелей решетки?
5. Почему дифракционные спектры всех порядков начинаются с фиолетовой полосы, а заканчиваются красной?
6. Сколько штрихов на лабораторных дифракционных решетках? (100 и 600 штрихов на 1 мм).
IV. Решение задач
Каждая группа выбирает по две задачи и в течение 5-7 мин обсуждают решение данных задач. После обсуждения около доски предлагают ход решения каждой задачи, после чего все на местах заканчивают оформление данных задач.
Задача 1. Дифракционная решетка, постоянная которой равна 0,004 мм, освещается светом с длиной волны 687 нм. Под каким углом к решетке нужно проводить наблюдение, чтобы видеть
изображение спектра второго порядка?
Решение: dsinφ =kλ; sinφ =
; sinφ = 0,3435; φ ≈ 20o.
Ответ: φ ≈ 20o.
Задача 2. На дифракционную решетку, имеющую 500 штрихов на 1 мм, падает монохроматический свет длиной волны 500 нм. Свет падает на решетку перпендикулярно. Какой наибольший порядок спектра можно наблюдать?
Решение: максимальный порядок можно рассматривать при наибольшем значении угла отклонения, т.е. 90o . Поэтому, если φ = 90o, то sinφ = 1, dsinφ =kmaxλ → kmax=
.
Ответ: kmax= 4.
Задача 3. Дифракционная решетка расположена параллельно экрану на расстоянии 0,75 м от него. Определите количество штрихов на 1 мм для этой дифракционной решетки, если при нормальном падении на нее светового пучка с длиной волны 400 нм первый дифракционный максимум на экране находится на расстоянии 3 см от центральной светлой полосы.

![]()
Ответ: N = 1000.
Задача 4. Дифракционная решетка, период которой равен 0,0005 мм, расположена параллельно экрану на расстоянии 1,6 м от него и освещается пучком света длиной волны 0,6 мкм, падающим по нормали к решетке. Определите расстояние между центром дифракционной картины и вторым максимумом. Считать, что sinφ ≈ tgφ
![]()
Ответ: x = 0,0384 м.
Задача 5. Спектры второго и третьего порядков в видимой области дифракционной решетки частично перекрываются друг с другом. Какой длине волны в спектре третьего порядка соответствует длина волны 700 нм в спектре второго порядка?
Решение: так как спектры частично перекрываются, то x1 = x2.
Из предыдущей задачи k 1λ1 = k 2λ2 и λ2 = k 1λ 1 /k 2.
Ответ: λ2 = 467 нм.
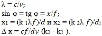
Задача 6. Какова ширина всего спектра первого порядка (длины волн заключены в пределах от 380 нм до 760 нм), полученного на экране, отстоящем на 3 м от дифракционной решетки с периодом 0,01 мм?
Решение: чтобы определить ширину спектра первого порядка, нужно найти разницу между расстояниями от центральной линии до линии в этом спектре, соответствующем данным длинам волны. Т.е. ∆ x = x2 - x1. Из предыдущих задач следует, что
![]()
Ответ: ∆ x = 0,114 м.
Задача 7. На дифракционную решетку падает нормально параллельный пучок белого света. Между решеткой и экраном вплотную к решетке расположена линза, которая фокусирует свет, проходящий через решетку, на экране. Чему равно число штрихов на 1 см, если расстояние до экрана 2 м, а ширина спектра первого порядка 4 см. Длины красной и фиолетовой волн соответственно равны 800 нм и 400 нм.
Решение: Используя решение предыдущей задачи имеем:

Ответ: N =500.
Задача 8. Плоская монохроматическая волна с частотой 8•1014 Гц падает по нормали на дифракционную решетку с периодом 5 мкм. Параллельно решетке позади нее размещена собирающая линза с фокусным расстоянием 20 см. Дифракционная картина наблюдается на экране в фокальной плоскости линзы. Найдите расстояние между ее главными максимумами 1 и 2 порядков.
Решение: при прохождении лучей через систему «дифракционная решетка и линза» можно считать, что расстояние до экрана f = F. Поэтому:
d sin φ =kλ;

Ответ: ∆ x = 0,015 м.
Задача 9. Плоская монохроматическая световая волна с частотой ν = 8•1014 Гц падает по нормали на дифракционную решетку с периодом 6 мкм. Параллельно решетке позади нее размещена собирающая линза. Дифракционная картина наблюдается в задней фокальной плоскости линзы. Расстояние между ее главными максимумами 1 и 2 порядков равно 16 мм. Найдите фокусное расстояние линзы.
Решение: пользуясь решением предыдущей задачи,

Ответ: F = 0,256 м.
Задача 10. На дифракционную решетку с периодом 4 мкм падает нормально свет, пропущенный через светофильтр. Полоса пропускания светофильтра от 500 нм до 550 нм. Будут ли спектры разных порядков перекрываться друг с другом?

Решение: перекрытие спектров будет наблюдаться, если φ1 = φ2 и порядок спектров не превышает максимальный.
Определим наибольший порядок спектра (см.задачу 2). Для данной задачи mmax= dsin φ /λ1, т.е. mmax= 8.
На рисунке указаны лучи дающие максимумы m и (m+1) порядка. Спектры начнут перекрываться, если точки А и В совпадут, т.е. φ1=φ2.
d sin φ2 = mλ2;
d sin φ1 = (m+1)λ1;
mλ2 = (m+1)λ1;
m = λ1 /(λ2 - λ1 ), m=10;
Ответ: т.кmmax= 8, а m=10 , то делаем вывод, что перекрытия не произойдет.
V. Итог урока. Рефлексия
Оценивается работа каждой группы на каждом этапе урока:
А) подготовка вопросов по теории;
Б) ответы на данные вопросы;
В) подготовка различных видов задач:
Г) выбор способа решения задач;
Д) правильность решения задач ( проверка вычислительных навыков).
VI. Домашнее задание
Задачи для самостоятельного решения:
- На дифракционную решетку с периодом d = 2 мкм нормально падает пучок света, состоящий из фотонов с импульсом р 1,32 ∙10-27 кг∙м/с. Под каким углом φ к направлению падения пучка наблюдается дифракционный максимум второго порядка?
- При исследовании спектра ртути с помощью дифракционной решётки и гониометра (прибора для точного измерения углов дифракции света) было обнаружено, что в спектре 3-го порядка вблизи двойной жёлтой линии ртути со средней длиной волны λ = 578 нм видна сине-фиолетовая линия 4-го порядка. Оцените её длину волны.