Урок-смотр знаний по теме «Электростатика»
Я мыслю, следовательно, я существую.
ДекартНе стыдно не знать, стыдно не учиться.
(Русская пословица)
Цели:
Образовательные:
- Систематизировать знания учащихся об электростатическом поле.
- Продолжить формирование приемов мыслительной деятельности – анализа, синтеза, сравнения, навыков экспериментальной и практической деятельности, работы в группе.
- Закрепить у учащихся навыки решения задач: расчетных, качественных и экспериментальных.
Воспитательные:
- Содействовать формированию представлений об общей физической картине мира, показать объективный характер законов природы.
- Формировать навыки коллективной работы в сочетании с самостоятельностью учащихся, чувство ответственности.
Развивающая:
- Развитие познавательного интереса учащихся, проверка уровня самостоятельного мышления учащихся по применению имеющихся знаний в различных ситуациях.
Оборудование: компьютер и мультимедиа-проектор, карточки –задания для групп, кроссворды, два электрометра, эбонитовая и стеклянная палочка, султаны, соединительные провода, кусочки шелка и шерсти.
План урока:
- Повторение и систематизация знаний о физических величинах и способах их определения. Обобщение знаний о понятиях и законах, изученных по данной теме.
- Знание терминологии.
- Экспериментальные задачи.
- Решение задач.
- Эрудиты.
- Графическое представление полей.
- Знатоки формул.
- Решение расчетных задач.
Ход урока
Добрый день! Я рада приветствовать вас на уроке по теме “Электростатика”. Цель этого урока – повторить, обобщить знания о разделе электродинамики, который изучает покоящиеся электрически заряженные тела. Вспомним основные знания, изученные по теме. Основное содержание темы составляют следующие понятия: электрический заряд, закон сохранения электрического заряда, закон Кулона, электрическое поле, напряженность поля, электрические свойства вещества, работа сил электростатического поля, разность потенциалов, электроемкость, конденсаторы.
Мы проведем его в виде «Смотра знаний», работать вам предстоит в группах. На этом уроке вы не только вспомните основы данной темы, но и сможете выявить проблемы в своих знаниях.
За урок каждый может получить несколько оценок: за работу в группе, и индивидуально за активную работу на уроке.
ШАНС: Если при выполнении заданий возникнут затруднения, вы можете обратиться к учителю, но только один раз.
В ходе урока в каждой группе эксперт заполняет оценочный лист. После обсуждения итогов работы учащихся эксперты выставляют отметки за урок. Учитель корректирует выставление отметок.
I Этап урока: посвящен повторению и систематизации знаний о физических величинах и законах.
С этой целью учащимся предлагается ответить на блок вопросов (класс предварительно делят на 3 группы, каждая группа получает свой блок вопросов).
(Каждый правильный ответ оценивается в 1 балл, всего 10).
1 группа
- Дайте определение электрического заряда?
- Как взаимодействуют одноименные и разноименные электрические заряды?
- Докажите, что суммарный заряд любого тела равен нулю.
- Сформулируйте и запишите закон сохранения электрического заряда.
- В каких случаях выполняется закон сохранения электрического заряда?
- Что такое электрическое поле?
- Назовите основные свойства электрического поля.
- Что называют напряженностью электрического поля? Какая формула выражает суть этого понятия?
- Чему равна напряженность электрического поля точечного заряда?
- Приведите примеры графического изображения электрических полей.
2 группа
- Сформулируйте и запишите закон Кулона для взаимодействия зарядов в вакууме? в среде?
- Какая величина характеризует влияние среды на силу взаимодействия между зарядами?
- Чему равен коэффициент пропорциональности в законе Кулона?
- Чему равна электрическая постоянная?
- Каково значение заряда и массы электрона?
- Что называют электроемкостью уединенного проводника? Какая формула выражает смысл этого понятия?
- Что называют электроемкостью двух проводников? Какая формула выражает смысл этого понятия?
- Что называют конденсатором? зарядом конденсатора?
- Запишите формулы электроемкости плоского конденсатора?
- Что называют энергией электрического поля? Формула.
3 группа
- Какие вещества называются проводниками?
- Какие частицы являются носителями свободных зарядов в металлах?
- Как распределяется по проводнику сообщенный ему заряд?
- В чем состоит явление электростатической индукции?
- Какие вещества называют диэлектриками? Назовите виды диэлектриков.
- Что понимают под работой электрического поля?
- Запишите формулы работы по перемещению заряда в электрическом поле.
- Как связаны изменение потенциальной энергии поля с работой? Формула.
- Что называют потенциалом электростатического поля? Какая формула выражает смысл этого понятия?
- Что называют разностью потенциалов между двумя точками поля? Какая формула выражает смысл этого понятия?
II Этап: знание терминологии.
1 группа: Дана сетка кроссворда и вписанные в неё слова – ответы. Необходимо сформулировать вопросы – определения к ним.
2 группа: Решить кроссворд.
3 группа: Вставить пропущенные буквы.
Оценка: 1 группа – 10 б. 2 группа – 5 б. 3 группа – 5 б.

Ответы:
1 группа:
По вертикали
- Раздел электродинамики, в котором изучаются явления, связанные с покоящимися зарядами.
По горизонтали:
- Единица измерения электрического заряда в СИ.
- Физическая величина – силовая характеристика электростатического поля.
- Вещество, через которое электрические заряды не могут переходить от заряженного тела к незаряженному.
- Тело «пропускающее» электрические заряды вследствие наличия в нем свободных носителей зарядов.
- Физическая величина – энергетическая характеристика электростатического поля.
- Физическая величина, характеризующая способность проводника накапливать и удерживать электрические заряды.
- Накопитель электрических зарядов.
- Условные линии, при помощи которых можно изобразить электростатические поля.
- Единица измерения электроемкости в системе СИ.
2 группа:
- Элементарная заряженная частица, входящая в ядро атома.
- Электрическая характеристика электростатического поля.
- Ученый, экспериментально исследовавший взаимодействие заряженных тел.
- Физическое явление, при котором разноименные заряды разделяются в пространстве.
3 группа:
- КУЛОН
- ФАРАДА
- ПРОВОДНИК
- ЭЛЕКТРОСКОП
- ЭЛЕКТРИЗАЦИЯ
- НАПРЯЖЕННОСТЬ
III Этап: Экспериментальные задачи.
(Выполненное задание оценивается в 2 балла)
1 группа: Какие взаимодействия называют электромагнитными? Что вы знаете о взаимодействии заряженных тел? Продемонстрируйте опыт с взаимодействием заряженных тел и объясните его.
2 группа: Назовите физический прибор, позволяющий обнаруживать, наэлектризовано тело или нет. Продемонстрируйте работу этого прибора и объясните принцип его действия.
3 группа: Расскажите, что вы знаете об электризации тел. Продемонстрируйте опыт, подтверждающий, что при электризации трением оба тела приобретают заряды, противоположные по знаку, но одинаковые по модулю.
IV Этап: Решение задач.
(Выполненное задание оценивается в 1 балл)
1 группа: В электрическом поле точечного заряда + q из точки А в точки В, С, Д, Е (рис.) перемещали один и тот же заряд q. Сравните произведенные работы и обоснуйте свой ответ. (Совершенные работы одинаковы и равны нулю, т.к. в точке А, В, С, Д, Е одинаковые значения потенциала).

2 группа: Два металлических шарика с зарядами -3˖10-6 Кл и 9˖10-6 Кл вследствие притяжения соприкоснулись, а затем разошлись. Определите новые заряды шариков. (3˖10-6 Кл)
3 группа: Определите знаки зарядов и оцените относительные массы взаимодействующих шариков в случаях а, б, в.

V Этап: Эрудиты.
Определите, по какому принципу объединены физические термины в каждой группе, и найти термин, логически не связанный с другими в данной группе. (Выполненное задание оценивается в 1 балл)
1 группа: Поляризация, проводимость, электростатическая индукция, электрометр, взаимодействие, электризация, движение зарядов.
(Физические явления, процессы. Исключение: электрометр – физический прибор.)
2 группа: Напряженность, разность потенциалов, электроемкость, потенциал, электрическое поле, диэлектрическая проницаемость, работа.
(Физические величины. Исключение: электрическое поле – это физическое понятие, но не величина.)
3 группа: Электрон, микроскопическое тело, электризация, карандаш, молекула, тетрадь, проводник.
(Физические тела. Исключение: электризация – физическое явление)
VI Этап: Графическое представление полей.
(3 балла)

VII Этап: Знатоки формул.
Группа считается готовой к ответу, только когда каждый может дать верный и полный ответ на все вопросы. За заполнение таблицы группа получает 10 баллов.
| Название закона, формул | Формулы, выражающие связь между величинами |
| 1. Закон сохранения электрического заряда | q1+q2+…+qn=const |
| 2. Закон Кулона | |
| 3. Напряженность электрического поля | |
| 4. Напряженность поля точечного заряда | |
| 5. Работа по перемещению заряда в электрическом поле | |
| 6. Потенциал электростатического поля | |
| 7. Разность потенциалов | |
| 8. Электроемкость уединенного проводника | |
| 9. Электроемкость двух проводников | |
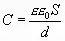
| 10. Электроемкость плоского конденсатора | |
|
|
|
|
|
W=Eqd |
|
VIII Этап: Решение расчетных задач.
Работа оценивается в 5 баллов.
1 группа: В однородном электрическом поле напряженностью Е = 100 В/м, силовые линии которого составляют с вертикалью угол α =30°, висит на нити шарик, массой m = 2 г, имеющий электрический заряд q = 1·10-7 Кл. Определите силу натяжения нити.
2 группа: Найти потенциал точки электрического поля, удаленной от заряда 1,7·10-8 Кл на расстояние 10 см.
3 группа: Две параллельные металлические пластины, находящиеся на расстоянии 10 см друг от друга, заряжены до разности потенциалов 1 кВ. Какая сила будет действовать на заряд 1·10-4 Кл, помещенный между пластинами?
Итог урока:
Человек не может изменить законы природы: эти попытки обречены на неудачу. Но он может познать их, а затем использовать себе во благо или учитывать в своей повседневной жизни и принимать рекомендуемые наукой меры, помогающие избежать бед.
Оценочный лист – Приложение.