Урок по теме "Деление алгебраических дробей"
Скачать презентацию (259.09 КБ)
Тип урока:урок формирования новых знаний.
Цель деятельности учителя: создать условия для введения правила деления алгебраических дробей.
Цели урока:
образовательные:
- обучить приемам нахождения частного рациональных дробей;
- через выполнение заданий активизировать мыслительную деятельность учащихся;
- обеспечить закрепление ранее усвоенного теоретического материала;
развивающие:
- развивать логическое мышление;
- математическую речь, внимание, умение систематизировать и применять полученные знания, умение анализировать свою работу и работу одноклассников;
воспитательные:
- воспитывать навыки учебного труда;
- формировать ответственность за конечный результат;
- поддерживать интерес к изучаемому предмету, воспитывать культуру поведения при работе в парах, воспитывать навыки контроля и самоконтроля.
Оборудование: компьютер, проектор, экран, презентация на тему «Деление алгебраических дробей», карточки.
Формы работы: фронтальная беседа, устный счет, самостоятельная работа.
План урока:
Этап 1. Организационный момент
Этап 2. Актуализация знаний учащихся
Фронтальная проверка теоретического материала по данной теме.
Устная вычислительная работа.
Этап 3. Объяснение нового материала
Вывод правила деления дробей.
Разбор типовых примеров на применение данного правила.
Этап 4. Первичное закрепление изученного материала
Этап 5. Физкультминутка
Этап 6. Самоконтроль изученного материала
Этап 7. Подведение итогов урока.
Этап 8. Домашнее задание.
Ход урока
Этап 1. Организационный момент
Приветствие, проверка готовности рабочего места к уроку. Сообщение темы урока, его цели.
Сегодня на уроке вам предстоит познакомиться с алгоритмом нахождения частного рациональных дробей. Кроме того, будем продолжать отрабатывать навык нахождения произведения и сокращения рациональных
дробей.
Этап 2. Актуализация знаний
Цель: актуализация знаний по теме, создание проблемной ситуации; организовать постановку цели урока, составление совместного плана действий для достижения этой цели;
- Фронтальная проверка теоретического материала по данной теме.
- Устная вычислительная работа.

Этап 3. Объяснение нового материала
- Какие действия с алгебраическими дробями мы умеем выполнять (используем пример в задании 3)?
- Выполнение какого действия нам неизвестно?
- Как выполнить деление алгебраических дробей?
- Что нам предстоит сегодня на уроке? (ученики формулируют цель урока).
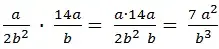
Учитель: Вспомним, как мы поступали при делении обыкновенных дробей. Сформулируем правило деления дробей.

Давайте попробуем применить правило деления дробей к алгебраическим дробям.
Выполнить деление

Чтобы проверить правильность выполнения действия деления, сделаем проверку:
![]()
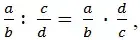
Сформулируем правило: чтобы разделить одну алгебраическую дробь на дробь, нужно первую дробь умножить на дробь, обратную второй.
![]()
где a, b, c - некоторые многочлены, b, c, d - ненулевые многочлены.
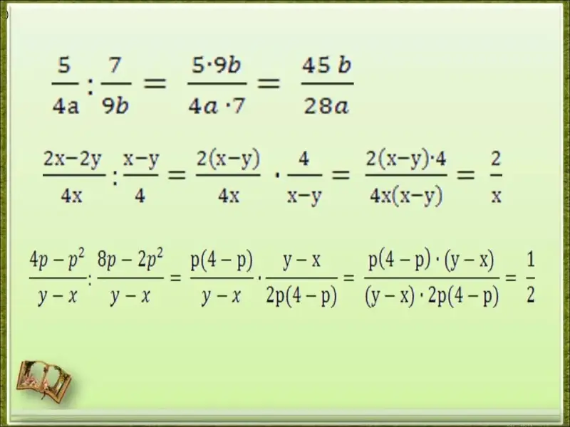
Рассмотрим применение данного правила на следующих примерах:

Этап 4. Первичное закрепление изученного материала
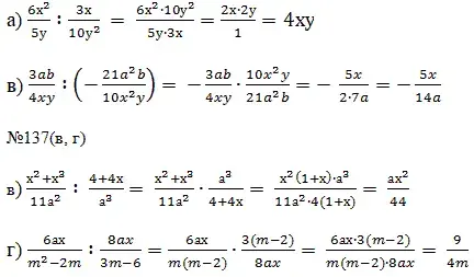
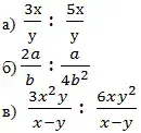
1. Решения заданий из учебника № 133( а, в), 137 (в, г) - на доске
№ 133(а, в)

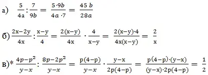
2. Работа в паре (с самопроверкой) (карточка) (Приложение)

Проверьте правильность решения данных примеров.

Этап 4. Физкультминутка
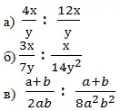
Этап 5. Самостоятельная работа по вариантам
|
Вариант 1 |
Вариант 2 |
|
|
|
Проверим работу. Обменяйтесь тетрадями. Ответы занесены в таблицу.

Учащиеся проверяют правильность решения примеров.
Этап 7. Подведение итогов - беседа
- «Сегодня на уроке я узнал...»
- «Сегодня на уроке я научился …»
- «Сегодня на уроке я повторил…»
- «Сегодня на уроке я закрепил…»
Сформулируем правило деления алгебраических дробей.
Этап 8. Домашнее задание
- П.6 №132 (2 строка),
- 133(б, г), 1
- 37 (а, б),
- 146
На этом наш урок закончен. Не забудьте сдать карточки. Всем спасибо, все свободны.

