Решение тригонометрических уравнения. 10-й класс
Скачать презентацию (667.65 КБ)
Тип урока: урок комбинированный.
Класс: 10 класс.
Продолжительность урока: 1 час (45 минут).
Цели урока:
- дидактические: повторить формулы решения простейших тригонометрических уравнений; усвоить навык решения комбинированных тригонометрических уравнений; рассмотреть способ отбора корней с помощью окружности;
- развивающие: развитие познавательного интереса, логического мышления, интеллектуальных способностей; формирование математической речи;
- воспитательные: формировать эстетические навыки при оформлении записей в тетради и самостоятельность мышления у учащихся.
Оборудование урока:
- карточки с заданиями для самостоятельной работы
- карточки с дифференцированными домашними заданиями
- презентация к уроку
- персональный компьютер, мультимедиа проектор
План урока
- Организационный момент
- Повторение основных понятий
- Фронтальная письменная работа
- Рефлексия
- Дифференцированное домашнее задание
Ход урока
Организационный этап.
Девиз: "Не делай никогда того, чего не знаешь, но научись всему, что следует знать". (Пифагор)
Приветствие. Проверка готовности класса к уроку.
Сегодня на уроке мы продолжим работать над тригонометрические уравнения.
1. Актуализация опорных знаний (устная работа).
В результате выполнения задания мы повторим определения арккосинуса, арксинуса, арктангенса и арккотангенса.
Задание 1 (устно)
1. С помощью тригонометрической окружности найти все точки на числовой окружности из промежутка [-2
которые
соответствуют числам
,
,
,
, arcsin 0, arcsin![]()
2. С какой из отмеченных на числовой окружности точек совпадает точка:
| 1) 0 2) |
![]() |
|
| 1) |
![]() |
|
| 1) 0 2) |
![]() |
|
| 1) 0 2) |
![]() |
Задание 2
Вы умеете решать простейшие тригонометрические уравнения. Решите предложенные уравнения ( записать ответ на карточке). (Приложение 1)
| Вариант 1 | Вариант 2 | ||
| cos x = - 1 | cos x = 0 | ||
| sin x = 0 | sin x = - 1 | ||
| tg x = - 1 | tg x = 1 | ||
Проверить ответы с помощью таблицы.
| Вариант 1 | Вариант 2 | ||
| cos x = - 1 | cos x = 0 | ||
|
|
|
||
| sin x = 0 | sin x = - 1 | ||
| tg x = - 1 | tg x = 1 | ||
2. Изучение нового материала "Комбинированные тригонометрические уравнения"
- Какие уравнения вы научились решать в этом году? (иррациональные, показательные, логарифмические).
Добавим в эти уравнения элементы тригонометрии.
Задание 3. Решить уравнение:
;
; sin x = -1;
![]()
2)
, найдем ОДЗ уравнения :
при любом
х.
;
;
;
.
3)
, найдем ОДЗ уравнения :
при любом
х.
;
![]()
![]()
4) ![]()
,
,
, ![]()
,
, ![]()

Ответ: ![]()
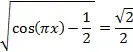
Задание 4.
Рассмотрим комбинированные уравнения, которые предлагаются на ЕГЭ ( задание 13).
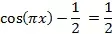
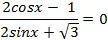
1. Решить уравнение и найти корни, принадлежащие промежутку ![]()
а) ( ![]()
( ![]()
![]()
-sinx = 2sinx* cosx
sinx +2sinx* cosx =0
sinx ( 1 +2cosx ) =0
sinx = 0 или 1 +2cosx =0
,
, ![]()
б) сделаем выборку корней с помощью тригонометрической окружности
х = 0, x =
, ![]()

Ответ: а)
; б) 0,
,
.
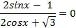
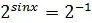
2. Решить уравнение
![]()
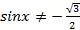
1) ОДЗ уравнения: ![]()
| 2) |
или | |
| cosx = t, |
sinx=1, |
![]()
cosx = -5 решения нет
![]()
![]()
Так как
, то
и ![]()
Ответ:
;
.
Самостоятельная работа ( с самопроверкой)
| Вариант 1 | Вариант 2 |
![]() |
|
|
т.к. x |
т.к. то |
|
Значит, |
Значит, |
6. Итог урока
Продолжите фразу
- Сегодня на уроке я повторил ...
- Сегодня на уроке я узнал ...
- Сегодня на уроке я научился ...
7. Домашняя работа: карточки (по вариантам). (Приложение 2)
Спасибо за урок!




