Реакции окисления органических веществ

13.03.2018

Скачать презентацию (1.79 МБ)

Представлены реакции окисления органических веществ.

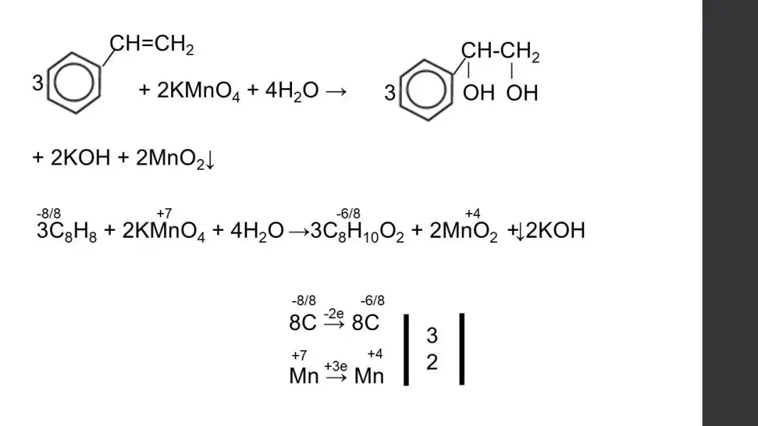
  • Окисление алкенов KMnO4 в нейтральной среде (реакция Вагнера)
  • Окисление алкенов KMnO4 в жестких условиях (реакция на определение положения двойной связи)
  • Окисление алкинов KMnO4(неполное окисление ацетилена)
  • Окисление алкинов KMnO4 в жестких условиях (реакция на определение положения тройной связи)
  • Окисление гомологов бензола KMnO4 (окислению подвергается радикал)
  • Окисление спиртов  Na2Cr2O7
    • Первичные спирты окисляются до альдегидов
    • Вторичные спирты окисляются до кетонов 
  • Качественная реакция на одноатомные спирты
  • Качественная реакция на многоатомные спирты
  • Окисление глицерина KMnO4
  • Окисление альдегидов [Ag(NH3)2]OH
  • (реакция серебряного зеркала)
  • Окисление альдегидов Cu(OH)2
  • Взаимодействие щавелевой кислоты и перманганата калия
  • Окисление глюкозы  [Ag(NH3)2]OH (реакция серебряного зеркала)
  • Окисление глюкозы Cu(OH)2
  • Окисление глюкозы бромной водой

aid: 669026