Урок по теме "Объем конуса"
Цели урока: вывести формулу вычисления объема конуса и научиться применять ее при решении задач
Задачи:
- Образовательные: познакомить с выводом формулы объема конуса и научить применять формулу при решении задач.
- Развивающие: развивать умения логически мыслить, аргументировать, доказывать, конкретизировать знания при использовании формул.
- Воспитательные: продолжить развитие навыков самоконтроля и умения работать во времени при выполнении самостоятельной работы.
Тип урока: урок изучение нового материала
Оборудование: ноутбук, мультимедийный проектор, презентация по теме, модели пространственных тел, модели конусов для измерений, карточки-задания для самостоятельной работы.
ХОД УРОКА
I. Организационный момент
– Добрый день! Звучит эпиграф к уроку: «Искра знаний возгорится
в том, кто достигнет понимания собственными силами». Бхаскара
(индийский математик XII века).
II. Актуализация знаний учащихся
Теоретический опрос.
Повторить понятия конуса.
Презентация. Слайд 2
1. Рассмотрим окружность L с центром в точке О и прямую ОР,
перпендикулярную плоскость
. Каждую точку окружности соединим
отрезком с точкой Р. поверхность образованная этими отрезками,
называется … (рис 1). /конической поверхностью/
Слайды 3-4
2. Тело, ограниченное конической поверхностью и кругом, называется … /конус/
Слайд 5
3. Чему равна площадь круга?
4. Вспомним, как найти площадь круга, зная диаметр?
Слайд 6
7. Высота конуса равна 8, а диаметр основания — 30. Найдите образующую конуса.
Решение: ![]()
8. Диаметр основания конуса равен 6, а длина образующей — 5. Найдите высоту конуса.
Решение: ![]()
III. Изучение нового материала
Слайд 7
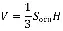
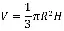
Теорема: Объем конуса равен одной трети произведения и площади основания на высоту.
![]()
Слайд 8

Доказательство:
Данный конус можно рассматривать
как тело, полученное вращением
прямоугольного треугольника с вершиной
в точках О(0; 0), В(Н, 0), А(Н, R)
вокруг
Ох. Уравнение прямой ОА имеет вид:
, где
.
Треугольник ОАВ является частным видом криволинейной
трапеции, которая ограничена осью абсцисс графиком функции
и
прямой
.
Поэтому объем конуса можно найти с помощью формулы (1), то есть
.
Площадь основания конуса равна
, поэтому
.
Теорема доказана.
Слайд 9
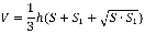
Следствие:Объем усеченного конуса, высота которого равна h, а площади оснований равны S и S1, вычисляется по формуле:
![]()
IV. Закрепление изученного материала
1. Решить устно задачи с целью закрепления формул для вычисления объемов конуса и усеченного конуса.
Слайд 10
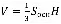
№ 1. Вычислите объем конуса, если его высота 6 см, а площадь основания 42 см2. /84см3/
Решение:
![]()
№ 2. Объем конуса с радиусом основания 4м и высотой 6 м равен. /32 πм2/
![]()
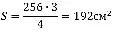
№ 3. Найдите площадь основания конуса, если его объем равен 256 см3, а высота 4 м. /192см2/
![]()
![]()
![]()
№ 4. Вычислите объем усеченного конуса, высота которого 3 см, а площадь основания 16 см2 и 4 см2. /28 см3/
![]()
Самостоятельное решение задач в парах. Попробуем применить полученные знания.
Задачи из ЕГЭ (базового и профильного уровня). Один из учеников решает у доски задания своего варианта.
1 уровень 1 вариант
- Образующая конуса 6, а высота 3. Найдите объем конуса. В ответе
укажите
. - Во сколько раз увеличится объем конуса, если его высоту увеличить в 4 раза, оставив неизменным основание?
- Цилиндр и конус имеют общие основания и высоту. Найдите объем
конуса, если объем цилиндра равен 150.

- Высота конуса равна 8, образующая равна 10. Найдите его объем, деленный на π.
- Диаметр основания конуса равен 6, а угол при вершине осевого сечения равен 60°.
1 уровень 2 вариант
- Найдите объем V конуса, образующая которого равна 2 и наклонена
к плоскости основания под углом 30°. В ответе укажите
. - Во сколько раз уменьшится объем конуса, если его высоту уменьшить в 3 раза, оставив неизменным основание?
- Цилиндр и конус имеют общее основание и общую высоту.
Вычислите объем цилиндра, если объем конуса равен 25.

- Высота конуса равна 6, образующая равна 10. Найдите его объем, деленный на π.
- Диаметр основания конуса равен 6, а угол при вершине осевого сечения равен 60°. Вычислите объем конуса, деленный на π√3.
2 уровень 1 вариант
- Конус вписан шар. Радиус основания конуса равен радиусу шара. Объем шара равен 32. Найдите объем конуса
- Образующая конуса равна 5 и составляет с плоскостью основания
угол, косинус которого равна
. Найдите объем V конуса. В
ответе укажите
. - Осевым сечением конуса является равнобедренный прямоугольный
треугольник, площадь которого равна 12√2. Найдите объем V
конуса. В ответе укажите
. - В сосуде, имеющем форму конуса, уровень жидкости достигает
высоты. Объем сосуда 270 мл. Чему равен объем
налитой жидкости?
2 уровень 2 вариант
- Конус вписан шар. Радиус основания конуса равен радиусу шара. Объем шара равен 5. Найдите объем конуса
- Образующая конуса равна 13 и составляет с плоскостью основания
угол, косинус которого равна
. Найдите объем V конуса. В
ответе укажите - Осевым сечением конуса является равнобедренный прямоугольный
треугольник, площадь которого равна 36. Найдите объем V
конуса. В ответе укажите
. - В сосуде, имеющем форму конуса, уровень жидкости достигает
высоты. Объем сосуда 540 мл. Чему равен объем
налитой жидкости?
V. Подведение итогов
– Как найти объем усеченного конуса?
– Отметим, что формула объема усеченного конуса такая же, как и
формула объема усеченной пирамиды.
Домашнее задание п. 70 № 701, 704, 709 и задачи рабочих тетрадях проект «Я сдам ЕГЭ».
Литература:
- Геометрия 10-11: учеб. Общеобразовательных учреждений: базовый и профл. Уровни /Л. С. Атанасян, В. Ф. Бутузов, С. Б. Кадомцев и др./ – 16-е изд. – М.: Просвещение, 2007 – 256 с.
- Поурочные разработки по геометрии 11 класс. /Сост. В. А. Яровенко. – М.:ВАКО, 2011 – 336 с.
- Я сдам ЕГЭ! Модульный курс. Математика. Методика подготовки: учебное пособие для общеобразовательных организаций: базовый уровень – М.: Просвещение, 2016 – 272 с.
- Я сдам ЕГЭ! Модульный курс. Математика. Методика подготовки: учебное пособие для общеобразовательных организаций: профильный уровень – М.: Просвещение, 2016 – 240 с.