Решение показательных уравнений

20.03.2016

Скачать презентацию (1.12 МБ)

Тип урока: урок изучения новой темы.

Класс: 11 класс.

Продолжительность урока: 2 часа ( 90 минут).

Цели урока:

  • образовательные: формирование понятия показательного уравнения; ознакомление учащихся с типами показательных уравнений; формирование умений и навыков решения показательных уравнений;
  • развивающие: развитие познавательного интереса, логического мышления, интеллектуальных способностей; формирование математической речи;
  • воспитательные: формировать эстетические навыки при оформлении записей в тетради и самостоятельность мышления у учащихся.

Задачи урока

  • Повторить свойства показательной функции
  • Отработать алгоритм решения показательных уравнений
  • Научить учащихся различать типы показательных уравнений
  • Научить учащихся решать показательные уравнения

1. Организационный этап.

Девиз:

“Мне приходится делить время между политикой и уравнениями. Однако уравнения, по–моему, гораздо важнее. Политика существует только для данного момента, а уравнения будут существовать вечно. И решать их нужно правильно”.
Альберт Энштейн

На предыдущих уроках мы познакомились с показательной функцией, изучили ее свойства. Сегодня нам предстоит повторить свойства показательной функции, уметь применять их при решении показательных уравнений, рассмотреть примеры уравнений, предлагаемых на экзамене базового уровня.

Устно:

а) представить в виде степени с основанием 2: 32; 0,5; 1; ;

б) вычислить ; ( 10 ; .

в) сколько точек пересечения имеют графики функций у = 2х и у=16; у= 5и у= 0,2; у=3х и у = 7х.

2. Объяснение новой темы. Решение показательных уравнений

Определение. Показательными называются уравнения, содержащие переменную в показателе степени.

Теорема. Если а > 1, а 1, то уравнение а f( x ) = a g (x ) равносильно уравнению f( x ) = g (x ).

1. Если b 0, то уравнение а f( x ) = b решений не имеет.

Пример. 5 х + 1 = -5 решений нет; 5 х + 1 = 0 решений нет.

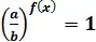
2. Уравнение а f( x ) = 1 равносильно уравнению f ( x ) = 0 ( а f( x ) = а 0 равносильно уравнению f ( x ) = 0 ).

Пример.

  • 24х +1 = 1,
  • 24х +1 = 20 ,
  • 4х +1 = 0,
  • х = - 1 : 4,
  • х = - 0,25.

3. Уравнение а f( x ) = an равносильно уравнению f ( x ) = n.

Пример.

а) 7 х = 7 2 , х = 2.

б) 7 х = 49, 7 х = 7 2, тогда х = 2

в) 7 3х – 2 = 7 – 2, 3х – 2 = - 2, 3х = 0, тогда х= 0

г) 7 = , 7 = 7 - 2 , 2х = -2 , тогда х = -1

4. Уравнение а f( x ) = b f (x ) равносильно уравнению , значит f ( x ) = 0.

Пример. 32х-1 = 52х-1 , , 2х-1=0, тогда х = .

5. Показательные уравнения, приводящиеся к линейному.

Рассмотрим уравнение, сводящееся к линейному с помощью вынесения за скобки общего множителя.

Пример 1.

3х+1 + 3х =108, т.к. 3х+1 = 3х * 3 , то уравнение можно записать в виде 3 * 3х + 3х = 108; вынесем за скобки общий множитель 3х, получим

3х ( 3 + 1) = 108,

4 * 3х = 108,

3х = 27,

3х = 33,

х = 3.

Пример 2.

6 х + 1 +35 * 6 х -1 = 71, вынесем за скобки наименьший множитель 6 х -1 , т.к. 6 х + 1 = 6 х-1 * 6 2 , то получим 6 х -1 ( 6 2 + 35) = 71,

6 х -1 * 71= 71,

6 х -1 = 1 ,

х-1 = 0,

х = 1.

Пример 3.

2х+1 + 2х-1 +2х = 28, вынесем за скобки наименьший множитель 2 х -1, получим 2х-1 (22 + 1 +2 ) = 28,

2х-1 * 7 = 28,

2х-1 = 4,

2х-1 = 22 ,

х-1 = 2,

х=3.

Пример 4.

51-х + + = 155 ,

5 1-х + + = 155, вынесем общий множитель 5 за скобки, получим

5 – х ( 5 + 52 +1) = 155,

5 – х ( 5 + 25 +1) = 155,

5 – х * 31 = 155,

5 – х = 5,

-х = 1,

х = -1.

Пример 5.

73-х - 72 –х = 25 –х – 23 –х ,

7 * 72-х - 72 –х = 8 * 22 –х – 2 * 22 –х ,

72-х (7 - 1) = 22 –х (8 – 2),

72-х * 6 = 22 –х * 6, 72-х = 22 –х,

,

2-х=0,

х=2.

6. Показательные уравнения, приводящиеся к квадратному.

Рассмотрим уравнение в общем виде Аа + Вах + С =0

Пусть ах = t и а = t2, тогда Аt2 + Вt + С =0 – квадратное уравнение.

Пример 1.

4х – 5 * 2х +4=0,

т.к. 4х = 2= (2х)2; пусть 2х = t и 2 = t2, тогда

t2 - 5 t +4 =0, t1=4 , t2=1

если t1=4, то 2х = 4, х=2;

если t2=1, то 2х = 1, х=0. Ответ: 0; 2.

Пример 2.

,

,

пусть , тогда + 13t -12 = 0,

t1=, t2= 1,

= решения нет;

=,

х= 0.

Ответ: 0.

7. Однородные показательные уравнения

Рассмотрим уравнение А.

Разделим почленно на . Получим уравнение , пусть , тогда уравнение принимает вид .

Пример. .

, разделим на , получим уравнение

, пусть , тогда

, t1 = 1, t2= ,

тогда , х=0 ;

и х = -1.

Ответ: -1; 0.

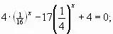
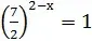
8. Задание. Определите, каким методом будем решать каждое уравнение

1)

2)

3) .

Вывод: Существуют методы решения показательных уравнений:

  • Метод приведения степеней к одному основанию
  • Вынесение общего множителя за скобки
  • Метод замены переменной
  • Метод почленного деления (однородные уравнения )

3. Подведение итогов урока.

“Метод решения хорош, если с самого начала мы можем предвидеть – и в последствии подтвердить это, - что, следуя этому методу, мы достигнем цели.” Лейбниц.

4. Домашняя работа (задание на карточке уравнения п.8).

5. Рефлексия

  • Сегодня на уроке я повторил ...
  • Сегодня на уроке я узнал ...
  • Сегодня на уроке я научился ...

6. Оценка знаний

- Оцените свои знания и умения по данной теме.

- Спасибо за урок!


a_id: 661061