Логарифмы в заданиях ЕГЭ
Скачать презентацию (3.34 МБ)
Метод решения хорош, если с самого начала мы можем предвидеть -
и в последствии подтвердить это, - что, следуя этому методу, мы достигнем цели.
Г.Лейбниц
ТИП УРОКА: Закрепление и совершенствование знаний.
ЦЕЛИ:
- Дидактическая - Повторить и закрепить свойства логарифмов; логарифмические уравнения; закрепить методы решения наибольшего и наименьшего значения функции; совершенствовать применение полученных знаний при решении задач ЕГЭ С1 и С3;
- Развивающая - Развитие логического мышления, памяти, познавательного интереса, продолжить формирование математической речи и графической культуры, вырабатывать умение анализировать;
- Воспитательная - Приучать к эстетическому оформлению записи в тетради, умению общаться, прививать аккуратность.
Оборудование: классная доска, компьютер, проектор, экран, карточки с заданиями теста, с заданиями для работы всех обучающихся.
Формы работы: фронтальная, индивидуальная, коллективная.
ХОД УРОКА
1. ОРГАНИЗАЦИОННЫЙ МОМЕНТ
2. ПОСТАНОВКА ЦЕЛИ
3. ПРОВЕРКА ДОМАШНЕГО ЗАДАНИЯ

3. работа личных кабинетов в Интернет (просмотр результатов)
4. АКТУАЛИЗАЦИЯ ЗНАНИЙ
Проанализировать: в каких заданиях ЕГЭ встречаются логарифмы.
(В-7-простейшие логарифмические уравнения
В-11-преобразование логарифмических выражений
В-12- задачи физического содержания, связанные с логарифмами
В-15- нахождение наибольшего и наименьшего значения функции
С-1- тригонометрические уравнения, содержащие логарифм
С-3 - система неравенств, содержащая логарифмическое неравенство)
На данном этапе проводится устная работа, в ходе которой учащиеся не только вспоминают свойства логарифмов, но и выполняют простейшие задания ЕГЭ.
1) Определение логарифма. Какие вы знаете свойства логарифма? (и условия ?)

5. УСТНАЯ РАБОТА для всех обучающихся.
Вычислить устно: (задания В-11)

6. Самостоятельная деятельность учащихся по решению заданий.
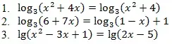
В-7 с последующей проверкой

Решите уравнения (первые два уравнения проговаривают устно, а остальные решает самостоятельно весь класс и записывает решение в тетрадь):

После проверки с места 3-5 уравнений, ребятам предлагается доказать, что уравнение
не имеет решения (устно)
7. Решение В-12 (задачи физического содержания, связанные с логарифмами).
Весь класс решает задачу (у доски 2 человека: 1-й решает вместе с классом, 2-й решает аналогичную задачу самостоятельно)

8. УСТНАЯ РАБОТА (вопросы)
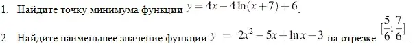
Вспомнить алгоритм нахождения наибольшего и наименьшего значения функции на отрезке и на промежутке.
Работа на доске и в тетради.
(прототип В15 - ЕГЭ)

(Пока ученики работают у доски, 4-м учащимся даются карточки с аналогичными заданиями)

9. Мини-тест с самоконтролем.
Тест

Ключи к тесту:
|
|
№1 |
№2 |
№3 |
№4 |
№5 |
№6 |
|
Вариант №1 |
250 |
49 |
4 |
-8 |
3 |
8 |
|
Вариант №2 |
63 |
144 |
13 |
-22 |
7 |
3 |
Ребята меняются друг с другом работами и выступают в роли экспертов.
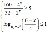
10. Решение заданий С1
Учащиеся выполняют задание, 1 человек работает у доски.
![]()
Подробный разбор предложенного задания на доске.
11. Выступление учащихся в роли экспертов.
Ребятам предлагается оценить работу ученика - задание С-1, выполненную на экзаменационном бланке - 0,1,2 баллами (см.презентацию)
12. ДОМАШНЕЕ ЗАДАНИЕ.
Учитель поясняет домашнее задание, обращая внимание на то, что аналогичные задания были рассмотрены на уроке. Учащиеся внимательно прослушав пояснения учителя, записывают домашнее задание.
- ФИПИ (открытый банк заданий: раздел геометрия, 6-я страница)
- uztest.ru (преобразование логарифмов)
- С3 - задание второй части ЕГЭ
13. ПОДВЕДЕНИЕ ИТОГОВ.
Сегодня на уроке мы повторили свойства логарифмов; логарифмические уравнения; закрепили методы нахождения наибольшего и наименьшего значения функции; рассмотрели задачи физического содержания, связанные с логарифмами; решали задачи С1 и С3, которые предлагаются на ЕГЭ по математике.
Выставление оценок.
