Три интересные стереометрические задачи ЕГЭ
Важной целью изучения стереометрии в школе является развитие пространственного воображения у учащихся. Именно поэтому в контрольно измерительные материалы Единого Государственного Экзамена включены стереометрические задачи, в которых выпускникам предлагают решить задачи на вычисление объемов, площадей поверхностей, построение сечений и вычисление их площадей, вычисление углов между прямыми, прямой и плоскостью, плоскостями, и многое другое.
Пока в обществе сторонники и противники спорят о целесообразности Единого Государственного Экзамена (ЕГЭ) в школах, ученики их учителя, чтобы успешно сдать экзамен кропотливо к нему готовятся. Готовлюсь и я со своими выпускниками, решая “великое множество” самых разнообразных тестов.
В одном из учебно-тренировочных тестов для подготовки к ЕГЭ по математике, я встретил простой, на первый взгляд, вопрос: какая фигура получится при вращении куба вокруг его диагонали? В качестве возможных вариантов ответа предлагались четыре фигуры вращения на рисунке 1. Ученику в ответе достаточно было указать только номер фигуры. Попробуйте проверить своё пространственное мышление и выбрать нужную фигуру.

Рис. 1
Правильный ответ можно отыскать экспериментально. Для этого из кубика сделаем игрушку, каждому знакомую с детства – юлу. В деревянном кубике просверлим отверстие вдоль диагонали куба и плотно вставим в него какую-либо спицу подходящего диаметра. На фото 1 получилась занятная игрушка, с большим математическим содержанием. Достаточно сказать, что изучением законов вращения волчка занималась Софья Ковалевская – первая женщина-математик России, и с этой работой она участвовала в конкурсе Парижской академии наук, став его победителем.
Запустив волчок (фото 2), в качестве ответа однозначно выбираем фигуру под номером 4).
|
Фото 1 |
Фото 2 |
Конечно, на экзамене ЕГЭ ученику не до экспериментов. Как же он может найти правильный ответ на вопрос задачи? И не ошибиться. Ведь практика показывает, что для большинства учеников это очень коварный вопрос. На него правильно отвечает менее 10% моих старшеклассников. Попробуем разобраться.
Ясно, что форма фигуры вращения определяется ломаной ABCD (Рис.
2). Ребра AB и CD при вращении задают два равных конуса. Ребро BC и
ось вращения скрещивающиеся, поэтому оно при вращении определяет
фигуру, похожую на цилиндр с криволинейной образующей. Докажем, что
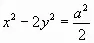
эта дуга гиперболы, полученная вращением ребра ВС. Для куба со
стороной a выше указанные параметры уравнения принимают
значения
,
, поэтому уравнение гиперболы будет
.

Рис. 2
Взаимное расположение скрещивающихся прямых a и l определяется расстоянием d = ON и углом ? = ? MNK между этими прямыми (Рис. 3). Введем прямоугольную систему координат Oxyz таким образом, чтобы ось Oy совпадала с прямой l, ось Oz – с прямой ON. Плоскость Oxy можно считать одной из плоскостей сечения полученной при вращении фигуры. Произвольная точка M(x,y,z) прямой a при вращении будет оставлять следы-точки M1 и M2 на секущей плоскости Oxy, и в координатной плоскости Oxy будут иметь координаты M1(x,y) и M2(–x,y)
Найдем уравнение линии, по которой секущая плоскость пересекает
фигуру вращения. В прямоугольном треугольнике MNK катет
MK=
, тогда в прямоугольном треугольнике MМ0K
гипотенуза MМ02 =
. Учитывая, что
MМ0=MМ1=х, получим уравнение искомой
линии
. Из курса аналитической геометрии известно, что
уравнение вида
задает гиперболу с полуосями a и b,
а поверхность, которая получается вращением гиперболы вокруг её оси
симметрии Oy, называется однополостным гиперболоидом
вращения. Найденное нами уравнение тоже можно привести к такому
виду, значит, секущая плоскость пересекает фигуру вращения по
гиперболе с полуосями d и
.

Рис. 3
На рисунке 4 показано одно из возможных положений куба внутри фигуры вращения. Обратите внимание, все ребра куба лежат на поверхности этой фигуры вращения. Даже на криволинейной части этой поверхности ребра куба лежат в ней полностью. Таким замечательным свойством обладает однополостный гиперболоид вращения.

Рис. 4
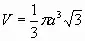
Важными параметрами фигуры вращения являются её объём V и
площадь S поверхности. Средствами интегрального исчисления можно
показать, что если ребро вращаемого куба равна a, то
,
.
Можно добавить еще один интересный факт: основания конусов делят высоту фигуры вращения, т.е. диагональ вращаемого куба, на три равные части.
Понятно, что вращать куб можно не только вокруг его диагонали, но и вокруг других прямых, например, вокруг прямой проходящей через середины противоположных ребер куба, или вокруг диагонали грани куба, получая при этом красивые фигуры вращения. Но это уже другие задачи, и попробовать решить их никому не запрещается!
Задача. В правильной шестиугольной призме все ребра равны 2.
Найдите угол между прямыми
и
.
Эту задачу можно решать многими способами, например, применяя
метод координат или векторный способ, предполагающие обычно
громоздкие вычисления. А можно подойти к решению задачи
нестандартно, не выполняя ни каких расчетов совершенно. Для этого,
поставим призму на боковую грань
и рассмотрим
правильную четырехугольную призму
. Заметим, что в
этой призме прямая
перпендикулярна диагональной
плоскости
, значит прямая
перпендикулярна любой прямой плоскости
, в том числе и
прямой
, лежащей в этой плоскости.

Ответ. Угол между прямыми
и
равен 90
.
И ещё об одной задаче, которая мне встретилась при проверке работ выпускников ЕГЭ 2013 года в области С. В тестах ЕГЭ предлагалась задача на вычисление площади сечения. Привожу дословное условие задачи С2 варианта 107 из КИМа ЕГЭ .
Задача С2. В правильной четырехугольной пирамиде МАВСD с вершиной М стороны основания равны 15, а боковые ребра равны 16. Найдите площадь сечения пирамиды плоскостью, проходящей через точку D и середину ребра МВ параллельно прямой АС.

Ни чем не примечательная задача на построение сечения пирамиды плоскостью и вычисление площади этого сечения. Но это взгляд учителя молодого поколения! Учитель же старшего поколения может по-другому взглянуть на эту задачу. Лично мне эта задача напомнила задачу из школьного учебника нашей юности. Не поленился, нашел сборник Н.А. Рыбкина 1970 года издания, по которому я учился решать стереометрические задачи. Листая пожелтевшие станицы этого сборника, о, чудо, нашел задачу №19 параграф 10, чертеж и формулировка практически совпадают с задачей ЕГЭ 2013 года. Вот уж неожиданная встреча более чем через 40 лет, подтверждающая фразу, что “всё новое – это хорошо забытое старое”. Задачи хотя и разного направления, в одной требуется построить сечение, а во второй вычислить площадь такого сечения, но согласитесь, что речь идет об одном и том же.

В то время в советской средней школе геометрию в школе изучали по учебнику “Геометрия” А. П. Киселева. “Сборник задач по геометрии” Н. А. Рыбкина дополнял его задачным материалом. Сборник Н.А. Рыбкина содержит две части:
1) планиметрия для 6-8 классов;
2) стереометрия для 9-10 классов.
Как сегодня бы сказали, что Киселев+Рыбкин+набор моделей является замечательным учебно-методическим комплектом (УМК) для изучения элементарной геометрии в средней школе.
Если речь зашла о школьных задачах полувековой давности, то стоит вспомнить, что в то время в СССР производились наглядные пособия, разработанные в соответствии с действующим в то время учебником геометрии, точнее, со сборником задач. В школах того времени в учебном процессе использовались фабрично изготовленные модели, соответствующие конкретным задачам сборника. Не знаю, как полно они были представлены, но, то, что такие модели существовали, помню по своей школьной учебе, и как трепетно заботился о них мой школьный учитель математики Николай Стефанович Мелихов. Решая очередную задачу из сборника Рыбкина, наш учитель доставал из шкафа нужную модель, сделанную конкретно к этой задаче, и мы начинали размышлять. В модели всё соответствовало условию задачи, даже буквенные обозначения такие же. Что сказать? Серьёзный подход к обучению геометрии был в Советском Союзе!
Фото модели к рассматриваемой задаче подтверждает выше сказанное.

Как коллекционер, регулярно посещаю барахолку, где продают старые вещи. Однажды, встретив модель пирамиды с сечением, я не мог её не купить. Прежде чем принести в школу и показать её ученикам, решил облагородить её. Кардинальной разборки не стал делать, хотя неплохо было бы внутри “погонять” пыль, но ведь хочется сохранить оригинальность модели. Ограничился поверхностным уходом, выдраил стекла от разного вида налетов и заменил оклейку ребер. Вместо замызганных бумажных наклеек черного цвета оклеил ребра изолентой. Как у меня получилось – можно посмотреть на фото.
В заключение скажу, что решая с учениками задачи полезно давать небольшие исторические справки или сюжеты. Они придают оживление обсуждаемым задачам, вызывают интерес и желание справиться с такими задачами.

