«Формулы двойного аргумента». 10-й класс
Скачать презентацию (677.38 КБ)
Тип урока: урок изучения нового материала.
Цели урока:
- ознакомить учащихся с формулами двойного угла;
- формировать умения использовать теоретические знания на практике, развивать умение анализировать, обобщать;
- повышать интерес к предмету
Задачи: на основе полученных ранее знаний, вывести формулы для вычисления sin2x, cos2x, tg2x, показать их применение, развить умение использовать эти формулы в тригонометрических преобразованиях.
Оборудование: Проектор, ноутбук, презентация.
Ход урока
1. Организационный этап.
2. Повторение (подготовка учащихся к активному усвоению нового материала). Проводится самостоятельная работа, контролирующая выполнение учащимися домашней работы и позволяющая вспомнить основной материал, необходимый на уроке для вывода формул двойного аргумента.
Тест производится с помощью компьютера
Тест по теме “Формулы сложения”
1) сos (х + у) =
1) cos х cos у + sin х sin у;
2) cos х cos у - sin х sin у;
3) cos х sin у - sin х cos у;
4) cos х sin у + sin х cos у;
2. tg (x - y) =

3. sin 5х cos 3х + sin 3х cos 5х;
1) sin 2x
2) cos 2x
3) sin 8x
4) cos 8x
4. cos 180 cos 120 - sin 180 sin 120
![]()
5. cos 1070 cos 170 + sin 1070 sin 170
1) 0
2) 1
3) – 1
4) ![]()
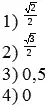
6. sin 170 cos 130 + sin 130 cos 170
1) ![]()
2) 0
3) - 0,5
4) 0,5
7.

3. Изучение нового материала.
Вывод формул двойного аргумента:
СЛАЙД №3
Из формулы косинуса суммы двух аргументов, заменив
на a,
получить формулу косинуса двойного аргумента.
![]()
![]()
![]()
СЛАЙД №4
Из формулы синуса суммы двух аргументов, заменив
на a,
получить формулу синуса двойного аргумента.
![]()
![]()
![]()
СЛАЙД №5
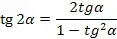
Из формулы тангенса суммы двух аргументов, заменив
на a,
получить формулу тангенса двойного аргумента.
![]()
![]()
![]()
4. Закрепление изученного материала.
Показать применение данных формул.
№ 21.1 (а, г) СЛАЙД 6-7
Упростить выражение:
![]()

№ 21.2 (а, г) СЛАЙД 8-9
![]()
![]()
Работа у доски и самостоятельно в тетрадях с последующей самопроверкой.
СЛАЙДЫ 9-13
№ 21.3 (а, г), 21.4 (а, г), № 21.5(а, г), 21.6 (а, г), 21.24 (а).
Подведение итогов урока
(выставление отметок, ответы на вопросы учащихся).
6. Домашнее задание. СЛАЙД 14
- изучить параграф 21
- решить: № 21.3(б, в), 21.4(б, в), 21.6 (б, в), 21.24