Подготовка к ЕГЭ по математике. Практикум по решению заданий № 14 профильного уровня. Тема: «Нахождение расстояний и углов, построение сечений»
Скачать презентацию (2.24 МБ)
1. Повторение.
1.1.Соотношения между сторонами и углами прямоугольного треугольника
Формулы: a2 + b2= c2 
![]()
![]()
![]()
![]()
1.2.Теорема косинусов
Квадрат стороны треугольника равен сумме квадратов двух других сторон минус удвоенное произведение этих сторон на косинус угла между ними.
a2 = b2 + c2- 2bc·cosA
1.3. Угол между пересекающимися и скрещивающимися прямыми.
За угол между пересекающимися прямыми принимают острый угол, образованный этими прямыми.
Угол между скрещивающимися прямыми АВ и СD определяется как угол между пересекающимися прямыми А1В1 и С1D1, при этом А1В1|| АВ и С1D1|| CD.
1.4. Угол между плоскостями (АСН) и (СНD) - это двугранный угол АСНD, где СН ребро.
Точки А и D лежат на гранях этого угла. AF
CH, FD
CH.
Угол AFD - линейный угол двугранного угла АCHD
2. Решение задач.
Задача №1.В правильной треугольной призме ABCA1B1C1, все рёбра которой равны 1, найдите косинус угла между прямыми АВ1 и ВС1.
Решение:
1) Продлим плоскость ВСС1, тогда
(AB1, ВС1) =
(AB1,
DВ1) =
AВ1D, т. к. C1В || B1D. 
2) AB1 = B1D =
из
ABB1.
3) из
ABD по теореме косинусов:

Ответ: 0,25.
Задача №2. В кубе ABCDA1B1C1D1 найдите угол между прямой AC1 и плоскостью ВСC1.
Решение:
1) ВС1 - проекция прямой АС1 на плоскость (ВCС1), так как AB
(ВCС1), то AB
ВС1;
(AC1, (ВCС1)) =
(AС1,С1В) =
AC1B, т.е.
АВC1 - прямоугольный.
2) Пусть АВ = а, тогда ВС1 = а
из
C1CB.
3)
.
4)
AC1B = arctg
.
Ответ: arctg
.
Задача №3. Основанием прямой треугольной призмы ABCA1B1C1, является равнобедренный треугольник АВС, в котором АВ = ВС = 20, АС = 32. Боковое ребро призмы равно 24. Точка Р принадлежит ребру ВВ1, причем ВР : РВ1= 1 : 3. Найдите тангенс угла между плоскостями А1В1С1 и АСР.
Решение:
1) Так как (АВС) || (А1В1С1), то
(( А1В1С1) , (АСР)) =
((АВС),(АСР)).
2) Т.к. ВН
АС (высота р/б
),то по теореме о трех перпендикулярах РН
АС.
3) Тогда
РНВ - линейный угол двугранного
РАСВ. Найдем его из прямоугольного
РНВ.
4) РВ = 1/4 ВВ1 = 1/4 · 24 = 6,
5) ВН2 = АВ2 - АН2 (из
AНВ)
ВН2 = 202 - 162 = 144, ВН = 12;
6) tg
РНВ = PB/HB = 6/12 = 0,5.
Ответ: 0,5.
Задача №4. В правильной четырехугольной пирамиде SABCD, все ребра которой равны 1, найдите косинус угла между прямой AB и плоскостью SAD.
Решение:
1) Так как ABCD - квадрат, то АВ
AD. Поэтому проекция AB на плоскость (SAD) будет
AD.
Значит, искомый угол - двугранный угол при ребре основания AD. 
2) SM - высота грани SAD, SM =
/2, МО || АВ, МО = 0,5АВ = 0,5.
3) ?SMO - искомый угол, косинус которого найдем из прямоугольного
SMO.
сos ?SMO =
=
= ![]()
Ответ :
.
3. Повторение.
3.1. Расстояние от точки до прямой.
Определение. Расстоянием от точки до прямой в пространстве называется длина перпендикуляра, проведённого из данной точки к данной прямой.
3.2. Расстояние от точки до плоскости.
Определение. Расстоянием от точки до плоскости является длина перпендикуляра, проведённого из данной точки к данной плоскости.

3.3. Расстояние между скрещивающимися прямыми.
Общим перпендикуляром двух скрещивающихся прямых называют отрезок с концами на этих прямых, являющийся перпендикуляром к каждой из них.

Определение. Расстоянием между скрещивающимися прямыми называют длину их общего перпендикуляра.
- 1 способ. Расстояние между скрещивающимися прямыми равно расстоянию от любой точки одной из этих прямых до плоскости, проходящей через вторую прямую параллельно первой прямой.

- 2 способ. Расстояние между скрещивающимися прямыми равно расстоянию между двумя параллельными плоскостями, содержащими эти прямые.

- 3 способ. Расстояние между скрещивающимися прямыми равно расстоянию между их проекциями на плоскость, перпендикулярную одной из них.

4. Решение задач.
Задача №5. В правильной шестиугольной призме ABCDEFA1B1C1D1E1F1, стороны основания которой равны 5, а
боковые рёбра равны 11, найдите расстояние от точки С до прямой A1F1.
Решение:
1) Так как ABCDEF - правильный шестиугольник, то прямые AC и AF перпендикулярны.
CA
AFпо доказанному,
CA
A1А по определению правильной призмы
CA
(АA1F1) по признаку перпендикулярности прямой и плоскости, т.е.
СА - перпендикуляр к плоскости, CA1 - наклонная, A1А - проекция наклонной,
A1А
A1F1; A1F1 - прямая в плоскости.
Тогда по теореме о трёх перпендикулярах CA1
A1F1, значит, длина отрезка CA1 равна искомому
расстоянию.
2) Из
АВС (АВ=ВС=5,
B = 120o)
по теореме косинусов найдём СА: , ,
![]()
![]()
3) Из
CAA1, по теореме Пифагора найдём CA1: ![]()
CA1 2 = 75 + 121 = 196
CA1 = 14
Ответ: 14.
Задача №6.
Ребро AD пирамиды DABC перпендикулярно плоскости основания АВС. Найдите расстояние от А до плоскости, проходящей через середины ребер АВ, АС и
АD, если АD = 2
, АВ = АС = 10, ВС = 4
.
Решение:
1) Построим плоскость КМN.
Т. к. КМ - средняя линия
АDВ, КМ?DВ,
MN - средняя линия
АВC, МN ||| CВ, то (KMN) || (BCD) по признаку
параллельности плоскостей. АР - медиана и высота р/б
АВC.
KF - медиана и высота р/б
KMN.
DP
BC по теореме о трёх перпендикулярах, KF || DP.
Искомое расстояние AH равно половине расстояния от вершины А до плоскости BCD, т.к. (KMN) || (BCD) и KF - средняя линия
ADP.
2)
LDA и
ADP подобны по двум углам, тогда LA:AP=AD:DP, тогда AL = (AP*AD):DP.
Найдём АР из
АВР по теореме Пифагора (АВ=10, ВР = 2
):
AP2 = AB2 - BP2 = 100 - 20 = 80, АР= 4![]()
Найдём DР из
АDР по теореме Пифагора: DP2 = AD2 + AP2 = 20 + 80 = 100, DP = 10.
Тогда AL =( 4
· 2
):10=4. Итак, АН = 1/2 AL = 2.
Ответ: 2.
Задача №7.
В правильной шестиугольной призме АВCDEFA1B1C1D1E1F1 все рёбра равны 1.
а) Постройте сечение призмы плоскостью, проходящей через точки B, С1 и F.
б) Найдите расстояние от точки В до прямой C1F.
Решение.
а) Сечение - четырёхугольник BC1E1F с диагональю C1F.
Сторона ВC1= - диагональ квадрата ВВ1С1С со стороной 1.
Сторону BF найдём из
ABF по теореме косинусов:
BF2=AB2+AF2-2 * AB * AF * cos
BAF;
BF2=AB2+AF2-2 * AB * AF * cos1200 = 3.
Тогда ![]()
Так как
CBF=90°, то по теореме о трёх перпендикулярах, BF
BC1.
Значит, сечение BC1E1F - прямоугольник. Диагональ прямоугольника
C1F2=BF2+BC12; C1F2=3+2=5.
Отсюда
б) Сечение - прямоугольник BC1E1F.
ВК
C1F, ВК - искомое расстояние от точки В до прямой C1F.

Найдем ВК как высоту из
FBС1,
Используя 2 формулы площади треугольника.


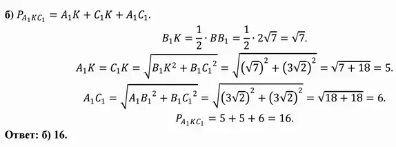
Задача №8.
Основанием прямой четырехугольной призмы является квадрат ABCD со стороной
, высота призмы равна
. Точка K - середина ребра ВВ1. Через точки K и С1 проведена плоскость a, параллельная прямой BD1.
а) Докажите, что сечение призмы плоскостью a является равнобедренным треугольником.
б) Найдите периметр треугольника, являющегося сечением призмы плоскостью a.
Решение.
а) Для построения сечения призмы плоскостью a, проведём КЕ || BD1, E € B1 D1.
Плоскость a проходит через точки К, С1 и Е.
Так как К - середина ВВ1 и КЕ || BD1, то Е - середина диагонали А1 С1 квадрата А1 В1 С1 Д1. Значит, плоскость a пересекает
грань А1 В1 С1 Д1 по диагонали А1 С1 .
Соединив точки К, С1 и А1, получаем
А1 КС1 - сечение призмы плоскостью a.
А1КВ1 =
С1 КВ1 по двум сторонам и углу между ними (А1
В1 = С 1В1 ,
, В1 К - общая сторона).
Из равенства треугольников следует, что А1К = С1К, значит
А1 КС1 - равнобедренный.

5. Задачи для самостоятельного решения.
На ребре AA1 прямоугольного параллелепипеда ABCDA1B1C1D1 взята точка E так, что A1E : EA = 2:5, на ребре BB1 - точка F так, что B1F : FB =1: 6, а точка Т - середина ребра B1 C1. Известно, что AB = 5, AD = 6 , AA1 =14.
а) Докажите, что плоскость EFT проходит через вершину D1 .
б) Найдите угол между плоскостью EFT и плоскостью AA1B1 .
Ответ. б) arctg
.
2) Дана правильная треугольная призма ABCA1B1C1, все рёбра которой равны 4.
Через точки A, С1 и середину T ребра А1В1 проведена плоскость.
а) Докажите, что сечение призмы указанной плоскостью является прямоугольным треугольником.
б) Найдите угол между плоскостью сечения и плоскостью ABC .
Ответ. б) arctg 2.
3) В правильной шестиугольной призме А…F1 все рёбра равны 2.
а) Докажите, что плоскость ВВ1F перпендикулярна прямой В1С1.
б) Найдите расстояние от точки В до плоскости F В1С1.
Ответ. б)
.
4) В пирамиде DАВС известны длины ребер АВ=АС=DВ=DС=13, DА =6, ВС=24.
а) Постройте прямую, перпендикулярную прямым DА и ВС.
б) Найдите расстояние между прямыми DА и ВС.
Ответ. б) 4.
5) Высота правильной треугольной пирамиды равна 20, а медиана её основания равна 6.
а) Постройте сечение пирамиды плоскостью, проходящей через её вершину и перпендикулярной ребру основания.
б) Найдите тангенс угла, который образует боковое ребро с плоскостью основания.
Ответ. б) 5.
6) В правильной четырёхугольной пирамиде МАВСD с вершиной М сторона основания равна 3, а боковое ребро равно 6.
а) Постройте сечение пирамиды плоскостью, проходящей через точку С и середину ребра МА параллельно прямой ВD.
б) Найдите площадь этого сечения.
Ответ. б) 6.
Используемая литература.
1) И.В. Ященко, С.А. Шестаков, А.С. Трепалин "Подготовка к ЕГЭ по математике 2016, профильный уровень", Москва, издательство МЦНМО, 2016.
2) Интернет-ресурсы:
- http://www.fipi.ru/
- http://mathege.ru/or/ege/Main
- https://math-ege.sdamgia.ru/
- http://alexlarin.net/
- https://ege-ok.ru/