Методика преподавания тригонометрии в старших классах. Часть 3 "Простейшие тригонометрические уравнения и неравенства"
Урок № 18. Уравнения, сводящиеся к простейшим, заменой неизвестного
1. Анализ контрольной работы.
2. Решение уравнений.
Здесь для ребят, в принципе, ничего нового уже нет, поэтому к уравнению можно давать задание отбор корней на промежутке. Следует отметить, что мы по-прежнему активно работаем с тригонометрическим кругом, плавно усложняя задания.
Уравнение вида:
(Рис.8)


(Рис.9)

(Рис.10)
![]()

(Рис.11)
![]()

Д/з рекомендую подобрать из банка заданий ЕГЭ задача № 13 (С1).
Урок № 19. Тригонометрические неравенства
1. Проверка д/з.
2. Решение простейших неравенств на тригонометрическом круге.
Здесь следует обратить внимание на то, что выполняя д/з, ребята, проверяя верность ответа, возможно обратили внимание на непривычную запись ответа к уравнению вида:
![]()
Необходимо объяснить на круге, что это верный ответ, но как с такой записью мы решали бы неравенства?
Объяснить, что данная “краткость” для нас недопустима, т.к. мы не видим решений на окружности!
С40, С41 (добавить промежуток), на 17 минут.
Д/з: С40, ВIV, C41 № 1.
Тригонометрические формулы и их применение для решения уравнений и неравенств
Урок № 20. Косинус, синус, тангенс и котангенс суммы и разности двух углов
1. Анализ самостоятельной работы.
2. Доказательство
(Рис.12)



Следовательно, ![]()
Следствия:
1)
;
2)
;
3)
.
Доказательства:
Эти формулы следует знать наизусть!
Следующие формулы нужно уметь выводить!
Например:

Прием, который уже использовался при решении заданий из учебника.
Выводы оставшихся трех формул мы не будем здесь приводить, т.к. они аналогичны. Можно предложить их как д/з.
3. Решение упражнений.
Формулы на этом (и только на этом) уроке выписаны на доске.
Д/з: № 9.13 (а), 9.14 (а, б), 9.28(а), 9.29, 9.73 (а, б), 11.16 (а, б, в, г).
Урок № 21. Формулы для двойных и половинных углов
1. Проверка знаний формул доказанных на предыдущем уроке
2. 4 задания по двум вариантам:
I II
На последние две формулы, непременно, вывод. Можно проверить просто формулы, можно дать простые задания на их применение – 6 минут.
3. Доказательство новых формул:
![]()
Формула “трехголового змея”:
![]()

![]()
![]()
Формулы
и
наизусть!
Остальное уметь выводить.

Аналогично для
.
4. Решить уравнения:
(добавить
промежутки).
5. Вывести формулы для половинных углов (уметь выводить).
.


6. Найти:
,
,
, используя выведенные формулы.
Д/з: № 191 (а), 192 (а, б), 194 (а, д, и).
Урок № 22. Решение уравнений и неравенств (однородные уравнения)
1. Проверка д/з.
2. Решение уравнений и неравенств.
С41 (№ 2, 3, 4, 5), С42 (№ 1, 2, 3, 4) (добавить промежуток) – на 20 минут.
Д/з: № 11.45(а, в, д, ж), 11.30 (а, б), 11.31 (а, б).
Урок № 23. Введение вспомогательного угла
1. Анализ самостоятельной работы.
2.
Как быть? Объяснение нового
материла.
3. Решение уравнений и неравенств.
4. Найти множество значений выражения вида
.
С/р: № 11.49 (а, б), 11.52 (а, б) по вариантам. Время на работу – 7 минут.
Д/з: № 11.48 (в, з), 11.49 (в, з), 11.52 (в, з), 11.53 (а).
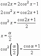
Урок № 24. Замена неизвестного 
1. Анализ самостоятельной работы;
2. Решить уравнение:
а) ![]()

б)
аналогично.
С44 на 15 минут (решение уравнений оставить на доске).
Д/з: № 11.56 (б), 11.57 (б), 11.58 (б), 11.59 (б).
Урок № 25. Произведение синусов и косинусов. Сумма и разность синусов и косинусов
1. Анализ самостоятельной работы.
2.

Для
и
предложить ребятам вывести формулы
самостоятельно, обсудив заранее, какие тождества они будут
использовать.
Обратить внимание, что вывод этих формул очень простой, поэтому следует знать, как они выводятся, а не зазубривать их наизусть.
.
Пусть
Для
ребята выведут формулы сами.
3. Решение упражнений.
Д/з: № 195, 196 (а, б, в, г).
Урок № 26. Решение упражнений
1. Самостоятельная работа по проверке материала предыдущего урока.

2. Решение упражнений.
Д/з: № 202, 205.
Урок № 27 Подготовка к контрольной работе
1. Анализ самостоятельной работы.
2. Решение упражнений.
Д/з: № 192 (г), 191 (б), 196 (е, д), 203, 207 (а, г).
Урок № 28. Контрольная работа
К6 (№ 1а, 2, 3, 4, 5, 6).
К7 (№ 2, 3, 4, 5, 6).

