Обобщающий урок математики по теме "Натуральные числа". 5-й класс
Скачать презентацию (2.09 МБ)
Тип урока: Урок систематизации и обобщения знаний и умений
Цель урока: Способствовать формированию у обучающихся знаний по теме "Натуральные числа"
Задачи урока:
Образовательные:
- формирование умений и навыков выполнения действий с натуральными числами;
- проверка умений и навыков выполнения действий с натуральными числами.
Развивающие:
- развитие умения анализировать, сравнивать и делать выводы;
- развитие устной и письменной речи обучающихся.
Воспитательные:
- воспитание умения высказывать свое мнение;
- формирование учебно-познавательного интереса к предмету
Ресурсы: Компьютер. Проектор. Презентация. Комплект заданий для работы учащихся на уроке (Задания 1-5, дополнительное задание). Оценочные листы (Приложение 1)
Ход урока
I. Организационный этап
II. Постановка цели и задач урока
III. Творческое применение и добывание знаний в новой ситуации (творческие задания).
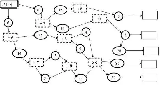
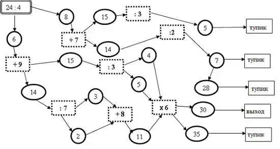
Задание 1. ЛАБИРИНТ. Найдите выходы из лабиринта и укажите тупики.

Ответ:

Рисунок 2
Задание 2. ЗАДАЧИ КАРЛА ГАУССА
Историческая справка:
В Германии в конце 18-го и первой половине 19-го веков жил знаменитый ученый Карл Гаусс. Современники называли его "королем математики". Сам ученый шутил, что он считать научился раньше, чем говорить. Рассказывают, что когда Гауссу было всего три года, он услышал, как его отец вслух делал расчеты, и заметил:
- Папа, счет твой неверен.
У отца от удивления глаза на лоб полезли. Стоит ли принимать всерьез слова карапуза? - подумал он, однако проверил свои вычисления и нашел ошибку.
Вот еще одна история из детства Карла Гаусса. Учитель дал первокласснику задачу:
"Вычислите сумму всех натуральных чисел от 1 до 100". Он намеривался, пока ученики считают, заняться каким-то своим делом.
Да не тут-то было. Только он проговорил задание, как услышал голос Карла:
Учитель, я сосчитал, сказал Карл и положил на стол свою грифельную доску с правильным ответом.
Задача
На Ёлке Мише купили шесть шаров:

Рисунок 3
Маше купили семь шаров:

Рисунок 4
На шарах были указаны их цены. Миша схватил калькулятор, чтобы сосчитать стоимость шаров. Маша говорит: "Ты и без калькулятора устно сможешь сосчитать, а вот у меня не больно-то сосчитаешь: один шарик лишний".
Сосчитайте устно стоимость каждой покупки.
Решение:
(71+89)z 3 =160z 3 = 480;
(41+59) : 2 z 7 = 350 или (41+59) z 3+ 50= 350.
Задание 3. СОСТАВЬ ЗАДАЧУ. По данным изображениям составьте задачу и решите ее.
| Вариант 1 | Вариант 2 |
Рисунок 5 |
Рисунок 6 |
Задание 4. ЛОГИЧЕСКИЕ ЗАДАЧИ
Задача 1. Встретились трое друзей: Белов, Рыжов и Чернов. Брюнет сказал Белову: "Любопытно, что ни у кого из нас цвет волос не соответствует фамилии, да и ты не брюнет".
Какой цвет волос у каждого из друзей?
Решение:
| Фамилия |
Цвет волос |
||
| Блондин | Рыжий | Брюнет | |
| Белов | - | + | - |
| Рыжов | - | - | + |
| Чернов | + | - | - |
Ответ: Белов - рыжий, Рыжов - брюнет, Чернов - блондин
Задача 2. Три ученицы - Валя, Галя и Катя - пришли в театр в платьях разного цвета: одна - в белом, другая - в сером, а третья - в черном. Катя была не в черном, Валя не в черном и не в сером. Угадай, в какое платье каждая из них была одета.
Решение:
| Фамилия | Цвет платья | ||
| Белый | Серый | Черный | |
| Валя | + | - | - |
| Галя | - | - | + |
| Катя | - | + | - |
Ответ: Валя - в белом, Галя - в черном, Катя - в сером
Задание 5. ДЕЙСТВИЯ С НАТУРАЛЬНЫМИ ЧИСЛАМИ
Соедините последовательно точки по ответам. Что получилось?
| 1. (71 -19):13 = | 6. 42z 2-25z 3= | 11. (58+26):14= |
| 2. (19 +9)z 3= | 7. 15z 5+50:2= | 12. 24:6+36= |
| 3. 100 - 16:4= | 8. (75-74)z 5z 9= | 13. 91:13z 8:14= |
| 4. (44+33):7= | 9. 6z 10:2= | 14. 80:16z 9:15= |
| 5. (36+48):12= | 10. 32+48:8z 3= | 15. 72:12z 9:27= |

Рисунок 7
Ответы:
1) 4; 6) 9; 11) 6; 2) 84; 7) 100; 12) 40; 3) 96; 8) 45; 13) 4; 4) 11; 9) 30; 14) 3; 5) 7; 10) 50; 15) 2.
Дополнительное задание. СЧЕТ И ВЫЧИСЛЕНИЯ
Задание 1. Запишите число 100:
а) пятью тройками;
б) пятью единицами;
в) пятью пятерками.
Ответ:
а) 33z 3 + 3:3;
б) 111 - 11;
в) (5 + 5 + 5 + 5 + 5) : 5.
Задание 2. Расставьте знаки арифметических действий и скобки в выражении: 5 5 5 5 5 так, чтобы в результате получилось число 13.
Ответ: (55+5+5):5 = 13 (одно из возможных решений)
IV. Информация о домашнем задании, инструктаж по его выполнению
Задание. Расставьте знаки арифметических действий и скобки так, чтобы получились верные равенства:
5 5 5 5 = 3; 5 5 5 5 =30; 5 5 5 5 = 4; 5 5 5 5 = 75; 5 5 5 5 = 5; 5 5 5 5 = 50; 5 5 5 5 = 6; 5 5 5 5 = 120; 5 5 5 5 = 7; 5 5 5 5 = 130; 5 5 5 5 = 26; 5 5 5 5 = 625.
Ответ:
(5 + 5 + 5) : 5 = 3; (5 : 5 + 5) * 5 =30; (5 * 5 - 5) : 5 = 4; (5 + 5 + 5) * 5 = 75; (5 - 5) * 5 + 5 = 5; 5 * 5 + 5 * 5 = 50; (5 * 5 + 5) : 5 = 6; 5 * 5 * 5 - 5 = 120; (5 + 5) : 5+5 = 7; 5 * 5 * 5 + 5 = 130; 5 * 5 + 5 : 5 = 26; 5 * 5 * 5 * 5 = 625.
V. Рефлексия (подведение итогов занятия)
Оцените свою деятельность на уроке. Отметьте в оценочном листе знаком "+" задания, выполненные верно, знаком " - " отметьте задания, в которых допущены ошибки. Поставьте итоговую отметку по пятибалльной шкале.
Литература
- Анфимова Т.Б. Математика. Внеурочные занятия. 5-6 классы. - М.: Илекса, 2015. - 128 с.: ил.
- Электронные ресурсы http://referat.znate.ru/text/i…