Урок форсированного изучения темы "Движения". Геометрия. 11-й класс
Цели урока
- Вспомнить из курса планиметрии основные виды движений: центральную, осевую симметрии и параллельный перенос.
- Ввести эти понятия в пространстве.
- Рассмотреть новый вид: зеркальную симметрию.
- Решить максимально возможное число задач на уроке за счет работы по группам.
Оборудование
- доска, мел, чертежные инструменты;
- мультимедийный проектор и ноутбук.
Дидактические средства
- Геометрия: Учебник для 10-11 кл. ср. шк./ Л.С. Атанасян - М.: Просвещение, 2001;
- карточки с заданиями на печатной основе.
Тип урока: объяснение и закрепление нового материала.
Перед уроком класс разбит на 4 группы по 5-6 человек (в каждой группе есть ''продвинутые'' и слабые ученики).
Ход урока
Учитель В курсе планиметрии мы познакомились с движениями плоскости. Движение - это отображение плоскости на себя, сохраняющее расстояния между точками. Теперь будем рассматривать отображение пространства на себя. Это значит, что каждой точке М пространства поставлена в соответствие некоторая точка М1, причём любая точка М1 пространства оказывается поставленной в соответствие какой-то точке М.
А движение пространства - это такое отображение пространства на себя, при котором сохраняется расстояние между точками.
Какие виды движений вы помните из курса планиметрии? (При этом вопросе можно показать учащимся модели, изготовленные ими в 9 классе при изучении темы "Движения").
Ученики Центральная симметрия, параллельный перенос, осевая симметрия, поворот.
Учитель Эти отображения и в пространстве являются движениями. И еще мы рассмотрим сегодня зеркальную симметрию-то есть симметрию относительно плоскости. Вы получаете задания каждый по своей теме. Через 10-15 мин. один представитель группы может готовить сообщение по своему виду движения (можно по конспекту). Пока ребята будут готовиться у доски, остальные продолжают работу в группах, решая предложенные вам задачи.
Учитель раздает задания:
- I группа - п.49, №478(а), №479, №488(а),
- II группа - п.50, №478(б, S0x, №481, №488(б),
- III группа - п.51, №478(в, S0xy), №482, №489(а),
- IV группа - п.52, №478(в, S0zy), №484, №489(б).
На карточках указаны задания по определенному типу движения, которые должны быть разобраны на уроке.
Пока ученики готовятся, учитель консультирует более слабую группу по непонятным ей вопросам. Ученики разбирают доказательство факта, что та или иная симметрия и параллельный перенос есть движения.
Через 10-15 мин. четыре ученика (по одному из каждой группы) выходят и готовят сообщения у доски. Пока они готовят доску, остальные члены группы решают задачи. Потом (через 5 мин.) слушаем по очереди четыре сообщения.
Приведем примерные варианты сообщений. Если класс не математический, или подобная форма работы проводится впервые, то сообщения можно раздать ученикам на карточках или подготовить выступающих заранее. Чертежи в сообщениях сложны для воспроизведения на доске, поэтому целесообразно воспользоваться проектором.
I сообщение.
Центральная симметрия - отображение пространства на себя, при котором любая точка М переходит в симметричную ей точку М1 относительно данного центра О.
Докажем, что центральная симметрия является движением.
Обозначим точку О - центр симметрии и введем прямоугольную систему координат Оxyz с началом в точке О. Установим связь между координатами двух точек:
M(x; y; z) и M1(x1; y1; z1). Z0 (M) = M1.
Если M
0 , то О - середина ММ1. Тогда (x+x1)/2=0;
(y+y1)/2=0; (z+z1)/2=0.
Значит, x=-x1; y=-y1; z=-z1. (1).
Если М=0, то х = х1 = у = у1 = z = z1 = 0,
т. е. формулы (1) верны.
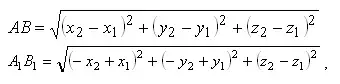
Рассмотрим А(x1; y1; z1), В(x2; y2; z2), А -> А1, В -> В1, тогда А1(-x1; -y1; -z1), В1(-x2; -y2;- z2) (по (1)).
Тогда,
т. е. АВ=А1В1. Тогда Zо - движение.
II сообщение.
Осевой симметрией с осью а называется такое отображение пространства на себя, при котором любая точка М переходит в симметричную ей точку М1 относительно оси а.
Докажем, что осевая симметрия есть движение.
Введем прямоугольную систему координат Оxyz, совместим ось Оz с осью симметрии и установим связь между координатами точек M(x; y; z) и M1(x1; y1; z1), если Soz (М) = М1.
Если М
Оz , то Оz
ММ1 и проходит через
середину.
Т. к. Оz
ММ1, то z = z1. Т. к. Оz проходит
через середину ММ1 , то х = -х1, у = -у1.
Если точка М лежит на оси Оz, то х1 = х = 0, у1 = у = 0, z1 = z = 0.
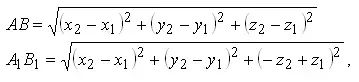
Рассмотрим А(x1; y1; z1), В(x2; y2; z2), А-> А1, В-> В1, тогда А1(-x1; -y1; z1), В1(-x2; -y2; z2)

тогда АВ=А1В1, т.е. Sоz - движение.
III сообщение.
Зеркальной симметрией называется такое отображение пространства на себя, при котором любая точка М переходит в симметричную ей точку М1 относительно плоскости a.
Докажем, что зеркальная симметрия есть движение.
Введем прямоугольную систему координат Оxyz, совместим плоскость Оxy с плоскостью симметрии и установим связь между координатами точек M(x; y; z) и M1(x1; y1; z1), где Sa (М) = М1.
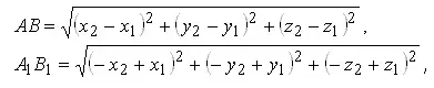
Если М не лежит в плоскости Оху, то х =х1, у =у1, z = -z1.
Если М I Оху , то
,
,
.
Рассмотрим А(x1; y1; z1), В(x2; y2; z2), А-> А1, В-> В1 , тогда А1(x1; y1; -z1), В1(x2; y2; -z2), тогда

тогда, АВ=А1В1, т.е.SОху - движение.
IV сообщение.
Параллельный перенос на вектор р - это такое отображение пространства на себя, при котором любая точка М переходит в такую точку М1, что вектор ММ1 равен вектору р.
Докажем, что параллельный перенос есть движение.
Пусть параллельный перенос переводит: А-> А1, В-> В1, тогда
![]()
По правилу треугольника
, тогда
.
Тогда
. Это значит, что АВ = А1В1.
Учитель: Подведем итоги: центральная симметрия, параллельный перенос, осевая симметрия, зеркальная симметрия в пространстве являются движениями. Также справедливы утверждения о том, что при движении отрезок переходит в отрезок, прямая - в прямую, плоскость - в плоскость.
Рассмотрим теперь № 480.
Докажем, что при центральной симметрии:
а) плоскость, не проходящая через центр симметрии, отображается на параллельную ей плоскость;
б) плоскость, проходящая через центр симметрии, отображается на себя.
Дано: Zо (a) = a1
Доказать: a || a1
Решение:
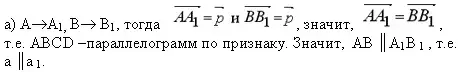
А
a, В
a, С
a, точки А, В, С не лежат на одной прямой, А->
А1, В-> В1 , С-> С1, А1, В1, С1, не лежат на одной прямой, тогда (А1, В1, С1) =
a1.
![]()
Аналогично ВС||В 1С1, тогда a || a1 по признаку.
Теперь вы сможете решить задачи на доказательство, которые получили в начале урока, но сначала послушаем решение задачи № 478
Ученики I, II, III групп (по 1 из группы) объясняют решение задач.
№ 478
а) При центральной симметрии относительно точки О (0;0;0) х2 = -х1; у2 = -у1; z2 = -z1.
А(0;1;2) -> А1(0;-1;-2),
В(3;-1;4) -> В1(-3;1;-4),
С(1;0;-2) -> С1(-1;0;2)
б) При осевой симметрии относительно оси Ох х2 = х1; у2 = -у1; z2 = -z1.
А(0;1;2) -> А1(0;-1;-2),
В(3;-1;4) -> В1(3;1;-4),
С(1;0;-2) -> С1(1;0;2)
(Для Soy и Soz рассмотреть дома).
в) При зеркальной симметрии относительно Ozy х2 = -х1; у2 = у1; z2 = z1.
А(0;1;2) -> А1(0;1;2),
В(3;-1;4) -> В1(-3;-1;4),
С(1;0;-2) -> С1(-1;0;-2)
(Для SОхy рассмотреть дома).
Далее еще 5 -10 минут решаем задачи по группам, потом слушаем еще 4 человека (по 1 из каждой группы) с решением более сложных задач.
№ 479
Дано: Zо (a) = a1
Доказать:
а ) a || a1, если О
a
б) a = a1, если О
a
Решение:
а) А -> А1, В -> В1 ,тогда АО = ОА1, ВО = ОВ1, угол 1 = углу
2, то
АОВ =
А1О В1, значит, угол В = углу
В1, а они внутренние накрест лежащие, тогда АВ || А1В 1 .
б) А, В, А1, В1 лежат на одной прямой, значит a = a1
№ 481
Дано: Sl (а) = а1
Доказать:
а ) а1 || l , если а || l
б) ![]()
Решение:

№ 482
Дано: Sa(а) = а 1
Доказать: ![]()
Решение:
![]()
№ 484
Дано: ![]()
Доказать:
а) а || a1, если а не параллельна вектору р
б) а || a1, если а параллельна вектору р
Решение:

б) Если а параллельна вектору р, то А, В, А1,В1 лежат на одной прямой, значит, а = а1.
Если необходимо, учитель помогает, корректирует решения.
Еще 5-7 минут решаем последнюю задачу из задания по группам, а потом четыре ученика (по одному из каждой группы) показывают свое решение на доске.
№ 488 (а)
Дано: движение, а || b, а -> а1, b-> b1
Доказать: а 1 || b1
Решение:

№ 488 (б)
Дано:

Решение:

№ 489 (а)
Дано: движение, Окр (О; r)
Доказать: Окр(О; r) -> Окр(О1; r1), r = r1
Решение:
Так как движение сохраняет расстояние, то множество точек, расположенных на данном расстоянии r от точки О, отображается на множество точек, расположенных на данном расстоянии (r) от точки О1.
т.е. Окр (О; r) -> Окр(О1; r1) (можно сделать чертеж).
№ 489 (б)
Дано: движение ABCDA1B1C1D1- прямоугольный параллелепипед
Доказать:
ABCDA1B1C1D1 ->A`B`C`D`A`1B`1C`1D`1 (тоже прямоугольный параллелепипед)
Решение:
Так как движение сохраняет расстояние, то все ребра отображаются на равные им отрезки. Так как движение переводит параллельные прямые в параллельные прямые, то все ребра отображаются на параллельные им отрезки, т.е. фигура A`B`C`D`A`1B`1C`1D`1- параллелепипед.
Так как движение сохраняет углы, то боковые ребра, перпендикулярные основанию, отобразятся на отрезки, перпендикулярные отрезкам основания, то есть новая фигура - прямоугольный параллелепипед.
Учитель Итак, мы познакомились с движениями в пространстве (далее объявляет оценки выступающим у доски. Группа может поставить оценку и не отвечавшему, если он активно участвовал в обсуждении).
Домашнее задание: п. 49-52 (прочитать), № 478 (остальные задачи), №483, №485.